Physical and Mechanical Properties of High-Strength Concrete Modified with Supplementary Cementitious Materials after Exposure to Elevated Temperature up to 1000 °C
Abstract
1. Introduction
2. Experimental Details
2.1. Materials
2.1.1. Cement and SCMs Used
2.1.2. Aggregate
2.1.3. Admixture
2.2. Mixture and Preparation
2.3. Test Methods
3. Results and Discussion
3.1. Workability
3.2. Mechanical Properties at the AT
3.2.1. Compressive Strength
3.2.2. Flexural Strength
3.3. Mechanical Properties Subjected to Elevated Temperatures
3.4. Physical Properties Subjected to Elevated Temperatures
3.4.1. Physical Appearance
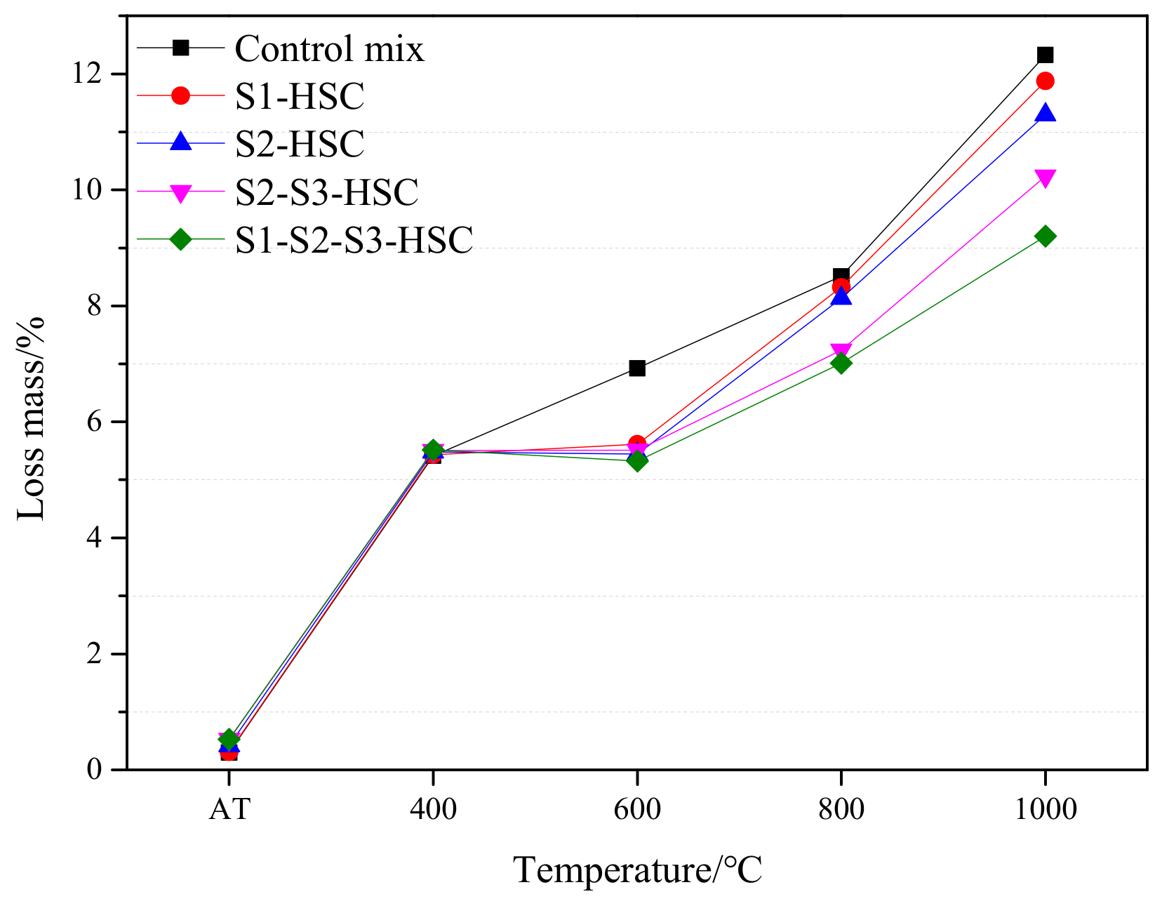
3.4.2. Loss Mass
3.4.3. Water Absorption
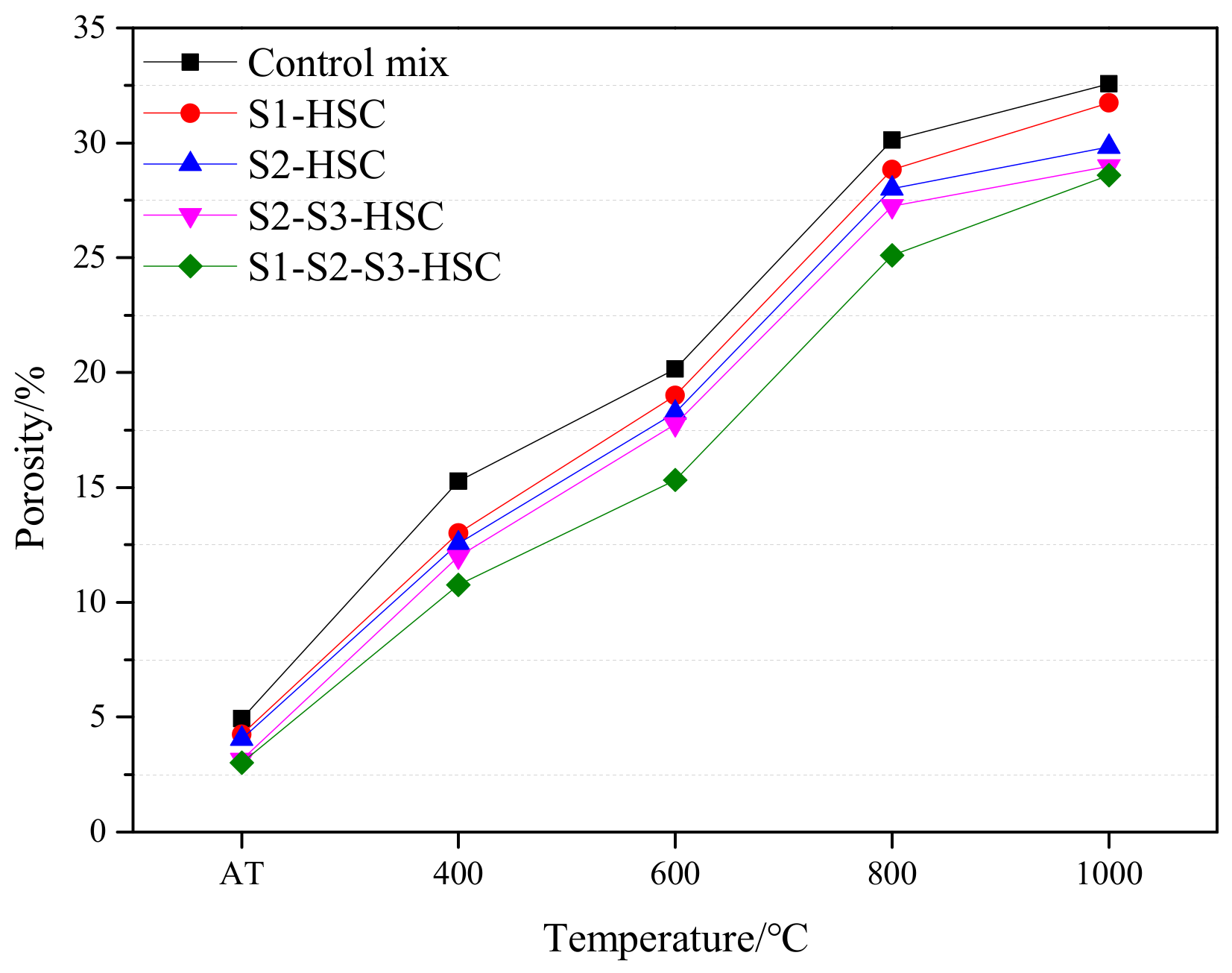
3.4.4. Porosity
3.5. Relation Between Residual Compressive Strength and Physical Properties
3.5.1. Relation Between Residual Compressive Strength and Loss Mass
3.5.2. Relation Between Residual Compressive Strength and Water Absorption
3.5.3. Relation Between Residual Compressive Strength and Porosity
4. Conclusions
- (1)
- The slump value of fresh concrete increased with addition of SCMs, compared with the control mix. The addition of FA showed more effective than that of the UFFA or combined usage of SCMs in increasing the workability of HSC.
- (2)
- The influence of SCMs on early-age (3 d) compressive strength of HSC was limited, while it had a significant influence on the long-term strength of HSC. The combined usage of SCMs can provide excellent synergetic effects on mechanical properties of HSC.
- (3)
- Two distinct stages of evolution of residual strength of the specimen subjected to elevated temperatures: a slight increase of residual compressive strength at 400 °C, and a sharp drop beyond 400 °C. The combining usage of SCMs had a positive effect on the residual compressive strength of HSC, for specimens containing UFFA-MK and FA-UFFA-MK at 1000 °C, the residual strength retained 18.5 MPa and 23.3 MPa, respectively.
- (4)
- The loss mass of concrete at 400 °C increased approximately by 10 times that of at the AT. The specimen containing FA-UFFA-MK showed the best physical properties when the temperature rose above 600 °C. A strongly correlated relation between residual strength and physical properties of HSC exposed to elevated temperatures.
Author Contributions
Funding
Conflicts of Interest
References
- Molay, T.G.G.; Leroy, M.N.L.; Fidele, T.; Franck, H.G.; Bienvenu, N.J. Mechanical and physical performances of concretes made from crushed sands of different geological nature subjected to high temperatures. Eng. Sci. Technol. Int. J. 2019, 22, 1116–1124. [Google Scholar] [CrossRef]
- Drzymała, T.; Jackiewicz-Rek, W.; Tomaszewski, M.; Kuś, A.; Gałaj, J.; šukys, R. Effects of High Temperature on the Properties of high performance Concrete (HSC). Procedia Eng. 2017, 172, 256–263. [Google Scholar] [CrossRef]
- Karahan, O. Transport properties of high volume fly ash or slag concrete exposed to high temperature. Constr. Build. Mater. 2017, 152, 898–906. [Google Scholar] [CrossRef]
- Awal, A.S.M.A.; Shehu, I.A.; Ismail, M. Effect of cooling regime on the residual performance of high-volume palm oil fuel ash concrete exposed to high temperatures. Constr. Build. Mater. 2015, 98, 875–883. [Google Scholar] [CrossRef]
- Stahl, T.; Brunner, S.; Zimmermann, M.; Wakili, K.G. Thermo-hygric properties of a newly developed aerogel based insulation rendering for both exterior and interior applications. Energ. Buildings. 2012, 44, 114–117. [Google Scholar] [CrossRef]
- Liang, X.; Wu, C.; Su, Y.; Chen, Z.; Li, Z. Development of ultra-high performance concrete with high fire resistance. Constr. Build. Mater. 2018, 179, 400–412. [Google Scholar] [CrossRef]
- Alonso, C.; Fernandez, L. Dehydration and rehydration processes of cement paste exposed to high temperature environments. J. Mater. Sci. 2004, 29, 3015–3024. [Google Scholar] [CrossRef]
- Das, O.; Sarmah, A.K.; Bhattacharyya, D. Structure-mechanics property relationship of waste derived biochars. Sci. Total Environ. 2015, 538, 611–620. [Google Scholar] [CrossRef]
- Lee, N.K.; Koh, K.T.; Park, S.H.; Ryu, G.S. Microstructural investigation of calcium aluminate cement-based ultra-high performance concrete (UHSC) exposed to high temperatures. Cement Concrete Res. 2017, 102, 109–118. [Google Scholar] [CrossRef]
- Castellote, M.; Alonso, C.; Andrade, C.; Turrillas, X.; Campo, J. Composition and microstructural changes of cement pastes upon heating, as studied by neutron diffraction. Cem. Concr. Res. 2004, 34, 1633–1644. [Google Scholar] [CrossRef]
- Zhu, P.; Brunner, S.; Zhao, S.; Griffa, M.; Leemann, A.; Toropovs, N.; Malekos, A.; Koebel, M.M.; Lura, P. Study of physical properties and microstructure of aerogel-cement mortars for improving the fire safety of high-performance concrete linings in tunnels. Cem. Concr. Compos. 2019, 104, 103414. [Google Scholar] [CrossRef]
- Saavedra, W.G.V.; Gutiérrez, R.M.D. Performance of geopolymer concrete composed of fly ash after exposure to elevated temperatures. Constr. Build. Mater. 2017, 154, 229–235. [Google Scholar] [CrossRef]
- Aydın, S.; Baradan, B. Effect of pumice and fly ash incorporation on high temperature resistance of cement based mortars. Cem. Concr. Res. 2007, 37, 988–995. [Google Scholar] [CrossRef]
- Wang, W.; Lu, C.; Li, Q.; Li, Y. An investigation on thermal conductivity of fly ash concrete after elevated temperature exposure. Constr. Build. Mater. 2017, 148, 148–154. [Google Scholar] [CrossRef]
- Anjos, M.A.S.; Camões, A.; Campos, P.; Azeredo, G.A.; Ferreira, R.L.S. Effect of high volume fly ash and metakaolin with and without hydrated lime on the properties of self-compacting concrete. J. Build. Eng. 2020, 27, 100985. [Google Scholar] [CrossRef]
- Anwar, K.M.H. High strength blended cement concrete incorporating volcanic ash: Performance at high temperatures. Cem. Concr. Compos. 2006, 28, 535–545. [Google Scholar] [CrossRef]
- Burciaga-Díaz, O.; Escalante-García, J.I. Comparative performance of alkali activated slag/metakaolin cement pastes exposed to high temperatures. Cem. Concr. Compos. 2017, 84, 157–166. [Google Scholar] [CrossRef]
- Saboo, N.; Shivhare, S.; Kori, K.K.; Chandrappa, A.K. Effect of fly ash and metakaolin on pervious concrete properties. Constr. Build. Mater. 2019, 223, 322–328. [Google Scholar] [CrossRef]
- El-Din, H.K.S.; Eisa, A.S.; Aziz, B.H.A.; Ibrahim, A. Mechanical performance of high strength concrete made from high volume of Metakaolin and hybrid fibers. Constr. Build. Mater. 2017, 140, 203–209. [Google Scholar] [CrossRef]
- Poon, C.S.; Anson, S.A.M.; Wong, Y.L. Performance of metakaolin concrete at elevated temperatures. Cem. Concr. Compos. 2003, 25, 83–89. [Google Scholar] [CrossRef]
- Salimi, J.; Ramezanianpour, A.M.; Moradi, M.J. Studying the effect of low reactivity metakaolin on free and restrained shrinkage of high performance concrete. J. Build. Eng. 2020, 28, 101053. [Google Scholar] [CrossRef]
- Xie, J.; Wang, J.; Rao, R.; Wang, C.; Fang, C. Effects of combined usage of GGBS and fly ash on workability and mechanical properties of alkali activated geopolymer concrete with recycled aggregate. Compos. B Eng. 2019, 164, 179–190. [Google Scholar] [CrossRef]
- Nath, P.; Sarker, P.K. Effect of GGBFS on setting, workability and early strength properties of fly ash geopolymer concrete cured in ambient condition. Constr. Build. Mater. 2014, 66, 163–171. [Google Scholar] [CrossRef]
- Shen, D.; Jiao, Y.; Kang, J.; Feng, Z.; Shen, Y. Influence of ground granulated blast furnace slag on early-age cracking potential of internally cured high performance concrete. Constr. Build. Mater. 2020, 233, 117083. [Google Scholar] [CrossRef]
- Manjunath, R.; Narasimhan, M.C.; Umesha, K.M. Studies on high performance alkali activated slag concrete mixes subjected to aggressive environments and sustained elevated temperatures. Constr. Build. Mater. 2019, 229, 116887. [Google Scholar] [CrossRef]
- Gupta, S.; Kua, H.W.; Pang, S.D. Effect of biochar on mechanical and permeability properties of concrete exposed to elevated temperature. Constr. Build. Mater. 2020, 234, 117338. [Google Scholar] [CrossRef]
- China Architecture and Building Press. Common Portland Cement (GB175-2007); China Architecture and Building Press: Beijing, China, 2007. [Google Scholar]
- China Architecture and Building Press. Fly Ash Used for Cement and Concrete (GB/T1596-2005); China Architecture and Building Press: Beijing, China, 2005. [Google Scholar]
- China Architecture and Building Press. Technical Code for Application of Mineral Admixture (GB/T 51003-2014); China Architecture and Building Press: Beijing, China, 2014. [Google Scholar]
- China Architecture and Building Press. Metakaolin Used for Concrete (DB53/T 843-2017); China Architecture and Building Press: Beijing, China, 2017. [Google Scholar]
- China Architecture and Building Press. Sand for Construction (GB/T 14684-2011); China Architecture and Building Press: Beijing, China, 2011. [Google Scholar]
- China Architecture and Building Press. Pebble and Crushed Stone for Construction (GB/T14685-2011); China Architecture and Building Press: Beijing, China, 2011. [Google Scholar]
- China Architecture and Building Press. Standard for Test Method of Performance on Ordinary Fresh Concrete (GB/T 50080-2016); China Architecture and Building Press: Beijing, China, 2016. [Google Scholar]
- China Architecture and Building Press. Standard for Test Method of Mechanical Properties on Ordinary Concrete (GB/T 50081-2002); China Architecture and Building Press: Beijing, China, 2002. [Google Scholar]
- China Architecture and Building Press. Dense Refractory Castable—Determination of Bulk Density and Apparent Porosity (YB/T 5200-1993); China Architecture and Building Press: Beijing, China, 1993. [Google Scholar]
- Ramanathan, S.; Moon, H.; Croly, M.; Chung, C.; Suraneni, P. Predicting the degree of reaction of supplementary cementitious materials in cementitious pastes using a pozzolanic test. Constr. Build. Mater. 2019, 204, 621–630. [Google Scholar] [CrossRef]
- Althoey, F.; Farnam, Y. The effect of using supplementary cementitious materials on damage development due to the formation of a chemical phase change in cementitious materials exposed to sodium chloride. Constr. Build. Mater. 2019, 210, 685–695. [Google Scholar] [CrossRef]












| Physical Properties | Setting Time /min | Flexural Strength /MPa | Compressive Strength /MPa | ||||
|---|---|---|---|---|---|---|---|
| Density /(g·cm−3) | Specific Surface /(cm2·g−1) | Initial | Final | 3 d | 28 d | 3 d | 28 d |
| 3.05 | 4610 | 113.0 | 146.0 | 5.7 | 9.2 | 28.7 | 60.1 |
| Label | CaO | SiO2 | Al2O3 | Fe2O3 | SO3 |
|---|---|---|---|---|---|
| Cement | 59.7 | 21.5 | 5.8 | 4.0 | 2.0 |
| FA | 4.1 | 50.8 | 25.0 | 2.6 | 0.3 |
| UFFA | 4.4 | 59.5 | 28.6 | 2.6 | 0.3 |
| MK | 0.4 | 46.9 | 44.3 | 4.4 | 0.2 |
| Cement | Water | Fine Aggregate | Coarse Aggregate | SP |
|---|---|---|---|---|
| 600 | 126 | 634 | 1126 | 6 |
| Concrete ID | Mass of Cement Substituted by Cementitious Materials SCMs/% | ||
|---|---|---|---|
| FA | UFFA | MK | |
| Control mix | 0 | 0 | 0 |
| S1-HSC | 30 | 0 | 0 |
| S2-HSC | 0 | 30 | 0 |
| S2-S3-HSC | 0 | 30 | 5 |
| S1-S2-S3-HSC | 10 | 20 | 5 |
© 2020 by the authors. Licensee MDPI, Basel, Switzerland. This article is an open access article distributed under the terms and conditions of the Creative Commons Attribution (CC BY) license (http://creativecommons.org/licenses/by/4.0/).
Share and Cite
Zhou, J.; Lu, D.; Yang, Y.; Gong, Y.; Ma, X.; Yu, B.; Yan, B. Physical and Mechanical Properties of High-Strength Concrete Modified with Supplementary Cementitious Materials after Exposure to Elevated Temperature up to 1000 °C. Materials 2020, 13, 532. https://doi.org/10.3390/ma13030532
Zhou J, Lu D, Yang Y, Gong Y, Ma X, Yu B, Yan B. Physical and Mechanical Properties of High-Strength Concrete Modified with Supplementary Cementitious Materials after Exposure to Elevated Temperature up to 1000 °C. Materials. 2020; 13(3):532. https://doi.org/10.3390/ma13030532
Chicago/Turabian StyleZhou, Jianwei, Dong Lu, Yuxuan Yang, Yue Gong, Xudong Ma, Baoying Yu, and Baobao Yan. 2020. "Physical and Mechanical Properties of High-Strength Concrete Modified with Supplementary Cementitious Materials after Exposure to Elevated Temperature up to 1000 °C" Materials 13, no. 3: 532. https://doi.org/10.3390/ma13030532
APA StyleZhou, J., Lu, D., Yang, Y., Gong, Y., Ma, X., Yu, B., & Yan, B. (2020). Physical and Mechanical Properties of High-Strength Concrete Modified with Supplementary Cementitious Materials after Exposure to Elevated Temperature up to 1000 °C. Materials, 13(3), 532. https://doi.org/10.3390/ma13030532
