The hetero-Friedel-Crafts-Bradsher Cyclizations with Formation of Ring Carbon-Heteroatom (P, S) Bonds, Leading to Organic Functional Materials
Abstract
1. Introduction
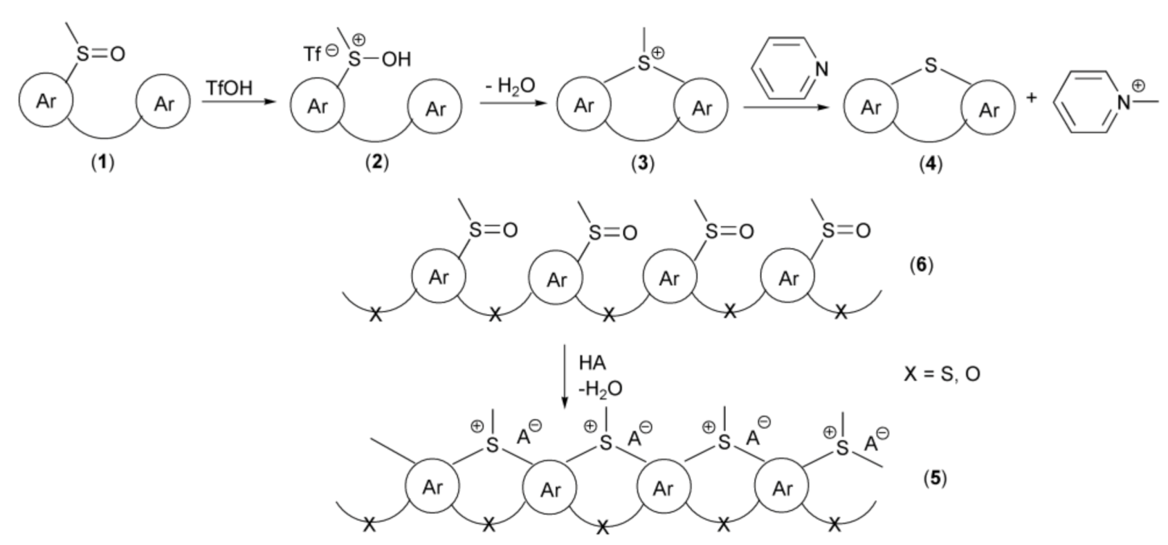
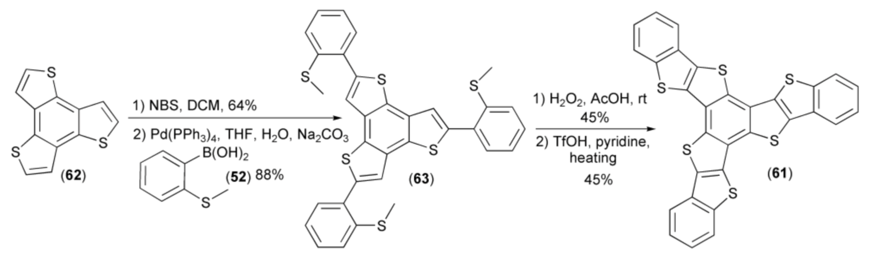
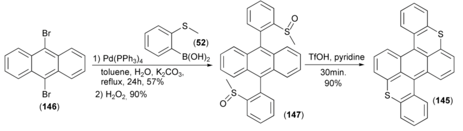
2. Cyclisation of Sulfur Derivatives
3. Cyclization of Phosphorus Derivatives
4. Conclusions
Author Contributions
Funding
Acknowledgments
Conflicts of Interest
References
- Hatakeyama, T.; Hashimoto, S.; Nakamura, M. Synthesis of Heteroatom-fused Polycyclic Aromatic Compounds via Tandem Hetero-Friedel-Crafts Reactions and Their Applications. J. Synth. Org. Chem. Jpn. 2014, 72, 1391–1397. [Google Scholar] [CrossRef]
- Hibner-Kulicka, P.; Joule, J.A.; Skalik, J.; Bałczewski, P. Recent studies of the synthesis, functionalization, optoelectronic properties and applications of dibenzophospholes. RSC Adv. 2017, 7, 9194–9236. [Google Scholar] [CrossRef]
- Bałczewski, P.; Kowalska, E.; Różycka-Sokołowska, E.; Skalik, J.; Owsianik, K.; Koprowski, M.; Marciniak, B.; Guziejewski, D.; Ciesielski, W. Mono-Aryl/Alkylthio-Substituted (Hetero)acenes of Exceptional Thermal and Photochemical Stability by the Thio-Friedel–Crafts/Bradsher Cyclization Reaction. Chem. Eur. J. 2019, 25, 14148–14161. [Google Scholar] [CrossRef] [PubMed]
- Jiang, Z.; Xu, M.; Li, F.; Yu, Y. Red-Light-Controllable Liquid-Crystal Soft Actuators via Low-Power Excited Upconversion Based on Triplet–Triplet Annihilation. J. Am. Chem. Soc. 2013, 135, 16446–16453. [Google Scholar] [CrossRef] [PubMed]
- Hashimoto, D. Syntheses of Polycyclic Aromatic Compounds with Heteroatom Junctions via Tandem Hetero-Friedel-Crafts Reactions. Master′s Thesis, Kyoto University, Kyoto, Japan, 25 March 2013. [Google Scholar]
- Schöberl, A.; Wagner, A. Modern der Organischen Chemie (Houben-Weyl), 4th ed.; Müller, E., Ed.; Thieme: Stuttgart, Germany, 1955; Volume IX, pp. 217–282. [Google Scholar]
- Douglas, J.B.; Farah, B.S. Some Reactions of Methanesulfinyl Chloride. J. Org. Chem. 1958, 23, 805–807. [Google Scholar] [CrossRef]
- Gupta, S.K. New Reactions and Reagents; VI. A Simple Synthesis of N,N-Dialkylsulfonamides via the Reaction of Dialkylsulfamyl Chlorides with Aromatic Hydrocarbons. Synthesis 1977, 1, 39–41. [Google Scholar] [CrossRef]
- Yuste, F.; Linares, A.H.; Mastranzo, V.M.; Ortiz, B.; Sánchez-Obregón, R.; Fraile, A.; Ruano, J.L.G. Methyl Sulfinates as Electrophiles in Friedel–Crafts Reactions. Synthesis of Aryl Sulfoxides. J. Org. Chem. 2011, 76, 4635–4644. [Google Scholar] [CrossRef]
- Sirringhaus, H.; Friend, R.H.; Wang, C.; Leuniger, J.; Müllen, K.J. Dibenzothienobisbenzothiophene-a novel fused-ring oligomer with high field-effect mobility. Mater. Chem. 1999, 9, 2095. [Google Scholar] [CrossRef]
- Gao, P.; Beckman, D.; Tsao, H.N.; Feng, X.; Enkelmann, V.; Pisula, W.; Müllen, K. Benzo[1,2-b:4,5-b′]bis[b]benzothiophene as solution processible organic semiconductor for field-effect transistors. Chem. Commun. 2008, 1548–1550. [Google Scholar] [CrossRef]
- Gao, P.; Beckman, D.; Tsao, H.N.; Feng, X.; Enkelmann, V.; Baumgarten, M.; Pisula, W.; Müllen, K. Dithieno[2,3-d;2′,3′-d′]benzo[1,2-b;4,5-b′]dithiophene (DTBDT) as Semiconductor for High-Performance, Solution-Processed Organic Field-Effect Transistors. Adv. Mater. 2009, 21, 213–216. [Google Scholar] [CrossRef]
- Kim, J.; Han, A.-R.; Seo, J.H.; Oh, J.H.; Yang, C. β-Alkyl substituted Dithieno[2,3-d;2′,3′-d′]benzo[1,2-b;4,5-b′]dithiophene Semiconducting Materials and Their Application to Solution-Processed Organic Transistors. Chem. Mater. 2012, 24, 3464–3472. [Google Scholar] [CrossRef]
- Li, J.; Qiao, X.; Xiong, Y.; Li, H.; Zhu, D. Five-Ring Fused Tetracyanothienoquinoids as High-Performance and Solution-Processable n-Channel Organic Semiconductors: Effect of the Branching Position of Alkyl Chains. Chem. Mater. 2014, 26, 5782–5788. [Google Scholar] [CrossRef]
- Guo, X.; Tsao, H.N.; Gao, P.; Xia, D.; An, C.; Nazeeruddin, M.K.; Baumgarten, M.; Gratzel, M.; Mullen, K. Dithieno[2,3-d;2′,3′-d′]benzo[1,2-b;4,5-b′]dithiophene based organic sensitizers for dye-sensitized solar cells. RSC Adv. 2014, 4, 54130–54133. [Google Scholar] [CrossRef]
- Chen, L.; Baumgarten, M.; Guo, X.; Li, M.; Marszalek, T.; Alsewailem, F.D.; Pisula, W.; Müllen, K. Alkyl substituted dithienothieno[2,3-d;2′,3′-d′]benzo[1,2-b:4,5-b′]dithiophenes as solution-processable hexathiaheptacenes. J. Mater. Chem. C 2014, 2, 3625–3630. [Google Scholar] [CrossRef]
- Gao, P.; Feng, X.; Yang, X.; Enkelmann, V.; Baumgarten, M.; Müllen, K. Conjugated Ladder-Type Heteroacenes Bearing Pyrrole and Thiophene Ring Units: Facile Synthesis and Characterization. J. Org. Chem. 2008, 73, 9207–9213. [Google Scholar] [CrossRef]
- Gao, P.; Cho, D.; Yang, X.; Enkelmann, V.; Baumgarten, M.; Müllen, K. Heteroheptacenes with Fused Thiophene and Pyrrole Rings. Chem. Eur. J. 2010, 16, 5119–5128. [Google Scholar] [CrossRef]
- Du, C.; Ye, S.; Chen, J.; Guo, Y.; Liu, Y.; Lu, K.; Liu, Y.; Qi, T.; Gao, X.; Shuai, Z.; et al. Asymmetrical Fluorene[2,3-b]benzo[d]thiophene Derivatives: Synthesis, Solid-State Structures, and Application in Solution-Processable Organic Light-Emitting Diodes. Chem. Eur. J. 2009, 15, 8275–8282. [Google Scholar] [CrossRef]
- Liu, Y.; Liu, Z.; Luo, H.; Xie, X.; Ai, L.; Ge, Z.; Yu, G.; Liu, Y. Benzothieno[2,3-b]thiophene semiconductors: Synthesis, characterization and applications in organic field-effect transistors. J. Mater. Chem. C 2014, 2, 8804–8810. [Google Scholar] [CrossRef]
- Liu, X.; Qi, X.; Gao, J.; Zou, S.; Zhang, H.; Hao, W.; Zang, Z.; Li, H.; Hu, W. Dialkylated dibenzotetrathienoacene derivative as semiconductor for organic field effect transistors. Org. Electron. 2014, 15, 156–161. [Google Scholar] [CrossRef]
- Gao, J.; Wang, Z. Synthesis and Properties of Naphthobisbenzothiophene Diimides. Org. Lett. 2013, 15, 1366–1369. [Google Scholar] [CrossRef]
- Zhang, S.; Qiao, X.; Chen, Y.; Wang, Y.; Edkins, R.M.; Liu, Z.; Li, H.; Fang, Q. Synthesis, Structure, and Opto-electronic Properties of Regioisomeric Pyrene–Thienoacenes. Org. Lett. 2014, 16, 342–345. [Google Scholar] [CrossRef]
- Xiong, Y.; Qiao, X.; Wu, H.; Huang, Q.; Wu, Q.; Li, J.; Gao, X.; Li, H. Syntheses and Properties of Nine-Ring-Fused Linear Thienoacenes. J. Org. Chem. 2014, 79, 1138–1144. [Google Scholar] [CrossRef] [PubMed]
- Zou, S.; Wang, Y.; Gao, J.; Liu, X.; Hao, W.; Zhang, H.; Zhang, H.; Xie, H.; Yang, C.; Li, H.; et al. Synthesis, characterization, and field-effect transistor performance of a two-dimensional starphene containing sulfur. J. Mater. Chem. C 2014, 2, 10011–10016. [Google Scholar] [CrossRef]
- Takemura, I.; Sone, R.; Nishide, H. Poly(thiaheterohelicene) derived from the long-alkylated polysulfonium precursor. Polym. Adv. Technol. 2008, 19, 1092–1096. [Google Scholar] [CrossRef]
- Oyaizu, K.; Iwasaki, T.; Tsukahara, Y.; Tsuchida, E. Linear Ladder-Type π-Conjugated Polymers Composed of Fused Thiophene Ring Systems. Macromolecules 2004, 37, 1257–1270. [Google Scholar] [CrossRef]
- Haryono, A.; Miyatake, K.; Natori, J.; Tsuchida, E. Synthesis of a Novel Oligo(p-phenylene) Ladder by Sulfide and Sulfonio Groups. Macromolecules 1999, 32, 3146–3149. [Google Scholar] [CrossRef]
- Iwasaki, T.; Katayose, K.; Kohinata, Y.; Nishide, H. A Helical Ladder Polymer: Synthesis and Magnetic Circular Dichroism of Poly[phenylene-4,6-bis(methylsulfonio)-1,3-diyl triflate]. Polym. J. 2005, 37, 592–598. [Google Scholar] [CrossRef]
- Leuninger, J.; Trimpin, S.; Räder, H.J.; Müllen, K. Novel Approach to Ladder-Type Polymers: Polydithiathianthrene via the Intramolecular Acid-Induced Cyclization of Methylsulfinyl-Substituted Poly(meta-phenylene sulfide). Macromol. Chem. Phys. 2001, 202, 2832–2842. [Google Scholar] [CrossRef]
- Miyatake, K.; Hay, A.S.; Mitsuhashi, F.; Tsuchida, E. Synthesis of Novel Ladder Polymer Electrolytes Bridged by Sulfonio and Imino Groups. Macromolecules 2001, 34, 2385–2388. [Google Scholar] [CrossRef]
- Oyaizu, K.; Missuhashi, F.; Tsuchida, E. Palladium-catalyzed synthesis of oligo(methylthio)aniline and conversion to polyacene-type electrolytes bearing phenothiazinium repeating units. Macromol. Chem. Phys. 2002, 203, 1328–1336. [Google Scholar] [CrossRef]
- Oyaizu, K.; Mikami, T.; Mitsuhashi, F.; Tsuchida, E. Synthetic Routes to Polyheteroacenes: Characterization of a Heterocyclic Ladder Polymer Containing Phenoxathiinium-type Building Blocks. Macromolecules 2002, 35, 67–78. [Google Scholar] [CrossRef]
- Tsuchida, E.; Oyaizu, K. Alkylsulfonioarylene and Thioarylene Polymers Derived from Sulfonium Electrophiles. Bull. Chem. Soc. Jpn. 2003, 76, 15–47. [Google Scholar] [CrossRef]
- Iwasaki, T.; Tsukahara, Y.; Nishide, H. Facile Preparation of Helical Ladder-type Polymers with Fused Phenoxathiine Rings. Chem. Lett. 2005, 34, 164–165. [Google Scholar] [CrossRef]
- Oyaizu, K.; Matsubara, R.; Iwasaki, T.; Tsuchida, E. Heteropolyacene with Thianthrenium Ring Systems Proving p Electron Delocalization over S Atoms. J. Macromol. Sci. A 2003, 40, 655–670. [Google Scholar] [CrossRef]
- Sun, Z.-B.; Guo, M.; Zhao, C.-H. Synthesis and Properties of Benzothieno[b]-Fused BODIPY Dyes. J. Org. Chem. 2016, 81, 229–237. [Google Scholar] [CrossRef]
- Huang, J.; Luo, H.; Wang, L.; Guo, Y.; Zhang, W.; Chen, H.; Zhu, M.; Liu, Y.; Yu, G. Dibenzoannelated Tetrathienoacene: Synthesis, Characterization, and Applications in Organic Field-Effect Transistors. Org. Lett. 2012, 14, 3300–3303. [Google Scholar] [CrossRef]
- Zheng, T.; Cai, Z.; Ho-Wu, R.; Yau, S.H.; Shaparov, V.; Goodson, T., III; Yu, L. Synthesis of Ladder-Type Thienoacenes and Their Electronic and Optical Properties. J. Am. Chem. Soc. 2016, 138, 868–875. [Google Scholar] [CrossRef]
- Yang, Y.; Liang, J.; Hu, L.; Zhang, B.; Yang, W. Synthesis and optical and electrochemical properties of polycyclic aromatic compounds with S,S-dioxide benzothiophene fused seven rings. New J. Chem. 2015, 39, 6513–6521. [Google Scholar] [CrossRef]
- Chen, D.-M.; Wang, S.; Li, H.-X.; Zhu, X.-Z.; Zhao, C.-H. Solid-State Emissive B,S-Bridged p-Terphenyls: Synthesis, Properties, and Utility as Bifunctional Fluorescent Sensor for Hg2+ and F– Ions. Inorg. Chem. 2014, 53, 12532–12539. [Google Scholar] [CrossRef]
- Son, H.J.; Lu, L.; Chen, W.; Xu, T.; Zheng, T.; Carsten, B.; Strzalka, J.; Darling, S.B.; Chen, L.X.; Yu, L. Synthesis and Photovoltaic Effect in Dithieno[2,3-d:2′,3′-d′]Benzo[1,2-b:4,5-b′]dithiophene-Based Conjugated Polymers. Adv. Mater. 2013, 25, 838–843. [Google Scholar] [CrossRef]
- Zheng, T.; Lu, L.; Jackson, N.E.; Lou, S.J.; Chen, L.X.; Yu, L. Roles of Quinoidal Character and Regioregularity in Determining the Optoelectronic and Photovoltaic Properties of Conjugated Copolymers. Macromolecules 2014, 47, 6252–6259. [Google Scholar] [CrossRef]
- Pandya, V.B.; Jain, M.R.; Chaugule, B.V.; Patel, J.S.; Parmar, B.M.; Joshi, J.K.; Patel, P.R. Efficient Synthesis of Unsymmetrical Dibenzothiophenes by Acid-Mediated Intramolecular Cyclization of Biaryl Methyl Sulfoxides. Synth. Comm. 2012, 42, 497–505. [Google Scholar] [CrossRef]
- Du, C.; Ye, S.; Liu, Y.; Guo, Y.; Wu, T.; Liu, H.; Zheng, J.; Cheng, C.; Zhu, M.; Yua, G. Fused-seven-ring anthracene derivative with two sulfur bridges for high performance red organic light-emitting diodes. Chem. Commun. 2010, 46, 8573–8575. [Google Scholar] [CrossRef] [PubMed]
- Maier, L. Organische Phosphorverbindungen. XI. Arylierung von PSCl3 in Gegenwart von Friedel-Crafts-Aktivatoren. Ein neues Verfahren zur Darstellung von Thiophosphoäure-dihalogeniden, Thiophosphinsäurehalogeniden und tertiären Phosphinsulfiden. Helv. Chim. Acta 1964, 47, 120–132. [Google Scholar] [CrossRef]
- Olah, G.A.; Hehemann, D. Friedel-Crafts Type Preparation of Triphenylphosphine. J. Org. Chem. 1977, 42, 2190. [Google Scholar] [CrossRef]
- Diaz, A.A.; Young, J.D.; Khan, M.A.; Wehmschulte, R.J. Facile Synthesis of Unsymmetrical 9-Phospha- and 9-Arsafluorenes. Inorg. Chem. 2006, 45, 5568–5575. [Google Scholar] [CrossRef]
- Diaz, A.A.; Buster, B.; Schomisch, D.; Khan, M.A.; Baum, J.C.; Wehmschulte, R.J. Size Matters: Room Temperature P−C Bond Formation Through C−H Activation in m-Terphenyldiiodophosphines. Inorg. Chem. 2008, 47, 2858–2863. [Google Scholar] [CrossRef]
- Unoh, Y.; Yokoyama, Y.; Satoh, T.; Hirano, K.; Miura, M. Regioselective Synthesis of Benzo[b]phosphole Derivatives via Direct ortho-Alkenylation and Cyclization of Arylthiophosphinamides. Org. Lett. 2016, 18, 5436–5439. [Google Scholar] [CrossRef]
- Unoh, Y.; Satoh, T.; Hirano, K.; Miura, M. Rhodium(III)-Catalyzed Direct Coupling of Arylphosphine Derivatives with Heterobicyclic Alkenes: A Concise Route to Biarylphosphines and Dibenzophosphole Derivati. ACS Catal. 2015, 5, 6634–6639. [Google Scholar] [CrossRef]
- Hatakeyama, T.; Hashimoto, S.; Nakamura, M. Tandem Phospha-Friedel–Crafts Reaction toward Curved π-Conjugated Frameworks with a Phosphorus Ring Junction. Org. Lett. 2011, 13, 2130–2133. [Google Scholar] [CrossRef]
- Hashimoto, S.; Nakatsuka, S.; Nakamura, M.; Hatakeyama, T. Construction of a Highly Distorted Benzene Ring in a Double Helicene. Angew. Chem. Int. Ed. 2014, 53, 14074–14076. [Google Scholar] [CrossRef] [PubMed]
- Nakatsuka, S.; Gotoh, H.; Kageyama, A.; Sasada, Y.; Ikuta, T.; Hatakeyama, T. 5,9-Dioxa-13b-Oxophosphanaphtho[3,2,1-de]anthracenes Prepared by Tandem Phospha-Friedel−Crafts Reaction as Hole-/Exciton-Blocking Materials for OLEDs. Organometallics 2017, 36, 2622–2631. [Google Scholar] [CrossRef]
- Wu, B.; Santra, M.; Yoshikai, N. A Highly Modular One-Pot Multicomponent Approach to Functionalized Benzo[b]phosphole Derivatives. Angew. Chem. Int. Ed. 2014, 53, 7543–7546. [Google Scholar] [CrossRef]
- Wu, B.; Chopra, R.; Yoshikai, N. One-Pot Benzo[b]phosphole Synthesis through Sequential Alkyne Arylmagnesiation, Electrophilic Trapping, and Intramolecular Phospha-Friedel−Crafts Cyclization. Org. Lett. 2015, 17, 5666–5669. [Google Scholar] [CrossRef]
- Pastor, S.D.; Spivack, J.D.; Steinhuebel, L.P. 6H-Dibenz[c,e][1,2]oxaphosphorins: Synthesis and chemistry. Phosphorus Sulfur Silicon Relat. Elem. 1987, 31, 71–74. [Google Scholar] [CrossRef]
- Prakasha, T.K.; Day, R.O.; Holmes, R.R. New Class of Bicyclic Oxyphosphoranes with an Oxaphosphorinane Ring: Molecular Structures and Activation Energies for Ligand Exchange. J. Am. Chem. Soc. 1994, 116, 8095–8104. [Google Scholar] [CrossRef]
- Ito, T.; Iwai, T.; Nakai, T.; Mihara, M.; Mizuno, T.; Ohno, T.; Ishikawa, A.; Kobayashi, J.-I. Superacid-catalyzed Friedel–Crafts phosphination of 2-hydroxybiphenyls with phosphorus trichloride. Heteroat. Chem. 2016, 27, 336–342. [Google Scholar] [CrossRef]
- Salmeia, K.A.; Gaan, S. An overview of some recent advances in DOPO-derivatives: Chemistry and flame retardant applications. Polym. Degrad. Stabil. 2015, 113, 119–134. [Google Scholar] [CrossRef]
- Nishimura, K.; Hirano, K.; Miura, M. Synthesis of Dibenzophospholes by Tf2O-Mediated Intramolecular Phospha-Friedel−Crafts-Type Reaction. Org. Lett. 2019, 21, 1467–1470. [Google Scholar] [CrossRef]
- Nakatsuka, S.; Watanabe, Y.; Kamakura, Y.; Horike, S.; Tanaka, D.; Hatakeyama, T. Solvent-Vapor-Induced Reversible Single-Crystal-to-Single-Crystal Transformation of a Triphosphaazatriangulene-Based Metal–Organic Framework. Angew. Chem. Int. Ed. 2020, 59, 1435–1439. [Google Scholar] [CrossRef]






































Publisher’s Note: MDPI stays neutral with regard to jurisdictional claims in published maps and institutional affiliations. |
© 2020 by the authors. Licensee MDPI, Basel, Switzerland. This article is an open access article distributed under the terms and conditions of the Creative Commons Attribution (CC BY) license (http://creativecommons.org/licenses/by/4.0/).
Share and Cite
Skalik, J.; Koprowski, M.; Różycka-Sokołowska, E.; Bałczewski, P. The hetero-Friedel-Crafts-Bradsher Cyclizations with Formation of Ring Carbon-Heteroatom (P, S) Bonds, Leading to Organic Functional Materials. Materials 2020, 13, 4751. https://doi.org/10.3390/ma13214751
Skalik J, Koprowski M, Różycka-Sokołowska E, Bałczewski P. The hetero-Friedel-Crafts-Bradsher Cyclizations with Formation of Ring Carbon-Heteroatom (P, S) Bonds, Leading to Organic Functional Materials. Materials. 2020; 13(21):4751. https://doi.org/10.3390/ma13214751
Chicago/Turabian StyleSkalik, Joanna, Marek Koprowski, Ewa Różycka-Sokołowska, and Piotr Bałczewski. 2020. "The hetero-Friedel-Crafts-Bradsher Cyclizations with Formation of Ring Carbon-Heteroatom (P, S) Bonds, Leading to Organic Functional Materials" Materials 13, no. 21: 4751. https://doi.org/10.3390/ma13214751
APA StyleSkalik, J., Koprowski, M., Różycka-Sokołowska, E., & Bałczewski, P. (2020). The hetero-Friedel-Crafts-Bradsher Cyclizations with Formation of Ring Carbon-Heteroatom (P, S) Bonds, Leading to Organic Functional Materials. Materials, 13(21), 4751. https://doi.org/10.3390/ma13214751

