Effect of Curing Methods on Shrinkage Development in 3D-Printed Concrete
Abstract
1. Introduction
1.1. Modern Technology in Construction
1.2. Background and Motivation
2. Materials and Methods
2.1. Materials
2.2. 3D Printer
2.3. Shrinkage Measurements
2.4. Compressive and Flexural Strength Measurements
3. Results
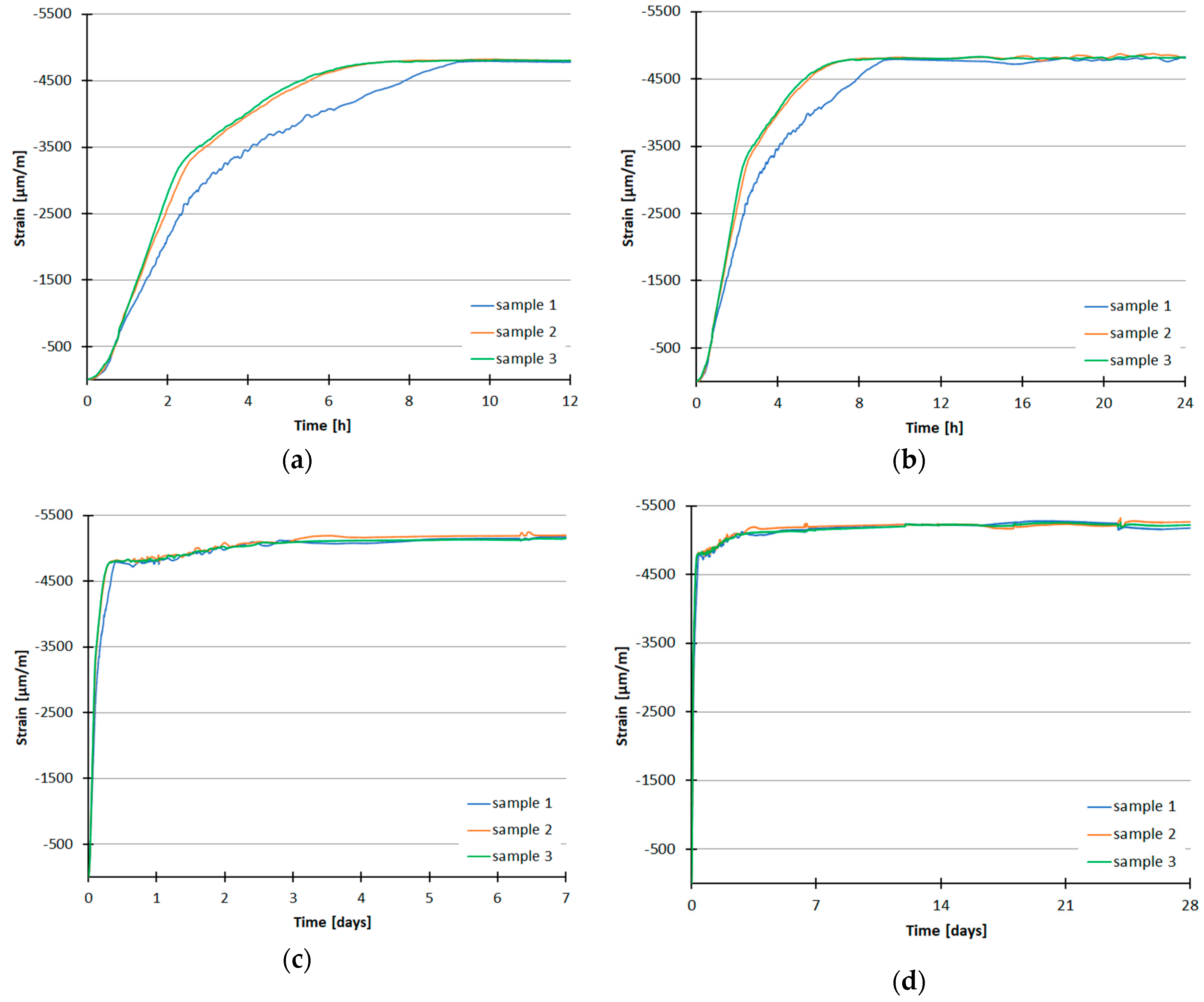
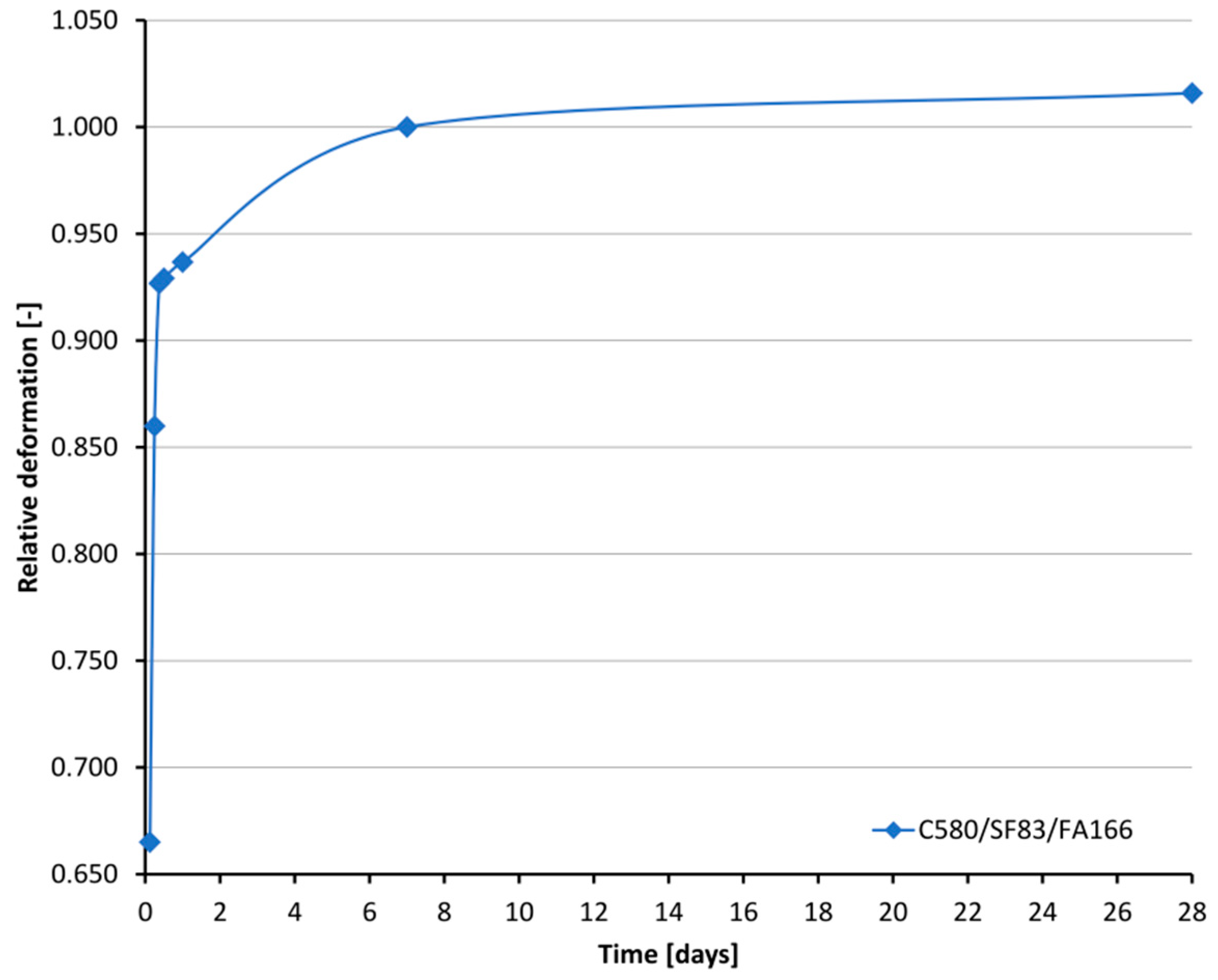
3.1. Shrinkage Test Results
3.2. Compressive and Flexural Strength Tests
4. Discussion
5. Conclusions
5.1. Findings Summary
5.2. Future Work
6. Patents
Author Contributions
Funding
Conflicts of Interest
References
- Wangler, T.; Roussel, N.; Bos, F.P.; Salet, T.A.M.; Flatt, R.J. Digital Concrete: A Review. Cem. Concr. Res. 2019, 123, 105780. [Google Scholar] [CrossRef]
- Lim, S.; Buswell, R.A.; Le, T.T.; Austin, S.A.; Gibb, A.G.F.; Thorpe, T. Developments in Construction-Scale Additive Manufacturing Processes. Autom. Constr. 2012, 21, 262–268. [Google Scholar] [CrossRef]
- Khoshnevis, B.; Hwang, D.; Yao, K.T.; Yeh, Z. Mega-Scale Fabrication by Contour Crafting. Int. J. Ind. Syst. Eng. 2006, 1, 301. [Google Scholar] [CrossRef]
- Labonnote, N.; Rønnquist, A.; Manum, B.; Rüther, P. Additive Construction: State-of-the-Art, Challenges and Opportunities. Autom. Constr. 2016, 72, 347–366. [Google Scholar] [CrossRef]
- Perkins, I.; Skitmore, M. Three-Dimensional Printing in the Construction Industry: A Review. Int. J. Constr. Manag. 2015, 15, 1–9. [Google Scholar] [CrossRef]
- Bos, F.; Wolfs, R.; Ahmed, Z.; Salet, T. Additive Manufacturing of Concrete in Construction: Potentials and Challenges of 3D Concrete Printing. Virtual Phys. Prototyp. 2016, 11, 209–225. [Google Scholar] [CrossRef]
- Sevenson, B. Shanghai-based WinSun 3D Prints 6-Story Apartment Building and an Incredible Home. Available online: https://3dprint.com/38144/3d-printed-apartment-building/ (accessed on 25 April 2020).
- Krassenstein, E. EXCLUSIVE: Lewis Grand Hotel Erects World’s First 3D Printed Hotel, Plans to Print Thousands of Homes in the Philippines Next. Available online: http://3dprint.com/94558/3d-printed-hotel-lewis-grand/ (accessed on 25 April 2020).
- Millsaps, B.B. Heijmans & CyBe Construction Showing Off Success with 3D Printed Cement Frameworks. Available online: https://3dprint.com/138682/heijm-cybe-3d-printedcement/ (accessed on 25 April 2020).
- Scott, C. Apis Cor 3D Prints a House in 24 Hours and Creates a Technological Showcase. Available online: https://3dprint.com/166389/apis-cor-3d-printed-house-russia/ (accessed on 25 April 2020).
- Roussel, N.; Cussigh, F. Distinct-Layer Casting of SCC: The Mechanical Consequences of Thixotropy. Cem. Concr. Res. 2008, 38, 624–632. [Google Scholar] [CrossRef]
- Feng, P.; Meng, X.; Chen, J.-F.; Ye, L. Mechanical Properties of Structures 3D Printed with Cementitious Powders. Constr. Build. Mater. 2015, 93, 486–497. [Google Scholar] [CrossRef]
- Perrot, A.; Rangeard, D.; Pierre, A. Structural Built-up of Cement-Based Materials Used for 3D-Printing Extrusion Techniques. Mater. Struct. 2016, 49, 1213–1220. [Google Scholar] [CrossRef]
- Kaszynska, M.; Skibicki, S. Influence of Eco-Friendly Mineral Additives on Early Age Compressive Strength and Temperature Development of High-Performance Concrete. IOP Conf. Ser. Earth Environ. Sci. 2017, 95, 042060. [Google Scholar] [CrossRef]
- Sikora, P.; Cendrowski, K.; Abd Elrahman, M.; Chung, S.-Y.; Mijowska, E.; Stephan, D. The Effects of Seawater on the Hydration, Microstructure and Strength Development of Portland Cement Pastes Incorporating Colloidal Silica. Appl. Nanosci. 2019. [Google Scholar] [CrossRef]
- Skibicki, S. Optimization of Cost of Building with Concrete Slabs Based on the Maturity Method. IOP Conf. Ser. Mater. Sci. Eng. 2017, 245, 22061. [Google Scholar] [CrossRef]
- Tiberti, G.; Mudadu, A.; Barragan, B.; Plizzari, G. Shrinkage Cracking of Concrete Slabs-On-Grade: A Numerical Parametric Study. Fibers 2018, 6, 64. [Google Scholar] [CrossRef]
- Sayahi, F.; Emborg, M.; Hedlund, H.; Cwirzen, A. Plastic Shrinkage Cracking in Concrete. Proceedings 2019, 34, 2. [Google Scholar] [CrossRef]
- Lerch, W. Plastic Shrinkage. ACI J. Proc. 1957, 53, 197–802. [Google Scholar] [CrossRef]
- Cohen, M.D.; Olek, J.; Dolch, W.L. Mechanism of Plastic Shrinkage Cracking in Portland Cement and Portland Cement-Silica Fume Paste and Mortar. Cem. Concr. Res. 1990, 20, 103–119. [Google Scholar] [CrossRef]
- Qi, C.; Weiss, J.; Olek, J. Characterization of Plastic Shrinkage Cracking in Fiber Reinforced Concrete Using Image Analysis and a Modified Weibull Function. Mater. Struct. 2003, 36, 386–395. [Google Scholar] [CrossRef]
- Banthia, N.; Gupta, R. Influence of Polypropylene Fiber Geometry on Plastic Shrinkage Cracking in Concrete. Cem. Concr. Res. 2006, 36, 1263–1267. [Google Scholar] [CrossRef]
- Saradar, A.; Tahmouresi, B.; Mohseni, E.; Shadmani, A. Restrained Shrinkage Cracking of Fiber-Reinforced High-Strength Concrete. Fibers 2018, 6, 12. [Google Scholar] [CrossRef]
- Bentz, D.P. Influence of Shrinkage-Reducing Admixtures on Early-Age Properties of Cement Pastes. J. Adv. Concr. Technol. 2006, 4, 423–429. [Google Scholar] [CrossRef][Green Version]
- Leemann, A.; Nygaard, P.; Lura, P. Impact of Admixtures on the Plastic Shrinkage Cracking of Self-Compacting Concrete. Cem. Concr. Compos. 2014, 46, 1–7. [Google Scholar] [CrossRef]
- Lura, P.; Pease, B.; Mazzotta, G.B.; Rajabipour, F.; Weiss, J. Influence of Shrinkage-Reducing Admixtures on Development of Plastic Shrinkage Cracks. ACI Mater. J. 2007, 104, 187. [Google Scholar] [CrossRef]
- Henkensiefken, R.; Briatka, P.; Bentz, D.P.; Nantung, T.; Jason, W. Plastic Shrinkage Cracking in Internally Cured Mixtures. Concr. Int. 2010, 32, 49–54. [Google Scholar]
- Alhozaimy, A.I.A.-N.; Alhozaimy, A.M. Impact of Extremely Hot Weather and Mixing Method on Changes in Properties of Ready Mixed Concrete during Delivery. ACI Mater. J. 2008, 105, 438–444. [Google Scholar] [CrossRef]
- Cement – Part 1: Composition, Specifications and Conformity Criteria for Common Cements; EN 197-1:2011; CEN: Brussels, Belgium, September 2011.
- Kaszyńska, M.; Hoffmann, M.; Skibicki, S.; Zieliński, A.; Techman, M.; Olczyk, N.; Wróblewski, T. Evaluation of Suitability for 3D Printing of High Performance Concretes. MATEC Web Conf. 2018, 163, 01002. [Google Scholar] [CrossRef]
- Hoffmann, M.; Skibicki, S.; Pankratow, P.; Zieliński, A.; Pajor, M.; Techman, M. Automation in the Construction of a 3D-Printed Concrete Wall with the Use of a Lintel Gripper. Materials 2020, 13, 1800. [Google Scholar] [CrossRef]
- Skibicki, S.; Kaszyńska, M.; Techman, M. Maturity testing of 3D printing concrete with inert microfiller. MATEC Web Conf. 2018, 219, 3008. [Google Scholar] [CrossRef]
- Methods of Testing Cement–Part 1: Determination of Strength; EN 196-1:2016; CEN: Brussels, Belgium, April 2016.
- Testing Hardened Concrete–Part 2: Making and Curing Specimens for Strength Tests; EN 12390-2:2019; CEN: Brussels, Belgium, June 2019.
- Methods of Test for Mortar for Masonry – Part 3: Determination of Consistence of Fresh Mortar (by Flow Table); EN 1015-3:1999/A2:2006; CEN: Brussels, Belgium, December 2006.
- Standard Test Method for Length Change of Hardened Hydraulic-Cement Mortar and Concrete; ASTM C157/C157M-17; ASTM International: West Conshohocken, PA, USA, 2017.
- Zielinski, A.; Kaszynska, M.; Skibicki, S.; Olczyk, N. Development of Autogenous Shrinkage Deformation and Strength Parameters in Self-Consolidating Concrete with Light and Natural Aggregate. IOP Conf. Ser. Mater. Sci. Eng. 2019, 471, 032019. [Google Scholar] [CrossRef]
- Liu, X.; Fang, T.; Zuo, J. Effect of Nano-Materials on Autogenous Shrinkage Properties of Cement Based Materials. Symmetry 2019, 11, 1144. [Google Scholar] [CrossRef]
- Li, C.; Shang, P.; Li, F.; Feng, M.; Zhao, S. Shrinkage and Mechanical Properties of Self-Compacting SFRC With Calcium-Sulfoaluminate Expansive Agent. Materials 2020, 13, 588. [Google Scholar] [CrossRef]
- Yu, L.; Huang, L.; Ding, H. Rheological and Mechanical Properties of Ultra-High-Performance Concrete Containing Fine Recycled Concrete Aggregates. Materials 2019, 12, 3717. [Google Scholar] [CrossRef] [PubMed]
- Jiang, C.; Yang, Y.; Wang, Y.; Zhou, Y.; Ma, C. Autogenous Shrinkage of High Performance Concrete Containing Mineral Admixtures under Different Curing Temperatures. Constr. Build. Mater. 2014, 61, 260–269. [Google Scholar] [CrossRef]
- Zielinski, A.; Kaszynska, M. Influence of the w/c Ratio and Aggregate Composition on the Autogenous Shrinkage in Self-Consolidating Concrete. MATEC Web Conf. 2018, 163, 01003. [Google Scholar] [CrossRef][Green Version]
- Yoo, S.W.; Kwon, S.-J.; Jung, S.H. Analysis Technique for Autogenous Shrinkage in High Performance Concrete with Mineral and Chemical Admixtures. Constr. Build. Mater. 2012, 34, 1–10. [Google Scholar] [CrossRef]
- Gonzalez-Corominas, A.; Etxeberria, M. Effects of Using Recycled Concrete Aggregates on the Shrinkage of High Performance Concrete. Constr. Build. Mater. 2016, 115, 32–41. [Google Scholar] [CrossRef]
- Piasta, W.; Zarzycki, B. The Effect of Cement Paste Volume and w/c Ratio on Shrinkage Strain, Water Absorption and Compressive Strength of High Performance Concrete. Constr. Build. Mater. 2017, 140, 395–402. [Google Scholar] [CrossRef]
- Zhao, Y.; Gong, J.; Zhao, S. Experimental Study on Shrinkage of HPC Containing Fly Ash and Ground Granulated Blast-Furnace Slag. Constr. Build. Mater. 2017, 155, 145–153. [Google Scholar] [CrossRef]
- Afroughsabet, V.; Teng, S. Experiments on Drying Shrinkage and Creep of High Performance Hybrid-Fiber-Reinforced Concrete. Cem. Concr. Compos. 2020, 106, 103481. [Google Scholar] [CrossRef]
- Dueramae, S.; Tangchirapat, W.; Chindaprasirt, P.; Jaturapitakkul, C.; Sukontasukkul, P. Autogenous and Drying Shrinkages of Mortars and Pore Structure of Pastes Made with Activated Binder of Calcium Carbide Residue and Fly Ash. Constr. Build. Mater. 2020, 230, 116962. [Google Scholar] [CrossRef]
- Yang, J.; Liu, L.; Liao, Q.; Wu, J.; Li, J.; Zhang, L. Effect of Superabsorbent Polymers on the Drying and Autogenous Shrinkage Properties of Self-Leveling Mortar. Constr. Build. Mater. 2019, 201, 401–407. [Google Scholar] [CrossRef]
- Itim, A.; Ezziane, K.; Kadri, E.-H. Compressive Strength and Shrinkage of Mortar Containing Various Amounts of Mineral Additions. Constr. Build. Mater. 2011, 25, 3603–3609. [Google Scholar] [CrossRef]
- Slavcheva, G.S. Drying and Shrinkage of Cement Paste for 3D Printable Concrete. IOP Conf. Ser. Mater. Sci. Eng. 2019, 481, 012043. [Google Scholar] [CrossRef]
- Lim, J.; Raman, S.; Safiuddin, M.; Zain, M.; Hamid, R. Autogenous Shrinkage, Microstructure, and Strength of Ultra-High Performance Concrete Incorporating Carbon Nanofibers. Materials 2019, 12, 320. [Google Scholar] [CrossRef] [PubMed]
- Chen, P.; Zheng, W.; Wang, Y.; Chang, W. Analysis and Modelling of Shrinkage and Creep of Reactive Powder Concrete. Appl. Sci. 2018, 8, 732. [Google Scholar] [CrossRef]










| Concrete | Cement 52,5R [kg/m3] | SCM [kg/m3] | Water [kg/m3] | SP [kg/m3] | SRA [kg/m3] | Aggregate [kg/m3] | |
|---|---|---|---|---|---|---|---|
| Fly Ash | Silica Fume | ||||||
| C580/SF83/FA166 | 580 | 166 | 83 | 200 | 18 | - | 1234 |
| C580/SF83/FA166/SRA2 | 580 | 166 | 83 | 189 | 18 | 11.6 | 1234 |
| C580/SF83/FA166/SRA4 | 580 | 166 | 83 | 177 | 18 | 23.2 | 1234 |
| Mixes | Compressive Strength [MPa] | ||||
|---|---|---|---|---|---|
| 1 Day | 7 Days | 14 Days | 21 Days | 28 Days | |
| C580/SF83/FA166 | 35.14 | 71.81 | 79.47 | 81.36 | 84.61 |
| Standard Dev. | 3.96 | 8.15 | 12.27 | 9.46 | 10.31 |
| CoV | 0.11 | 0.11 | 0.15 | 0.12 | 0.12 |
| C580/SF83/FA166/SRA2 | 27.70 | 68.02 | 77.29 | 84.06 | 88.23 |
| Standard Dev. | 2.04 | 1.89 | 1.60 | 3.68 | 3.72 |
| CoV | 0.07 | 0.03 | 0.02 | 0.04 | 0.04 |
| C580/SF83/FA166/SRA4 | 23.59 | 59.64 | 72.60 | 79.06 | 84.90 |
| Standard Dev. | 0.91 | 3.09 | 4.57 | 5.07 | 2.61 |
| CoV | 0.04 | 0.05 | 0.06 | 0.06 | 0.03 |
| Mixes | Flexural Strength [MPa] | ||||
|---|---|---|---|---|---|
| 1 Day | 7 Days | 14 Days | 21 Days | 28 Days | |
| C580/SF83/FA166 | 6.99 | 11.57 | 13.59 | 14.70 | 14.95 |
| Standard Dev. | 1.18 | 1.04 | 1.73 | 1.40 | 1.41 |
| CoV | 0.17 | 0.09 | 0.13 | 0.10 | 0.09 |
| C580/SF83/FA166/SRA2 | 7.07 | 11.63 | 12.36 | 15.80 | 18.39 |
| Standard Dev. | 0.15 | 0.21 | 0.27 | 0.44 | 0.74 |
| CoV | 0.02 | 0.02 | 0.02 | 0.03 | 0.04 |
| C580/SF83/FA166/SRA4 | 5.42 | 9.69 | 14.27 | 15.16 | 17.36 |
| Standard Dev. | 0.37 | 0.78 | 0.06 | 0.21 | 0.36 |
| CoV | 0.07 | 0.08 | 0.004 | 0.01 | 0.02 |
| Time [h] | Shrinkage Strain | |||||||
|---|---|---|---|---|---|---|---|---|
| C580/SF83/FA166 | C580/SF83/FA166 + FOIL | C580/SF83/FA166/SRA2 | C580/SF83/FA166/SRA4 | |||||
| [%] | [%] | [%] | [%] | |||||
| 3 | −3443 | 66.5 | −347 | 33.6 | −3695 | 77.1 | −2444 | 61.5 |
| 6 | −4452 | 86.0 | −484 | 47.0 | −4437 | 92.5 | −3367 | 84.7 |
| 9 | −4798 | 92.7 | −599 | 58.0 | −4576 | 95.4 | −3693 | 92.9 |
| 12 | −4811 | 92.9 | −615 | 59.6 | −4586 | 95.7 | −3769 | 94.8 |
| 24 | −4850 | 93.7 | −612 | 59.3 | −4589 | 95.7 | −3784 | 95.2 |
| 7 days | −5178 | 100.0 | −1031 | 100.0 | −4795 | 100.0 | −3976 | 100.0 |
| 28 days | −5260 | 101.6 | - | - | - | - | - | - |
© 2020 by the authors. Licensee MDPI, Basel, Switzerland. This article is an open access article distributed under the terms and conditions of the Creative Commons Attribution (CC BY) license (http://creativecommons.org/licenses/by/4.0/).
Share and Cite
Federowicz, K.; Kaszyńska, M.; Zieliński, A.; Hoffmann, M. Effect of Curing Methods on Shrinkage Development in 3D-Printed Concrete. Materials 2020, 13, 2590. https://doi.org/10.3390/ma13112590
Federowicz K, Kaszyńska M, Zieliński A, Hoffmann M. Effect of Curing Methods on Shrinkage Development in 3D-Printed Concrete. Materials. 2020; 13(11):2590. https://doi.org/10.3390/ma13112590
Chicago/Turabian StyleFederowicz, Karol, Maria Kaszyńska, Adam Zieliński, and Marcin Hoffmann. 2020. "Effect of Curing Methods on Shrinkage Development in 3D-Printed Concrete" Materials 13, no. 11: 2590. https://doi.org/10.3390/ma13112590
APA StyleFederowicz, K., Kaszyńska, M., Zieliński, A., & Hoffmann, M. (2020). Effect of Curing Methods on Shrinkage Development in 3D-Printed Concrete. Materials, 13(11), 2590. https://doi.org/10.3390/ma13112590

