Finite Element Simulation and Multi-Factor Stress Prediction Model for Cement Concrete Pavement Considering Void under Slab
Abstract
1. Introduction
2. Materials and Methods
2.1. FEA Model Parameters
2.2. Void Morphology for Simulation
2.3. Validation of Numerical Models
3. Results and Discussion
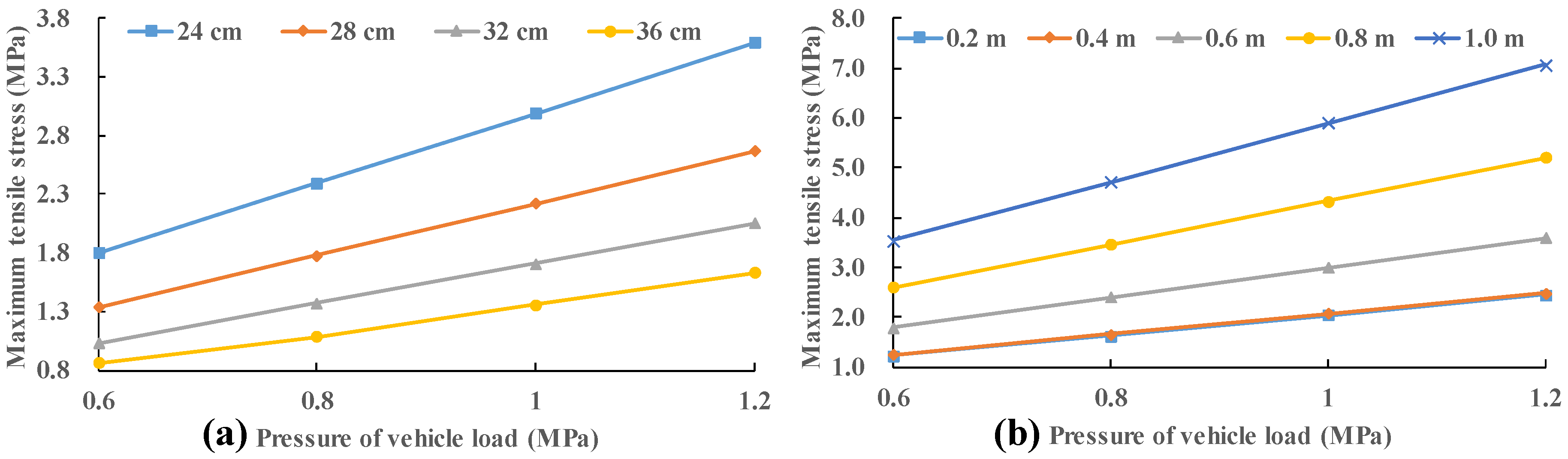
3.1. Impact of Void Size at the Slab Edge
3.2. Impact of Void Size at the Slab Corner
3.3. Impact of Void Depth at the Slab Corner
3.4. Regression Analysis of Maximum Tensile Stress
4. Conclusions
- C3D8I is discussed as one better element type for its contribution has better accuracy and more convenient practicability. A finite element analysis model considering void morphology is established to analyze the influence of void position, void size and void depth on the stress of concrete slab. The accuracy of the FEA model is verified.
- The slab stress will increase dramatically when a void area occurs at the slab edge. Nevertheless, slab stress does not change significantly as the void size increases. This may be caused by the change in the stress mode of the concrete slab. The stress mode of the concrete slab in the void area is similar to the bending of the beam supported on three sides, in which the tensile stress at the bottom of the beam is not sensitive to the length of the beam (void area). The variation of the length–width ratio has little effect on the slab stress.
- Impact of void size and void depth at the slab corner on the slab stress are similar. With the increase in both, the stress at the bottom of the slab decreases slightly and the stress at the top of the slab increases rapidly. When the void size is greater than 0.4 m and the void depth is greater than 0.4 mm, the stress at the top of the slab exceed that at the bottom.
- A function is established to calculate the maximum tensile stress of the concrete slab. The function takes into account the void size, the slab thickness and the vehicle load. The reliability of the function was verified by comparing the error between the calculated and simulated results.
Author Contributions
Funding
Conflicts of Interest
References
- Yao, Z. Design Theory and Procedure of Cement Concrete Pavement; China Communications Press: Beijing, China, 2003. [Google Scholar]
- Huang, Y.H. Pavement Analysis and Design, 2nd ed.; Pearson Prentice Hall: Upper Saddle River, NJ, USA, 2004. [Google Scholar]
- ARA, Inc., ERES Consultants Division. Guide for Mechanistic-Empirical Design of New and Rehabilitated Pavement Structures; Final Report, NCHRP Project 1-37A; Transportation Research Board of the National Academies: Washington, DC, USA, 2004. [Google Scholar]
- Crovetti, J.A.; Darter, M.I. Void detection for jointed concrete pavements. Transp. Res. Rec. 1985, 1041, 59–68. [Google Scholar]
- Van, W.A. Rigid Pavement Pumping: (1) Subbase Erosion and (2) Economic Modeling: Informational Report; Joint Highway Research Project: West Lafayette, IN, USA, 1985. [Google Scholar]
- American Association of State Highway and Transportation Officials (AASHTO). The AASHTO Guide for the Design of Pavement Structures, 4th ed.; With 1998 Supplement; AASHTO: Washington, DC, USA, 2011. [Google Scholar]
- Alland, K.; Vandenbossche, J.M.; Brigham, J. Statistical Model to Detect Voids for Curled or Warped Concrete Pavements. Transp. Res. Rec. 2017, 2639, 28–38. [Google Scholar]
- Bhatti, M.A.; Barlow, J.A.; Stoner, J.W. Modeling damage to rigid pavements caused by subgrade pumping. J. Transp. Eng. 1996, 122, 12–21. [Google Scholar]
- Ruiz, J.M.; Rasmussen, R.O.; Chang, G.K. Computer-Based Guidelines for Concrete Pavements. Design and Construction Guidelines and HIPERPAV II User’s Manual; Transtec Group: Austin, TX, USA, 2005; Volume 2. [Google Scholar]
- Xue, Y.Q. Research on Fatigue Damage Mechanism and Maintenance Countermeasure for Cement Concrete Pavement. Ph.D. Thesis, Southeast University, Nanjing, China, 2012. Unpublished work. [Google Scholar]
- Suh, Y.C.; Hankins, K.; McCullough, B.F. Early-Age Behavior of Continuously Reinforced Concrete Pavement and Calibration of the Failure Prediction Model in the CRCP-7 Program; Report No. 1244-3; Center for Transportation Research, The University of Texas: Austin, TX, USA, 1992. [Google Scholar]
- American Concrete Pavement Association. Slab Stabilization Guidelines for Concrete Pavements; Technical Bulletin TB018P; American Concrete Pavement Association: Skokie, IL, USA, 1994. [Google Scholar]
- Westergaard, H.M. Analysis of stresses in concrete pavements due to variations of temperature. Proc. Highway Res. Board 1927, 6, 201–215. [Google Scholar]
- Chen, J.Q.; Wang, H.; Xie, P.Y. Finite element modeling of mechanical responses of concrete pavement with partial depth repair. Constr. Build Mater. 2020, 240, 117960. [Google Scholar]
- Rezaei-Tarahomi, A.; Kaya, O. Development of rapid three-dimensional finite-element based rigid airfield pavement foundation response and moduli prediction models. Transp. Geo. 2017, 13, 81–91. [Google Scholar]
- Kim, K.; Chun, S. Evaluation of Internally Cured Concrete Pavement Using Environmental Responses and Critical Stress Analysis. Int. J. Concr. Struct. M 2015, 9, 463–473. [Google Scholar]
- Kim, K.; Chun, S.; Han, S.; Tia, M. Effect of Dowel Bar Arrangements on Performance of Jointed Plain Concrete Pavement (JPCP). Int. J. Concr. Struct. M 2018, 12, 519–529. [Google Scholar]
- Aure, T.W.; Ioannides, A.M. Fracture analysis of aggregate interlock jointed slabs-on-grade. Constr. Build. Mater. 2015, 77, 340–348. [Google Scholar]
- Darestani, M.Y.; Thambiratnam, D.P.; Nataatmadja, A. Structural response of concrete pavements under moving truck loads. J. Transp. Eng. 2007, 133, 670–676. [Google Scholar]
- Ling, J.; Wei, F.; Zhao, H. Analysis of airfield composite pavement responses using full-scale accelerated pavement testing and finite element method. Constr. Build. Mater. 2019, 212, 596–606. [Google Scholar]
- Sarkar, A.; Norouzi, R. Evaluating Curling Stress of Continuous Reinforced Concrete Pavement. ACI Struct. J. 2020, 117, 53–62. [Google Scholar]
- Ali, S.; Fawzia, S.; Thambiratnam, D.; Liu, X.; Remennikov, A.M. Performance of protective concrete runway pavement under aircraft impact loading. Struct. Infrastruct. Eng. 2020, 16, 1698–1710. [Google Scholar]
- Gu, H.; Jiang, X.; Li, Z.; Yao, K.; Qiu, Y. Comparisons of Two Typical Specialized Finite Element Programs for Mechanical Analysis of Cement Concrete Pavement. Math Probl. Eng. 2019, 2019, 9178626. [Google Scholar]
- Yang, S.; Zhang, Y.; Kaya, O.; Ceylan, H.; Kim, S. Investigation of Longitudinal Cracking in Widened Concrete Pavements. Baltic J. Road Bridge Eng. 2020, 15, 211–231. [Google Scholar]
- Bayrak, M.B.; Ceylan, H. Neural network-based approach for analysis of rigid pavement systems using deflection data. Transp. Res. Rec. 2008, 2068, 61–70. [Google Scholar]
- Grosek, J.; Zuzulova, A.; Brezina, I. Effectiveness of Dowels in Concrete Pavement. Materials 2019, 12, 1669. [Google Scholar]
- Yi-Qiu, T.; Yong-Kang, F.; Yun-Liang, L.; Chi, Z. Responses of snow-melting airfield rigid pavement under aircraft loads and temperature loads and their coupling effects. Transport. Geotech. 2018, 14, 107–116. [Google Scholar]
- Wadkar, A.; Mehta, Y.; Cleary, D.; Guo, E.; Musumeci, L.; Zapata, A.; Kettleson, W. Load-Transfer Efficiencies of Rigid Airfield Pavement Joints Based on Stresses and Deflections. J. Mater. Civil. Eng. 2011, 23, 1171–1180. [Google Scholar]
- Zhang, T.; Ren, Y.M. Identification and detection of a void under highway cement concrete pavement slabs based on finite element analysis. Rud. Geol. Naft. Zb. 2019, 34, 41–47. [Google Scholar]
- Xu, C.W.; Cebon, C. Foundation Voiding in Jointed Plain Concrete Pavements. J. Eng. Mech. 2017, 143, 04017018. [Google Scholar]
- Liang, K.; Zeng, X.; Ali, S. Hydrodynamic pressure distribution in saturated void beneath cement concrete pavement slab. Int. J. Pavement Eng. 2020, 3, 1–9. [Google Scholar]
- Liu, M.; Huang, X.; Chen, X. Occurrence and impacts of hollow space under a continuously reinforced concrete pavement. Road Mater. Pavement 2016, 17, 203–222. [Google Scholar]
- Darestani, M.; Thambiratnam, D. Dynamic Response of Concrete Pavements under Vehicular Loads; IABSE Symposium Report; IABSE: Zurich, Switzerland, 2006. [Google Scholar] [CrossRef]
- Wu, J.M.; Liang, J.P.; Sanjeev, A. Dynamic response of concrete pavement structure with asphalt isolating layer under moving loads. J. Traffic Transp. Eng 2014, 6, 439–447. [Google Scholar]
- Peng, W.B.; Liu, M.C.; Liu, S.H. Analysis of Shear Dynamic Response of Asphalt Pavement under Repeated Brake Loads by 3D Finite Element Method. J. Highway Trans. Res. Dev. 2009, 9, 46–52. [Google Scholar]
- Tan, Y.; Ling, J.M.; Yuan, J. Influence of Voids to Loading Stresses of Airport Cement Concrete Pavement. J. Tongji Univ. 2010, 38, 552–556. [Google Scholar]
- Huang, Y.; Yuan, J.; Tan, Y. Identification of Void beneath Airport Cement Concrete Pavement and Its Influecce. J. Tongji Univ. 2012, 40, 861–866. [Google Scholar] [CrossRef]
- Aure, T.W.; Ioannides, A.M. Curling effects on concrete slab-on-grade fracture. Mater. Struct. 2016, 49, 2991–3004. [Google Scholar]
- Bronuela, L.; David Lee, H.; Ryu, S.; Ho Cho, Y. Cantilever and pull-out tests and corresponding FEM models of various dowel bars in airport concrete pavement. Constr. Build. Mater. 2015, 83, 181–188. [Google Scholar]
- Zhou, Y.M.; Tan, Z.M.; Zhao, J. Loading Stress in Cement Concrete Pavement Structure with Base Widening. J. Tongji Univ. 2007, 35, 10. [Google Scholar]
- Mackiewicz, P. Analysis of stresses in concrete pavement under a dowel according to its diameter and load transfer efficiency. Can. J. Civil Eng. 2015, 42, 845–853. [Google Scholar]
- Jeong, J.; Park, J.; Lim, J.; Kim, S. Testing and modelling of friction characteristics between concrete slab and subbase layers. Road Mater. Pavement 2013, 15, 114–130. [Google Scholar]
- Tatsuo, N.; Takahito, O. Finite Element Model Analysis of Thermal Stresses of Thick Airport Concrete Pavement Slabs. Transp. Res. Rec. 2009, 2095, 3–12. [Google Scholar]
- Oh, H.J.; Kim, S.; Chung, W.; Lee, Y.H.; Cho, Y.K. Effect of joint type on rigid airfield pavement behavior. KSCE J. Civ. Eng. 2014, 18, 1389–1396. [Google Scholar]
- Specifications for Design of Highway Cement Concrete Pavement (JTGD40-2011); China Communication Press: Beijing, China, 2011.
- Zhou, Y.M.; Tan, Z.M. Loading Stress Analysis of Double-layered Cement Concrete Pavement Structure Based on Thin Shell Element. J. Tongji Univ. 2010, 38, 12. [Google Scholar]

















| Layer | Layer Properties | Values |
|---|---|---|
| Portland Cement Concrete layer | Slab length | 4 m |
| Slab width | 3 m | |
| Slab thickness | 24–36 cm | |
| Elastic modulus | 30,000 MPa | |
| Poisson ratio | 0.15 | |
| Cement and fly-ash stabilized macadam base course layer | Base length | 6 m |
| Base width | 5 m | |
| Base thickness | 18 cm | |
| Elastic modulus | 2000 MPa | |
| Poisson ratio | 0.25 | |
| Subgrade | Modulus of subgrade reaction (k) | 0.12 MPa/mm |
| Mesh Size (h/e) | Element Type | ||||
|---|---|---|---|---|---|
| C3D8 | C3D8R | C3D8I | C3D20 | C3D20R | |
| 2 | 1.217 | 0.926 | 1.379 | 1.639 | 1.571 |
| 4 | 1.394 | 1.183 | 1.544 | 1.637 | 1.615 |
| 6 | 1.473 | 1.31 | 1.589 | 1.631 | 1.622 |
| Void Size (m) | Slab Thickness (cm) | ||||||||
|---|---|---|---|---|---|---|---|---|---|
| 26 | 30 | 34 | |||||||
| Model | Function | Error | Model | Function | Error | Model | Function | Error | |
| 0.6 | 1.539 | 1.559 | 1.30% | 1.165 | 1.169 | 0.34% | 0.911 | 0.911 | 0.00% |
| 0.7 | 1.863 | 1.859 | 0.21% | 1.385 | 1.379 | 0.43% | 1.07 | 1.059 | 1.03% |
| 0.8 | 2.198 | 2.202 | 0.18% | 1.629 | 1.623 | 0.37% | 1.252 | 1.232 | 1.60% |
| 0.9 | 2.548 | 2.588 | 1.57% | 1.889 | 1.902 | 0.69% | 1.453 | 1.432 | 1.45% |
| 1 | 2.991 | 3.018 | 0.90% | 2.213 | 2.216 | 0.14% | 1.697 | 1.657 | 2.36% |
Publisher’s Note: MDPI stays neutral with regard to jurisdictional claims in published maps and institutional affiliations. |
© 2020 by the authors. Licensee MDPI, Basel, Switzerland. This article is an open access article distributed under the terms and conditions of the Creative Commons Attribution (CC BY) license (http://creativecommons.org/licenses/by/4.0/).
Share and Cite
Liu, B.; Zhou, Y.; Gu, L.; Huang, X. Finite Element Simulation and Multi-Factor Stress Prediction Model for Cement Concrete Pavement Considering Void under Slab. Materials 2020, 13, 5294. https://doi.org/10.3390/ma13225294
Liu B, Zhou Y, Gu L, Huang X. Finite Element Simulation and Multi-Factor Stress Prediction Model for Cement Concrete Pavement Considering Void under Slab. Materials. 2020; 13(22):5294. https://doi.org/10.3390/ma13225294
Chicago/Turabian StyleLiu, Bangyi, Yang Zhou, Linhao Gu, and Xiaoming Huang. 2020. "Finite Element Simulation and Multi-Factor Stress Prediction Model for Cement Concrete Pavement Considering Void under Slab" Materials 13, no. 22: 5294. https://doi.org/10.3390/ma13225294
APA StyleLiu, B., Zhou, Y., Gu, L., & Huang, X. (2020). Finite Element Simulation and Multi-Factor Stress Prediction Model for Cement Concrete Pavement Considering Void under Slab. Materials, 13(22), 5294. https://doi.org/10.3390/ma13225294
