A Study on Fatigue Crack Propagation for Friction Stir Welded Plate of 7N01 Al-Zn-Mg Alloy by EBSD
Abstract
1. Introduction
2. Materials and Methods
3. Results and Discussion
3.1. Metallography
3.2. The Microstructural Features of Stir Zone
3.3. Tensile Properties.
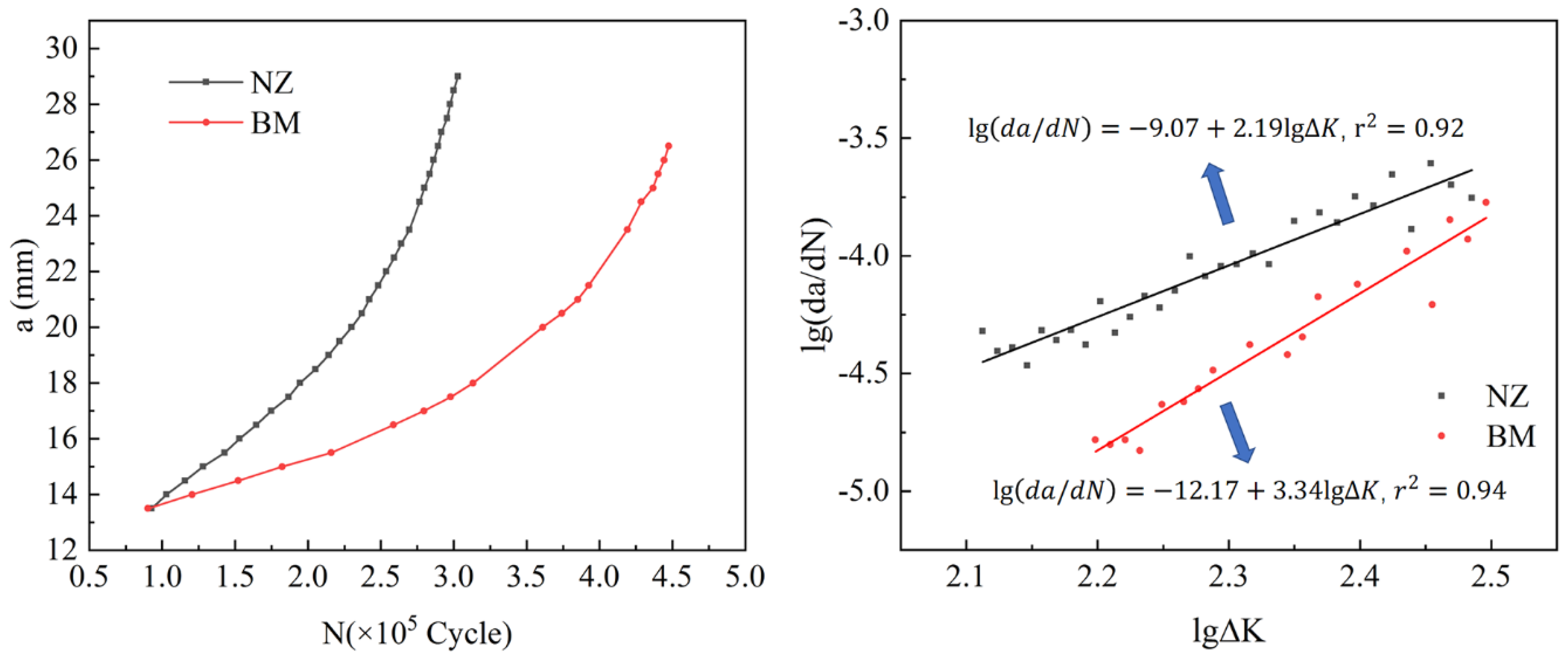
3.4. The Results of FCP Test
3.5. EBSD Features for the Crack Tip on the Base Metal
3.6. EBSD Features of the Crack Tip in the Stir Zone
4. Conclusions
Author Contributions
Funding
Conflicts of Interest
References
- Mishra, R.S.; Ma, Z.Y. Friction stir welding and processing. Mater. Sci. Eng. R Rep. 2005, 50, 1–78. [Google Scholar] [CrossRef]
- Thomas, W.M.; Nicholas, E.D. Friction stir welding for the transportation industries. Mater. Des. 1997, 18, 269–273. [Google Scholar] [CrossRef]
- Duan, S.; Wang, T.; Zou, Y. Double-Side Friction Stir Welded Cast 2297 Al–Cu–Li Alloy at Various Parameters. Trans. Indian Inst. Met. 2019, 72, 1733–1741. [Google Scholar] [CrossRef]
- Jordon, J.B.; Rao, H.; Amaro, R.; Allison, P. Chapter 1—Introduction to Fatigue in Friction Stir Welding. In Fatigue in Friction Stir Welding; Jordon, J.B., Rao, H., Amaro, R., Allison, P., Eds.; Butterworth-Heinemann: Oxford, UK, 2019; pp. 1–8. [Google Scholar]
- Li, Y.; Qiu, S.; Zhu, Z.; Han, D.; Chen, J.; Chen, H. Intergranular crack during fatigue in Al-Mg-Si aluminum alloy thin extrusions. Int. J. Fatigue 2017, 100, 105–112. [Google Scholar] [CrossRef]
- Barter, S.; Burchill, M.; Jones, M. Measured fatigue crack growth increments versus predictions for small cracks in 7XXX aluminium alloys. Int. J. Fatigue 2017, 105, 144–159. [Google Scholar] [CrossRef]
- Li, B.; Wang, X.; Chen, H.; Hu, J.; Huang, C.; Gou, G. Influence of heat treatment on the strength and fracture toughness of 7N01 aluminum alloy. J. Alloys. Compd. 2016, 678, 160–166. [Google Scholar] [CrossRef]
- Sangid, M.D. The physics of fatigue crack initiation. Int. J. Fatigue 2013, 57, 58–72. [Google Scholar] [CrossRef]
- Vysotskiy, I.; Malopheyev, S.; Rahimi, S.; Mironov, S.; Kaibyshev, R. Unusual fatigue behavior of friction-stir welded Al–Mg–Si alloy. Mater. Sci. Eng. A 2019, 760, 277–286. [Google Scholar] [CrossRef]
- Dai, Q.; Liang, Z.; Chen, G.; Meng, L.; Shi, Q. Explore the mechanism of high fatigue crack propagation rate in fine microstructure of friction stir welded aluminum alloy. Mater. Sci. Eng. A 2013, 580, 184–190. [Google Scholar] [CrossRef]
- Gupta, V.K.; Agnew, S.R. Measuring the effect of environment on fatigue crack-wake plasticity in aluminum alloy 2024 using electron backscatter diffraction. Mater. Sci. Eng. A 2008, 494, 36–46. [Google Scholar] [CrossRef]
- Gupta, V.K.; Agnew, S.R. A simple algorithm to eliminate ambiguities in EBSD orientation map visualization and analyses: Application to fatigue crack-tips/wakes in aluminum alloys. Microsc. Microanal. 2010, 16, 831–841. [Google Scholar] [CrossRef] [PubMed]
- Gupta, V.K.; Agnew, S.R. Fatigue crack surface crystallography near crack initiating particle clusters in precipitation hardened legacy and modern Al–Zn–Mg–Cu alloys. Int. J. Fatigue 2011, 33, 1159–1174. [Google Scholar] [CrossRef]
- Gupta, V.K.; Gangloff, R.P.; Agnew, S.R. Diffraction characterization of microstructure scale fatigue crack growth in a modern Al–Zn–Mg–Cu alloy. Int. J. Fatigue 2012, 42, 131–146. [Google Scholar] [CrossRef]
- Li, L.L.; Zhang, Z.J.; Zhang, P.; Yang, J.B.; Zhang, Z.F. Distinct fatigue cracking modes of grain boundaries with coplanar slip systems. Acta Mater. 2016, 120, 120–129. [Google Scholar] [CrossRef]
- Ro, Y.; Agnew, S.R.; Gangloff, R.P. Crystallography of Fatigue Crack Propagation in Precipitation-Hardened Al-Cu-Mg/Li. Metall. Mater. Trans. A 2007, 38, 3042–3062. [Google Scholar] [CrossRef]
- Tajiri, A.; Uematsu, Y.; Kakiuchi, T.; Tozaki, Y.; Suzuki, Y.; Afrinaldi, A. Effect of friction stir processing conditions on fatigue behavior and texture development in A356-T6 cast aluminum alloy. Int. J. Fatigue 2015, 80, 192–202. [Google Scholar] [CrossRef]
- Ahmed, M.M.Z.; Wynne, B.P.; El-Sayed Seleman, M.M.; Rainforth, W.M. A comparison of crystallographic texture and grain structure development in aluminum generated by friction stir welding and high strain torsion. Mater. Des. 2016, 103, 259–267. [Google Scholar] [CrossRef]
- Tao, W.; Yong, Z.; Xuemei, L.; Matsuda, K. Special grain boundaries in the nugget zone of friction stir welded AA6061-T6 under various welding parameters. Mater. Sci. Eng. A 2016, 671, 7–16. [Google Scholar] [CrossRef]
- Zhao, Y.X.; Yang, Z.Y.; Domblesky, J.P.; Han, J.M.; Li, Z.Q.; Liu, X.L. Investigation of through thickness microstructure and mechanical properties in friction stir welded 7N01 aluminum alloy plate. Mat. Sci. Eng. A-Struct. 2019, 760, 316–327. [Google Scholar] [CrossRef]
- Cavaliere, P.; Santis, A.; Panella, F.; Squillace, A. Thermoelasticity and CCD analysis of crack propagation in AA6082 friction stir welded joints. Int. J. Fatigue 2009, 31, 385–392. [Google Scholar] [CrossRef]
- Hatamleh, O.; Forth, S.; Reynolds, A.P. Fatigue Crack Growth of Peened Friction Stir-Welded 7075 Aluminum Alloy under Different Load Ratios. J. Mater. Eng. Perform. 2009, 19, 99–106. [Google Scholar] [CrossRef]
- Jata, K.V.; Sankaran, K.K.; Ruschau, J.J. Friction-stir welding effects on microstructure and fatigue of aluminum alloy 7050-T7451. Metall. Mater. Trans. A 2000, 31, 2181–2192. [Google Scholar] [CrossRef]
- Zhang, Z.F.; Wang, Z.G. Grain boundary effects on cyclic deformation and fatigue damage. Prog. Mater. Sci. 2008, 53, 1025–1099. [Google Scholar] [CrossRef]
- Sangid, M.D.; Maier, H.J.; Sehitoglu, H. The role of grain boundaries on fatigue crack initiation—An energy approach. Int. J. Plast. 2011, 27, 801–821. [Google Scholar] [CrossRef]
- Bozek, J.E.; Hochhalter, J.D.; Veilleux, M.G.; Liu, M.; Heber, G.; Sintay, S.D.; Rollett, A.D.; Littlewood, D.J.; Maniatty, A.M.; Weiland, H.; et al. A geometric approach to modeling microstructurally small fatigue crack formation: I. Probabilistic simulation of constituent particle cracking in AA 7075-T651. Model. Simul. Mater. Sci. Eng. 2008, 16, 28. [Google Scholar] [CrossRef]
- Hochhalter, J.D.; Littlewood, D.J.; Christ, R.J.; Veilleux, M.G.; Bozek, J.E.; Ingraffea, A.R.; Maniatty, A.M. A geometric approach to modeling microstructurally small fatigue crack formation: II. Physically based modeling of microstructure-dependent slip localization and actuation of the crack nucleation mechanism in AA 7075-T651. Model. Simul. Mater. Sci. Eng. 2010, 18. [Google Scholar] [CrossRef]
- Hochhalter, J.D.; Littlewood, D.J.; Veilleux, M.G.; Bozek, J.E.; Maniatty, A.M.; Rollett, A.D.; Ingraffea, A.R. A geometric approach to modeling microstructurally small fatigue crack formation: III. Development of a semi-empirical model for nucleation. Model. Simul. Mater. Sci. Eng. 2011, 19. [Google Scholar] [CrossRef]
- Rice, J.R.; Hawk, D.E.; Asaro, R.J. Crack tip fields in ductile crystals. Int. J. Fract. 1990, 42, 301–321. [Google Scholar] [CrossRef]
- Kartal, M.E.; Cuddihy, M.A.; Dunne, F.P.E. Effects of crystallographic orientation and grain morphology on crack tip stress state and plasticity. Int. J. Fatigue 2014, 61, 46–58. [Google Scholar] [CrossRef]











| Elements | Si | Fe | Mn | Cu | Cr | Zr | Mg | Zn | Al |
|---|---|---|---|---|---|---|---|---|---|
| wt% | 0.230 | 0.189 | 0.343 | 0.038 | 0.090 | 0.107 | 1.23 | 4.02 | Bal. |
| Specimens | Ultimate Tensile Strength (MPa) | Yield Strength (σ0.2) (MPa) | Elongation (%) |
|---|---|---|---|
| Base metal | 415 | 320 | 7.4 |
| Joint | 400 | 256 | 15.5 |
© 2020 by the authors. Licensee MDPI, Basel, Switzerland. This article is an open access article distributed under the terms and conditions of the Creative Commons Attribution (CC BY) license (http://creativecommons.org/licenses/by/4.0/).
Share and Cite
Liu, W.; Wu, D.; Duan, S.; Wang, T.; Zou, Y. A Study on Fatigue Crack Propagation for Friction Stir Welded Plate of 7N01 Al-Zn-Mg Alloy by EBSD. Materials 2020, 13, 330. https://doi.org/10.3390/ma13020330
Liu W, Wu D, Duan S, Wang T, Zou Y. A Study on Fatigue Crack Propagation for Friction Stir Welded Plate of 7N01 Al-Zn-Mg Alloy by EBSD. Materials. 2020; 13(2):330. https://doi.org/10.3390/ma13020330
Chicago/Turabian StyleLiu, Wenyu, Dongting Wu, Shuwei Duan, Tao Wang, and Yong Zou. 2020. "A Study on Fatigue Crack Propagation for Friction Stir Welded Plate of 7N01 Al-Zn-Mg Alloy by EBSD" Materials 13, no. 2: 330. https://doi.org/10.3390/ma13020330
APA StyleLiu, W., Wu, D., Duan, S., Wang, T., & Zou, Y. (2020). A Study on Fatigue Crack Propagation for Friction Stir Welded Plate of 7N01 Al-Zn-Mg Alloy by EBSD. Materials, 13(2), 330. https://doi.org/10.3390/ma13020330

