A Study on Physical and Rheological Properties of Rubberized Bitumen Modified by Different Methods
Abstract
1. Introduction
2. Experimental
2.1. Materials
2.2. Samples Preparation
- (1)
- The base binder was heated to 150 °C. Then add a certain amount of the CR particles and the additive stirring at 300 rpm for 30 min;
- (2)
- Shear the CR particles and bitumen blend at 4000 rpm for 60 min at 200 °C;
- (3)
- Stir the CR particles and bitumen blend at 300 rpm for 60 min;
- (4)
- Swell the prepared rubberized bitumen in an oven for 30 min at 140 °C.
2.3. Analysis Methods
3. Results and Discussion
3.1. Physical Properties of Rubberized Bitumen
3.1.1. Softening Point
3.1.2. Elastic Recovery
3.1.3. Force Ductility
3.2. Rheological Properties of Rubberized Bitumen
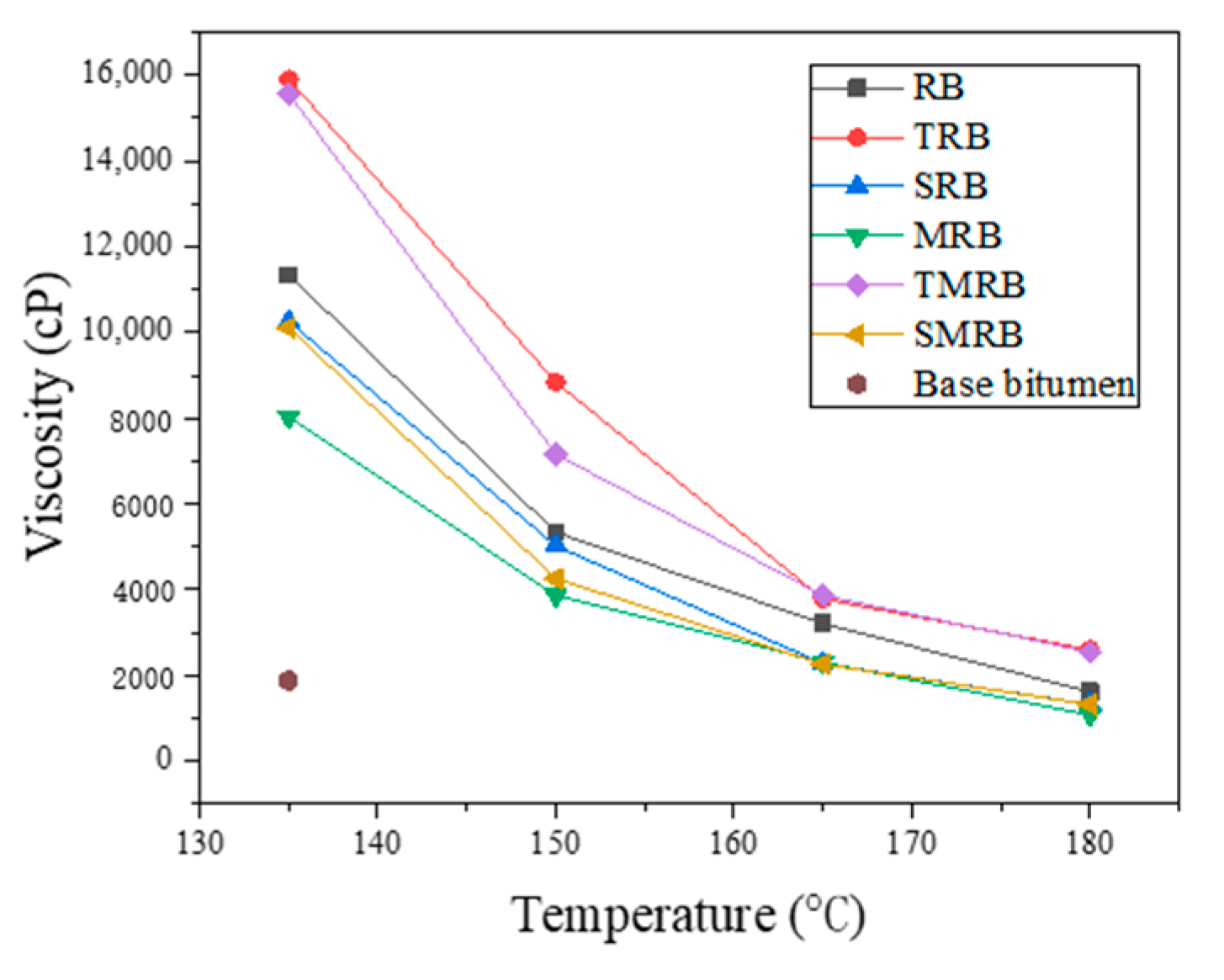
3.2.1. Viscosity
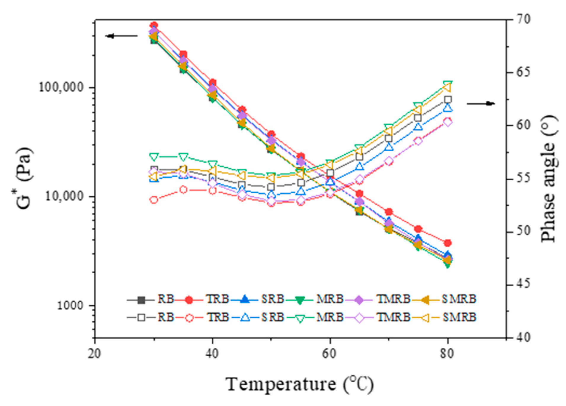
3.2.2. Temperature Sweep Tests
3.2.3. Frequency Sweep Tests
3.2.4. Multiple Stress Creep Recovery
4. Conclusions
- TOR significantly improved the high temperature stability and elastic recoverability of rubberized bitumen as compared with the other modification methods, however, as a result of the CR particles and bitumen bonds and the promoted swelling reaction caused by TOR, the viscosity of rubberized bitumen increased considerably;
- The viscosity of rubberized bitumen decreased significantly with the addition of Sasobit, but the effect of Sasobit on rubberized bitumen viscosity is inferior to the microwave-activated methods. Sasobit had a certain improvement in the physical and rheological properties of rubberized bitumen, but this improvement was less significantly than TOR additives;
- Microwave activated rubberized bitumen had the lowest viscosity, but it had an adverse effect on the high temperature performance and elastic recoverability of rubberized bitumen;
- From the results of composite modification, the influence of TOR on the performance of rubberized bitumen was more obvious than that of the microwave activation treatment. Moreover, the influence of Sasobit on its performance was less than that of the microwave activation treatment.
Author Contributions
Funding
Conflicts of Interest
References
- Abdelrahman, M.A. Engineering characterization of the interaction of asphalt with crumb rubber modifier (CRM). Fems Immunol. Med. Microbiol. 1996, 28, 97–104. [Google Scholar]
- Wang, H.; Liu, X.; Apostolidis, P.; Scarpas, T. Review of warm mix rubberized asphalt concrete: Towards a sustainable paving technology. J. Clean. Prod. 2018, 177, 302–314. [Google Scholar] [CrossRef]
- Subhy, A.; Pires, G.M.; Presti, D.L.; Airey, G. The effects of laboratory ageing on rheological and fracture characteristics of different rubberised bitumens. Constr. Build. Mater. 2018, 180, 188–198. [Google Scholar] [CrossRef]
- Min, K.E.; Jeong, H.M. Characterization of air-blown asphalt/trans-poly°Ctenamer rubber blends. J. Ind. Eng. Chem. 2013, 19, 645–649. [Google Scholar] [CrossRef]
- Shatanawi, K.M.; Biro, S.; Geiger, A.; Amirkhanian, S.N. Effects of furfural activated crumb rubber on the properties of rubberized asphalt. Constr. Build. Mater. 2012, 28, 96–103. [Google Scholar] [CrossRef]
- Ghavibazoo, A.; Abdelrahman, M.; Ragab, M. Effect of Crumb Rubber Modifier Dissolution on Storage Stability of Crumb Rubber–Modified Asphalt. J. Trans. Res. Board 2013, 2370, 109–115. [Google Scholar] [CrossRef]
- Liang, M.; Xin, X.; Fan, W.; Ren, S.; Shi, J.; Luo, H. Thermo-stability and aging performance of modified asphalt with crumb rubber activated by microwave and TOR. Mater. Des. 2017, 127, 84–96. [Google Scholar] [CrossRef]
- Garciamorales, M.; Partal, P.; Navarro, F.J.; Martı´nez-Boza, F.J.; Gallegos, C. Processing, rheology, and storage stability of recycled EVA/LDPE modified bitumen. Polym. Eng. Sci. 2007, 47, 181–191. [Google Scholar] [CrossRef]
- Lougheed, T.J.; Papagiannakis, A.T. VISCOSITY CHARACTERISTICS OF RUBBER-MODIFIED ASPHALTS. J. Mater. Civ. Eng. 1996, 8, 153–156. [Google Scholar] [CrossRef]
- Kim, H.H.; Lee, S. Effect of crumb rubber on viscosity of rubberized asphalt binders containing wax additives. Constr. Build. Mater. 2015, 95, 65–73. [Google Scholar] [CrossRef]
- Liu, H.; Chen, Z.; Wang, W.; Wang, H.; Hao, P. Investigation of the rheological modification mechanism of crumb rubber modified asphalt (CRMA) containing TOR additive. Constr. Build. Mater. 2014, 67, 225–233. [Google Scholar] [CrossRef]
- Leng, Z.; Yu, H.; Zhang, Z.; Tan, Z. Optimizing the mixing procedure of warm asphalt rubber with wax-based additives through mechanism investigation and performance characterization. Constr. Build. Mater. 2017, 144, 291–299. [Google Scholar] [CrossRef]
- Xu, O.; Xiao, F.; Han, S.; Amirkhanian, S.N.; Wang, Z. High temperature rheological properties of crumb rubber modified asphalt binders with various modifiers. Constr. Build. Mater. 2016, 112, 49–58. [Google Scholar] [CrossRef]
- Xie, Z.; Shen, J. Effect of cross-linking agent on the properties of asphalt rubber. Constr. Build. Mater. 2014, 67, 234–238. [Google Scholar] [CrossRef]
- Padhan, R.K.; Gupta, A.A.; Mohanta, C.S.; Badoni, R.P.; Bhatnagar, A.K. Performance improvement of a crumb rubber modified bitumen using poly Ctenamer and cross linking agent. Road Mater. Pavement Des. 2017, 18, 999–1006. [Google Scholar] [CrossRef]
- Ng Puga, K.L.N. Rheology and Performance Evaluation of PolyoCtenamer as Asphalt Rubber Modifier in Hot Mix Asphalt. Master’s Thesis, Iowa State University, Ames, AI, USA, 2013. [Google Scholar]
- Han, L.; Zheng, M.; Li, J.; Li, Y.; Zhu, Y.; Ma, Q. Effect of nano silica and pretreated rubber on the properties of terminal blend crumb rubber modified asphalt. Constr. Build. Mater. 2017, 157, 277–291. [Google Scholar] [CrossRef]
- Xiao, P.; Chen, Y.; Wu, B. Experimental research on performance of TOR asphalt rubber. J. Yangzhou Univ. (Nat. Sci. Ed.) 2010, 13, 71–74. [Google Scholar]
- Xiao, P.; Wu, M.; Zhou, X. Experiments on rheological properties of TOR asphalt rubber. J. Jiangsu Univ. (Nat. Sci. Ed.) 2012, 33, 440–444. [Google Scholar]
- Li, H.; Wang, W.; Li, W.; Taoum, A.; Zhao, G.; Guo, P. Replacement of Limestone with Volcanic Stone in Asphalt Mastic Used for Road Pavement. Arab. J. Sci. Eng. 2019, 44, 8629–8644. [Google Scholar] [CrossRef]
- Yu, H.; Leng, Z.; Dong, Z.; Tan, Z.; Guo, F.; Yan, J. Workability and mechanical property characterization of asphalt rubber mixtures modified with various warm mix asphalt additives. Constr. Build. Mater. 2018, 175, 392–401. [Google Scholar] [CrossRef]
- Yu, J.; Yu, X.; Gao, Z.; Guo, F.; Wang, D.; Yu, H. Fatigue Resistance Characterization of Warm Asphalt Rubber by Multiple Approaches. Appl. Sci. Basel 2018, 8, 11. [Google Scholar] [CrossRef]
- Wang, H.; Dang, Z.; You, Z.; Cao, D. Effect of warm mixture asphalt (WMA) additives on high failure temperature properties for crumb rubber modified (CRM) binders. Constr. Build. Mater. 2012, 35, 281–288. [Google Scholar] [CrossRef]
- Akisetty, C.K.; Xiao, F.; Gandhi, T.; Amirkhanian, S. Estimating correlations between rheological and engineering properties of rubberized asphalt concrete mixtures containing warm mix asphalt additive. Constr. Build. Mater. 2011, 25, 950–956. [Google Scholar] [CrossRef]
- Rodríguez-Alloza, A.M.; Gallego, J.; Pérez, I. Study of the effect of four warm mix asphalt additives on bitumen modified with 15% crumb rubber. Constr. Build. Mater. 2013, 43, 300–308. [Google Scholar] [CrossRef]
- Akisetty, C.K.; Lee, S.; Amirkhanian, S.N. High temperature properties of rubberized binders containing warm asphalt additives. Constr. Build. Mater. 2009, 23, 565–573. [Google Scholar] [CrossRef]
- Yu, H.; Leng, Z.; Xiao, F.; Gao, Z. Rheological and chemical characteristics of rubberized binders with non-foaming warm mix additives. Constr. Build. Mater. 2016, 111, 671–678. [Google Scholar] [CrossRef]
- Yu, X.; Leng, Z.; Wei, T. Investigation of the Rheological Modification Mechanism of Warm-Mix Additives on Crumb-Rubber-Modified Asphalt. J. Mater. Civil Eng. 2014, 26, 312–319. [Google Scholar] [CrossRef]
- Pouranian, M.R.; Shishehbor, M. Sustainability assessment of green asphalt mixtures: A review. Environments 2019, 6, 73. [Google Scholar] [CrossRef]
- Xiao, F.; Punith, V.S.; Amirkhanian, S.N. Effects of non-foaming WMA additives on asphalt binders at high performance temperatures. Fuel 2012, 94, 144–155. [Google Scholar] [CrossRef]
- Rodríguez-Alloza, A.M.; Gallego, J.; Pérez, I.; Bonati, A.; Giuliani, F. High and low temperature properties of crumb rubber modified binders containing warm mix asphalt additives. Constr. Build. Mater. 2014, 53, 460–466. [Google Scholar] [CrossRef]
- Pouranian, M.R.; Imaninasab, R.; Shishehbor, M. The effect of temperature and stress level on the rutting performance of modified stone matrix asphalt. Road Mater. Pavement Des. 2018, 1–13. [Google Scholar] [CrossRef]
- Poyraz, S.; Liu, Z.; Liu, Y.; Zhang, X. Devulcanization of Scrap Ground Tire Rubber and Successive Carbon Nanotube Growth by Microwave Irradiation. Curr. Org. Chem. 2013, 17, 2243–2248. [Google Scholar] [CrossRef]
- Yu, G.; Li, Z.M.; Zhou, X.L.; Li, C.L. Crumb Rubber–Modified Asphalt: Microwave Treatment Effects. Pet. Sci. Technol. 2011, 29, 411–417. [Google Scholar] [CrossRef]
- Zhang, Z.; Li, B.; Li, P.; Yang, J. Influence of Surface Area of Microwave Activated Crumb Rubber on Rheological Properties of Rubber Asphalt. Pet. Process. Petrochem. 2018, 49, 79–83. [Google Scholar]
- Yin, J.; Wang, S.; Lv, F. Improving the short-term aging resistance of asphalt by addition of crumb rubber radiated by microwave and impregnated in epoxidized soybean oil. Constr. Build. Mater. 2013, 49, 712–719. [Google Scholar] [CrossRef]
- China Ministry of Transport JTG E20. Standard Test Methods of Bitumen and Bitumious Mixtures for Highway Engineering; Research Institute of Highway Ministry of Transport: Beijing, China, 2011.
- Gawel, I.; Stepkowski, R.; Czechowski, F. Molecular Interactions between Rubber and Asphalt. Ind. Eng. Chem. Res. 2006, 45, 3044–3049. [Google Scholar] [CrossRef]
- Yao, H.; Shuai, Z.; Wang, S. Structural evolution of recycled tire rubber in asphalt. J. Appl. Polym. Sci. 2016, 133. [Google Scholar] [CrossRef]
- Airey, G.D. Rheological properties of styrene butadiene styrene polymer modified road bitumens ☆. Fuel 2003, 82, 1709–1719. [Google Scholar] [CrossRef]
- Cong, P.; Xu, P.; Xing, M.; Chen, S. Investigation of asphalt binder containing various crumb rubbers and asphalts. Constr. Build. Mater. 2013, 40, 632–641. [Google Scholar] [CrossRef]
- Senise, S.; Carrera, V.; Navarro, F.J.; Partal, P. Thermomechanical and microstructural evaluation of hybrid rubberised bitumen containing a thermoplastic polymer. Constr. Build. Mater. 2017, 157, 873–884. [Google Scholar] [CrossRef]
- Shuler, T.S.; Collins, J.H.; Kirkpatrick, J.P. Polmer-modified asphalt properties related to asphalt concerte performance. In Asphalt Rheology: Relationship to Mixture, Proceedings of the Symposium Sponsored by ASTM Committee D-4 on Road and Paving Materials, Nashville, TN, USA, 11 December 1985; ASTM Special Technical Publication 941: West Conshohocken, PA, USA, 1987. [Google Scholar]
- Ruan, Y.; Davison, R.R.; Glover, C.J.J.F. The effect of long-term oxidation on the rheological properties of polymer modified asphalts ☆. Fuel 2003, 82, 1763–1773. [Google Scholar] [CrossRef]
- Mturi, G.A.J.; Nkgapele, M. Force ductility—A 5 year feedback of performance results. In Proceedings of the 32nd Southern African Transport Conference, Pretoria, South Africa, 11 July 2013. [Google Scholar]
- Xiao, P.; Wu, M.; Shi, S.; Jiang, D. Comparative Study on Water Aging of Rubber Asphalt and TOR Rubber Asphat. Mater. Sci. Eng. 2012, 178–181, 1383–1386. [Google Scholar] [CrossRef]
- Li, X. Mechanism and Performance Investigation of Crumb Rubber/SBS Composite Modified Asphalt Binder in College of Chemical Engineering. Ph.D. Thesis, China University of Petroleum (East China) Shan Dong, Dongying, China, 2011; p. 153. [Google Scholar]
- Yang, S.; Yan, K.; He, W.; Wang, Z. Effects of Sasobit and Deurex additives on asphalt binders at midrange and high temperatures. Int. J. Pavement Eng. 2018, 20, 1–8. [Google Scholar] [CrossRef]
- Zhang, F.; Hu, C.J.C.; Materials, B. The research for structural characteristics and modification mechanism of crumb rubber compound modified asphalts. Constr. Build. Mater. 2015, 76, 330–342. [Google Scholar] [CrossRef]












| Test Item | Unit | Results | Test Basis | |
|---|---|---|---|---|
| Penetration (25 °C, 100 g, 5 s) | 0.1 mm | 94.5 | T0604 | |
| Ductility (15 °C, 5 cm/min) | cm | >150 | T0605 | |
| Softening pointTR&B | °C | 45.9 | T0606 | |
| Solubility | % | 99.6 | T0607 | |
| Brookfield viscosity (135 °C) | Pa∙s | 1.885 | T0625 | |
| Flash point | °C | 260 | T0611 | |
| Density | g/cm3 | 1.030 | T0603 | |
| RTFO aging | Mass change | % | +0.4 | T0610 | 
| Residual ductility (10 °C) | cm | 12 | T0605 | |
| Residual penetration ratio (25 °C) | % | 57.8 | T0604 | |
| Items | Test | Standard | Details | |
|---|---|---|---|---|
| Physical properties | Softening point | ASTM D36 | - | |
| Elastic recovery | ASTM D6084 | Temperature: 25 °C | ||
| Force-ductility | - | Temperature: 25 °C | ||
| Rheological properties | Viscosity | ASTM D4402 | Spindle number: 24 Specimen weight: 11.5 g | |
| Temperature sweep | ASTM D 7175 | Plates diameter: 25 mm Gap: 1 mm | Temperature: 30~80 °C Frequency: 0.1 Hz | |
| Frequency sweep | - | Temperature: 60 °C Frequency: 0.1~10 Hz | ||
| MSCR | ASTM D7405 | Temperature: 60 °C | ||
| Items | P (%) | Jnr (1/kPa) | ||
|---|---|---|---|---|
| 0.1 kPa | 3.2 kPa | 0.1 kPa | 3.2 kPa | |
| RB | 76.9 | 45.3 | 0.456 | 0.509 | 
| TRB | 79.5 | 58.1 | 0.273 | 0.329 | 
| SRB | 78.0 | 52.3 | 0.336 | 0.406 | 
| MRB | 76.7 | 42.5 | 0.523 | 0.603 | 
| TMRB | 78.2 | 52.8 | 0.358 | 0.430 | 
| SMRB | 72.5 | 47.0 | 0.439 | 0.511 | 
© 2019 by the authors. Licensee MDPI, Basel, Switzerland. This article is an open access article distributed under the terms and conditions of the Creative Commons Attribution (CC BY) license (http://creativecommons.org/licenses/by/4.0/).
Share and Cite
Zhang, B.; Chen, H.; Zhang, H.; Kuang, D.; Wu, J.; Zhang, X. A Study on Physical and Rheological Properties of Rubberized Bitumen Modified by Different Methods. Materials 2019, 12, 3538. https://doi.org/10.3390/ma12213538
Zhang B, Chen H, Zhang H, Kuang D, Wu J, Zhang X. A Study on Physical and Rheological Properties of Rubberized Bitumen Modified by Different Methods. Materials. 2019; 12(21):3538. https://doi.org/10.3390/ma12213538
Chicago/Turabian StyleZhang, Ben, Huaxin Chen, Honggang Zhang, Dongliang Kuang, Jiayu Wu, and Xiaoliang Zhang. 2019. "A Study on Physical and Rheological Properties of Rubberized Bitumen Modified by Different Methods" Materials 12, no. 21: 3538. https://doi.org/10.3390/ma12213538
APA StyleZhang, B., Chen, H., Zhang, H., Kuang, D., Wu, J., & Zhang, X. (2019). A Study on Physical and Rheological Properties of Rubberized Bitumen Modified by Different Methods. Materials, 12(21), 3538. https://doi.org/10.3390/ma12213538
 
        


 
       