Zeolites in Phenol Removal in the Presence of Cu(II) Ions—Comparison of Sorption Properties after Chitosan Modification
Abstract
1. Introduction
2. Materials and Methods
2.1. Samples Preparation
2.2. Characterization of the Adsorbents
2.3. Adsorption Experiments
2.4. Adsorption Isotherms
2.5. Adsorption Kinetics
2.6. Thermodynamic Study
3. Results and Discussion
3.1. Characteristics of Adsorbents
3.2. Effect of Initial Concentration and pH Dependence
3.3. Single and Dual Adsorption of Cu(II) and Phenol
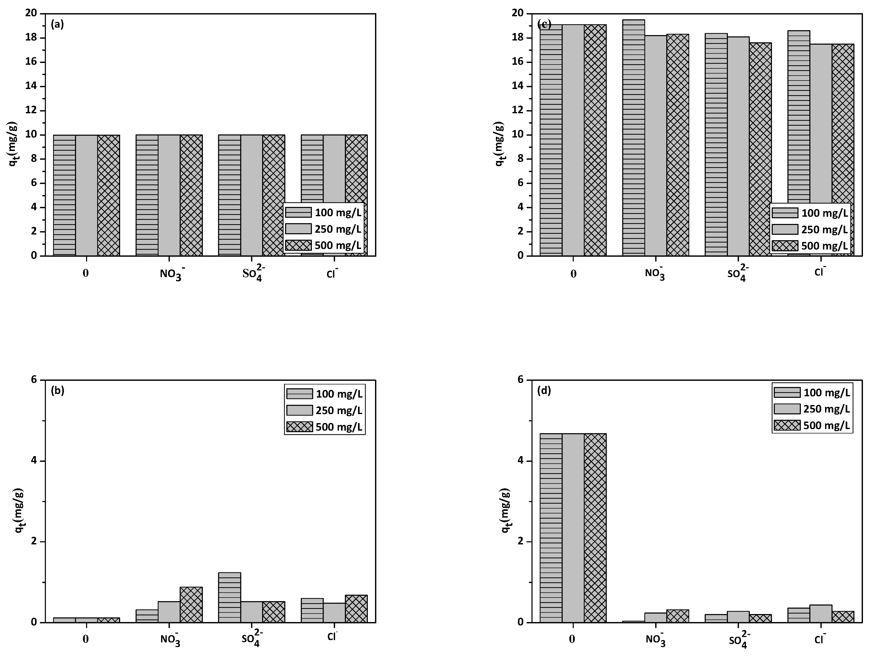
3.4. Effect of Interfering Ions
3.5. Isotherm Models
3.6. Kinetic Studies
3.7. Thermodynamic Study
3.8. Desorption
4. Conclusions
- With the increase of the contact time and initial concentration, the efficiency of Cu(II) and phenol removal increase;
- pH 6 for NaP1CS and pH 7 for NaP1 proved to be the most effective in phenol removal;
- the equilibrium time was determined to be 30 min for Cu(II) and 100 min for phenol on NaP1, whereas the equilibrium time for Cu(II) was determined to be 120 min, and for phenol on NaP1CS, 170 min;
- the Langmuir isotherm proved to be better for the Cu(II) ions, whereas the Freundlich isotherm proved to be better for phenol adsorption;
- the pseudo-second order model near the intraparticle diffusion model proved to be the best one;
- the process of Cu(II) ions sorption was endothermic, whereas for phenol it was exothermic; and
- the desorption study indicated that 0.5 M HCl was the most efficient factor for the removal of Cu(II) ions and phenol from NaP1 and NaP1CS.
Author Contributions
Funding
Acknowledgments
Conflicts of Interest
References
- Busca, G.; Berardinelli, S.; Resini, C.; Arrighi, L. Technologies for the removal of phenol from fluid streams: A short review of recent developments. J. Hazard. Mater. 2008, 160, 265–288. [Google Scholar] [CrossRef] [PubMed]
- Lin, Z.; Hou, Y.; Ren, S.; Ji, Y.; Yao, C.; Niu, M.; Wu, W. Phase equilibria of phenol + toluene + quaternary ammonium salts for the separation of phenols from oil with forming deep eutectic solvents. Fluid Phase Equilib. 2016, 429, 67–75. [Google Scholar] [CrossRef]
- Bajaj, M.; Gallert, C.; Winter, J. Biodegradation of high phenol containing synthetic wastewater by an aerobic fixed bed reactor. Bioresour. Technol. 2008, 99, 8376–8381. [Google Scholar] [CrossRef] [PubMed]
- Zhou, J.; Yu, X.; Ding, C.; Wang, Z.; Zhou, Q.; Pao, H.; Cai, W. Optimization of phenol degradation by Candida tropicalis Z-04 using Plackett-Burman design and response surface methodology. J. Environ. Sci. 2011, 23, 22–30. [Google Scholar] [CrossRef]
- Adam, F.; Andas, J.; Rahman, I.A. A study on the oxidation of phenol by heterogeneous iron silica catalyst. Chem. Eng. J. 2010, 165, 658–667. [Google Scholar] [CrossRef]
- Cheng, Z.; Fu, F.; Pang, Y.; Tang, B.; Lu, J. Removal of phenol by acid-washed zero-valent aluminium in the presence of H2O2. Chem. Eng. J. 2014, 260, 284–290. [Google Scholar] [CrossRef]
- Shim, J.; Lim, J.M.; Shea, P.J.; Oh, B.T. Simultaneous removal of phenol, Cu and Cd from water with corn cob silica-alginate beads. J. Hazard. Mater. 2014, 272, 129–136. [Google Scholar] [CrossRef]
- Jalilzadeh, M.; Şenel, S. Removal of Cu(II) ions from water by ion-imprinted magnetic and non-magnetic cryogels: A comparison of their selective Cu(II) removal performances. J. Water. Process. Eng. 2016, 13, 143–152. [Google Scholar] [CrossRef]
- Cheng, W.P.; Gao, W.; Cui, X.; Ma, J.H.; Li, R.F. Phenol adsorption equilibrium and kinetics on zeolite X/activated carbon composite. J. Taiwan Inst. Chem. Eng. 2015, 62, 192–198. [Google Scholar] [CrossRef]
- Zhang, D.; Huo, P.; Liu, W. Behavior of phenol adsorption on thermal modified activated carbon. Chin. J. Chem. Eng. 2016, 24, 446–452. [Google Scholar] [CrossRef]
- Garcia-Diaz, I.; Lopez, F.A.; Alguacil, F.J. Carbon Nanofibers: A New Adsorbent for Copper Removal from Wastewater. Metals 2018, 8, 914. [Google Scholar] [CrossRef]
- Elkady, M.F.; Hassan, H.S.; Amer, W.A.; Salama, E.; Algarni, H.; Shaaban, E.R. Novel Magnetic Zinc Oxide Nanotubes for Phenol Adsorption: Mechanism Modeling. Materials 2017, 10, 1355. [Google Scholar] [CrossRef] [PubMed]
- Franus, W.; Dudek, K. Clay minerals and clinoptilolite from the Variegated Shales Formation in the Skole Unit, Polish Flysch Carpathians. Geol. Carpath. 1999, 50, 23–24. [Google Scholar]
- Kyziol-Komosinska, J.; Rosik-Dulewska, C.; Franus, M.; Antoszczyszyn-Szpicka, P.; Czupiol, J.; Krzyzewska, I. Sorption capacities of the natural and synthetic zeolites for the Cu(II) ions. Pol. J. Environ. Stud. 2015, 24, 1111–1123. [Google Scholar] [CrossRef]
- Demirbas, A. Heavy metal adsorption onto agro-based waste materials: A review. J. Hazard. Mater. 2008, 157, 220–229. [Google Scholar] [CrossRef] [PubMed]
- Hank, D.; Azi, Z.; Ait Hocine, S.; Chaalal, O.; Hellal, A. Optimization of phenol adsorption onto bentonite by factorial design methodology. J. Ind. Eng. Chem. 2014, 20, 2256–2263. [Google Scholar] [CrossRef]
- Itskos, G.; Koukouzas, N.; Vasilatos, C.; Megremi, I.; Moutsatsou, A. Comparative uptake study of toxic elements from aqueous media by the different particle-size-fractions of fly ash. J. Hazard. Mater. 2010, 183, 787–792. [Google Scholar] [CrossRef]
- Woszuk, A. Application of fly ash derived zeolites in warm-mix asphalt technology. Materials 2018, 11, 1542. [Google Scholar] [CrossRef]
- Woszuk, A.; Wróbel, M.; Franus, W. Influence of waste engine oil addition on the properties of zeolite-foamed asphalt. Materials 2019, 12, 2265. [Google Scholar] [CrossRef]
- Chałupnik, S.; Franus, W.; Wysocka, M. Application of zeolites for radium removal from mine water. Environ. Sci. Pollut. R. 2013, 20, 7900–7906. [Google Scholar] [CrossRef]
- Feng, N.-Q.; Peng, G.-F. Applications of natural zeolite to construction and building materials in China. Constr. Build. Mater. 2005, 19, 579–584. [Google Scholar] [CrossRef]
- Perego, C.; Bagatin, R.; Tagliabue, M.; Vignola, R. Zeolites and related mesoporous materials for multi-talented environmental solutions. Microporous Mesoporous Mater. 2013, 166, 37–49. [Google Scholar] [CrossRef]
- Franus, W. Characterization of X-type Zeolite Prepared from Coal Fly Ash. Pol. J. Environ. Stud. 2012, 21, 337–343. [Google Scholar]
- Kotoulas, A.; Agathou, D.; Triantaphyllidou, I.E.; Tatoulis, T.I.; Akratos, C.S.; Tekerlekopoulou, A.G.; Vayenas, D.V. Zeolite as a Potential Medium for Ammonium Recovery and Second Cheese Whey Treatment. Water 2019, 11, 136. [Google Scholar] [CrossRef]
- Weitkamp, J. Zeolites and catalysis. Solid State Ionics 2000, 131, 175–188. [Google Scholar] [CrossRef]
- Sánchez-Hernández, R.; López-Delgado, A.; Padilla, I.; Galindo, R.; López-Andrés, S. One-step synthesis of NaP1, SOD and ANA from a hazardous aluminum solid waste. Microporous Mesoporous Mater. 2016, 226, 267–277. [Google Scholar] [CrossRef]
- Muir, B.; Matusik, J.; Bajda, T. New insights into alkylammonium-functionalized clinoptilolite and Na-P1 zeolite: Structural and textural features. Appl. Surf. Sci. 2016, 361, 242–250. [Google Scholar] [CrossRef]
- Bandura, L.; Kołodyńska, D.; Franus, W. Adsorption of BTX from aqueous solutions by Na-P1 zeolite obtained from fly ash. Process Saf. Environ. Prot. 2017, 109, 214–223. [Google Scholar] [CrossRef]
- Szala, B.; Bajda, T.; Matusik, J.; Zięba, K.; Kijak, B. BTX sorption on Na-P1 organo-zeolite as a process controlled by the amount of adsorbed HDTMA. Microporous Mesoporous Mater. 2015, 202, 115–123. [Google Scholar] [CrossRef]
- Dong, Y.; Wu, D.; Chen, X.; Lin, Y. Adsorption of bisphenol A from water by surfactant-modified zeolite. J. Colloid Interface Sci. 2010, 348, 585–590. [Google Scholar] [CrossRef]
- Wolowiec, M.; Muir, B.; Zieba, K.; Bajda, T.; Kowalic, M.; Franus, W. Experimental Study on the Removal of VOCs and PAHs by Zeolites and Surfactant-Modified Zeolites. Energy Fuel. 2017, 31, 8803–8812. [Google Scholar] [CrossRef]
- Barreca, S.; Orecchio, S.; Pace, A. The effect of montmorillonite clay in alginate gel beads for polychlorinated biphenyl adsorption: Isothermal and kinetic studies. Appl. Clay Sci. 2014, 99, 220–228. [Google Scholar] [CrossRef]
- Franus, W.; Wdowin, M.; Franus, M. Synthesis and characterization of zeolites prepared from industrial fly ash. Environ. Monit. Assess. 2014, 186, 5721–5729. [Google Scholar] [CrossRef] [PubMed]
- Wang, P.; Du, M.; Zhu, H.; Bao, S.; Yang, T.; Zou, M. Structure regulation of silica nanotubes and their adsorption behaviors for heavy metal ions: pH effect, kinetics, isotherms and mechanism. J. Hazard. Mater. 2015, 286, 533–544. [Google Scholar] [CrossRef]
- Li, C.; Zhang, L.; Xia, H.; Peng, J.; Zhang, S.; Cheng, S.; Shu, J. Kinetics and isotherms studies for congo red adsorption on mesoporous Eupatorium adenophorum-based activated carbon via microwave-induced H3PO4 activation. J. Mol. Liq. 2016, 224, 737–744. [Google Scholar] [CrossRef]
- Bhagya, N.P.; Prashanth, P.A.; Raveendra, R.S.; Sathyanarayani, S.; Ananda, S.; Nagabhushana, B.M.; Nagabhushana, H. Adsorption of hazardous cationic dye onto the combustion derived SrTiO3 nanoparticles: Kinetic and isotherm studies. J. Asian Ceram. Soc. 2016, 4, 68–74. [Google Scholar] [CrossRef]
- Shin, H.S.; Kim, J.H. Isotherm, kinetic and thermodynamic characteristics of adsorption of paclitaxel onto Diaion HP-20. Process Biochem. 2015, 51, 917–924. [Google Scholar] [CrossRef]
- Tseng, R.-L.; Wu, K.-T.; Wu, F.-C.; Juang, R.-S. Kinetic studies on the adsorption of phenol, 4-chlorophenol, and 2,4-dichlorophenol from water using activated carbons. J. Environ. Manag. 2010, 91, 2208–2214. [Google Scholar] [CrossRef]
- Senturk, H.B.; Ozdes, D.; Gundogdu, A.; Duran, C.; Soylak, M. Removal of phenol from aqueous solutions by adsorption onto organomodified Tirebolu bentonite: Equilibrium, kinetic and thermodynamic study. J. Hazard. Mater. 2009, 172, 353–362. [Google Scholar] [CrossRef]
- Bahdod, A.; El Asri, S.; Saoiabi, A.; Coradin, T.; Laghzizil, A. Adsorption of phenol from an aqueous solution by selected apatite adsorbents: Kinetic process and impact of the surface properties. Water Res. 2009, 43, 313–318. [Google Scholar] [CrossRef]
- Inyang, H.I.; Onwawoma, A.; Bae, S. The Elovich equation as a predictor of lead and cadmium sorption rates on contaminant barrier minerals. Soil Tillage Res. 2016, 155, 124–132. [Google Scholar] [CrossRef]
- Dursun, A.Y.; Kalayci, C.S. Equilibrium, kinetic and thermodynamic studies on the adsorption of phenol onto chitin. J. Hazard. Mater. 2005, 123, 151–157. [Google Scholar] [CrossRef] [PubMed]
- Mozgawa, W.; Bajda, T. Spectroscopic study of heavy metals sorption on clinoptilolite. Phys. Chem. Miner 2005, 31, 706–713. [Google Scholar] [CrossRef]
- Mozgawa, W.; Bajda, T. Application of vibrational spectra in the studies of cation sorption on zeolites. J. Mol. Struct. 2006, 792, 170–175. [Google Scholar] [CrossRef]
- Marakatti, V.S.; Rao, P.V.C.; Choudary, N.V.; Ganesh, G.S.; Shah, G.; Maradur, S.P.; Halgeri, A.B.; Shanbhag, G.F.; Ravishankar, R. Influence of Alkaline Earth Cation Exchanged X-Zeolites Towards Ortho-Selectivity in Alkylation of Aromatics: Hard-Soft-Acid-Base Concept. Adv. Porous Mater. 2014, 2, 1–9. [Google Scholar] [CrossRef]
- Ge, M.; Wang, X.; Du, M.; Liang, G.; Hu, G.; Alam, J.S.M. Adsorption Analyses of Phenol from Aqueous Solutions Using Magadiite Modified with Organo-Functional Groups: Kinetic and Equilibrium Studies. Materials 2019, 12, 96. [Google Scholar] [CrossRef]
- Abdelwahab, O.; Amin, N.K. Adsorption of phenol from aqueous solutions by Luffa cylindrica fibers: Kinetics, isotherm and thermodynamic studies. Egypt. J. Aquat. Res. 2013, 39, 215–223. [Google Scholar] [CrossRef]
- Yousef, R.I.; El-Eswed, B.; Al-Muhtaseb, A.H. Adsorption characteristics of natural zeolites as solid adsorbents for phenol removal from aqueous solutions: Kinetics, mechanism, and thermodynamics studies. Chem. Eng. J. 2011, 171, 1143–1149. [Google Scholar] [CrossRef]
- Cañizares, P.; Carmona, M.; Baraza, O.; Delgado, A.; Rodrigo, M.A. Adsorption equilibrium of phenol onto chemically modified activated carbon F400. J. Hazard. Mater. 2006, 131, 243–248. [Google Scholar] [CrossRef]
- Cho, D.-W.; Jeon, B.-H.; Chon, C.-M.; Kim, Y.; Schwartz, F.W.; Lee, E.-S.; Song, H. A novel chitosan/clay/magnetite composite for adsorption of Cu(II) and As(V). Chem. Eng. J. 2012, 200–202, 654–662. [Google Scholar] [CrossRef]
- Wan Ngah, W.S.; Teong, L.C.; Toh, R.H.; Hanafiah, M.A.K.M. Utilization of chitosan–zeolite composite in the removal of Cu(II) from aqueous solution: Adsorption, desorption and fixed bed column studies. Chem. Eng. J. 2012, 209, 46–53. [Google Scholar] [CrossRef]
- Chaouati, N.; Soualah, A.; Chater, M. Adsorption of phenol from aqueous solution onto zeolites y modified by silylation. Comptes. Rendus. Chim. 2013, 16, 222–228. [Google Scholar] [CrossRef]
- Li, J.-M.; Meng, X.-G.; Hu, C.-W.; Du, J. Adsorption of phenol, p-chlorophenol and p-nitrophenol onto functional chitosan. Bioresour. Technol. 2009, 100, 1168–1173. [Google Scholar] [CrossRef] [PubMed]
- Soni, U.; Bajpai, J.; Singh, S.K.; Bajpai, A.K. Evaluation of chitosan-carbon based biocomposite for efficient removal of phenols from aqueous solutions. J. Water Process. Eng. 2017, 16, 56–63. [Google Scholar] [CrossRef]
- Alkaram, U.F.; Mukhlis, A.A.; Al-Dujaili, A.H. The removal of phenol from aqueous solutions by adsorption using surfactant-modified bentonite and kaolinite. J. Hazard. Mater. 2009, 169, 324–332. [Google Scholar] [CrossRef]
- Wang, G.; Zhang, S.; Hua, Y.; Su, X.; Ma, S.; Wang, J.; Tao, Q.; Wang, Y.; Komarneni, S. Phenol and/or Zn2+ adsorption by single- or dual-cation organomontmorillonites. Appl. Clay. Sci. 2017, 140, 1–9. [Google Scholar] [CrossRef]
- Lalhmunsiama; Lee, S.M.; Choi, S.S.; Tiwari, D. Simultaneous removal of Hg(II) and phenol using functionalized activated carbon derived from Areca nut waste. Metals 2017, 7, 248. [Google Scholar] [CrossRef]
- Zeng, G.; Zhang, C.; Huang, G.; Yu, J.; Wang, Q.; Li, J.; Xi, B.; Liu, H. Adsorption behavior of bisphenol A on sediments in Xiangjiang River, Central-south China. Chemosphere 2006, 65, 1440–1499. [Google Scholar] [CrossRef]
- Horsfall, M.; Spiff, A.I. Effects of temperature on the sorption of Pb2+ and Cd2+ from aqueous solution by Caladium bicolor (Wild Cocoyam) biomass. Electron. J. Biotechnol. 2005, 8, 162–169. [Google Scholar] [CrossRef]
- Kamaraj, R.; Pandiarajan, A.; Jayakiruba, S.; Naushad, M.; Vasudevan, S. Kinetics, thermodynamics and isotherm modeling for removal of nitrate from liquids by facile one-pot electrosynthesized nano zinc hydroxide. J. Mol. Liq. 2016, 215, 204–211. [Google Scholar] [CrossRef]
- Gonte, R.; Balasubramanian, K. Heavy and toxic metal uptake by mesoporous hypercrosslinked SMA beads: Isotherms and kinetics. J. Saudi Chem. Soc. 2013, 20, 579–590. [Google Scholar] [CrossRef]
- Günay, A.; Arslankaya, E.; Tosun, I. Lead removal from aqueous solution by natural and pretreated clinoptilolite: Adsorption equilibrium and kinetics. J. Hazard. Mater. 2007, 14, 6362–6371. [Google Scholar] [CrossRef] [PubMed]
- Mishra, P.C.; Patel, R.K. Removal of lead and zinc ions from water by low cost adsorbents. J. Hazard. Mater. 2009, 168, 319–325. [Google Scholar] [CrossRef] [PubMed]
- Can, N.; Ömür, B.C.; Altındal, A. Modeling of heavy metal ion adsorption isotherms onto metallophthalocyanine film. Sens. Actuators B Chem. 2016, 237, 953–961. [Google Scholar] [CrossRef]
- Alshameri, A.; Yan, C.; Al-Ani, Y.; Dawood, A.S.; Ibrahim, A.; Zhou, C.; Wang, H. An investigation into the adsorption removal of ammonium by salt activated Chinese (Hulaodu) natural zeolite: Kinetics, isotherms, and thermodynamics. J. Taiwan Inst. Chem. Eng. 2014, 45, 554–564. [Google Scholar] [CrossRef]
- Afroze, S.; Sen, T.K.; Ang, H.M. Adsorption removal of zinc (II) from aqueous phase by raw and base modified Eucalyptus sheathiana bark: Kinetics, mechanism and equilibrium study. Process Saf. Environ. Prot. 2016, 102, 336–352. [Google Scholar] [CrossRef]
- Madan, S.S.; Upwanshi, W.A.; Wasewar, K.L. Adsorption of α-toluic acid by calcium peroxide nanoparticles. Desalin. Water Treat. 2016, 57, 16507–16513. [Google Scholar] [CrossRef]
- Noroozifar, M.; Khorasani-Motlagh, M.; Naderpour, H. Modified nanocrystalline natural zeolite for adsorption of arsenate from wastewater: Isotherm and kinetic studies. Microporous Mesoporous Mater. 2014, 197, 101–108. [Google Scholar] [CrossRef]
- Banat, F.; Al-Asheh, S.; Abu-Aitah, L. Competitive adsorption of phenol, copper ions and nickel ions onto heat-treated bentonite. Adsorpt. Sci. Technol. 2002, 20, 107–117. [Google Scholar]
- Smart, D.; Curtin, T.; O’Dwyer, T.F. Influence of cation-exchanged copper on the adsorption of phenol onto zeolite Beta. Adsorpt. Sci. Technol. 2014, 32(8), 635–646. [Google Scholar] [CrossRef]
- Shah, B.A.; Mistry, C.B. Solid phase extraction of phenol on zeolitic material: Batch sorption and column dynamics. Sep. Sci. Technol. 2013, 48, 1717–1728. [Google Scholar] [CrossRef]














| Sorbent | SBET (m2/g) | Vt (cm3/g) | Dp (Å) |
|---|---|---|---|
| NaP1 | 98.5 | 0.302 | 113.8 |
| NaP1CS | 53.5 | 0.134 | 111.7 |
| NaP1 * | 71.7 | 0.139 | 87.3 |
| NaP1CS * | 56.0 | 0.123 | 95.94 |
| Materials | qm (mg/g) | Reference |
|---|---|---|
| Zeolite Y and zeolite Y modified by sylilation | 4.24–24.5 | [52] |
| Zeolite X, activated carbon, zeolite X/activated carbon composite | 1.4–13.9 | [9] |
| Apatite adsorbents | 2–8 | [40] |
| Chitosan and chitosan modified by salicylaldehyde and b-cyclodextrin | 1–2.5 | [53] |
| Chitosan-carbon nanocomposite | 33.6 | [54] |
| Bentonite | 8.43 | [55] |
| Kaolin | 2.35 | [55] |
| NaP1 and NaP1CS | 4.5–5.0 | This study |
| Isotherm | Parameters | 293 (K) | 313 (K) | 333 (K) |
|---|---|---|---|---|
| NaP1 | ||||
| Langmuir | KL (L/mg) | 0.456 | 0.283 | 0.145 |
| RL | 0.263 | 0.365 | 0.528 | |
| qe (mg/g) | 62.45 | 62.17 | 64.19 | |
| R2 | 0.984 | 0.973 | 0.886 | |
| Freundlich | n | 2.027 | 1.652 | 1.153 |
| KF (mg/g(L/mg)1/n) | 15.04 | 12.48 | 9.79 | |
| R2 | 0.808 | 0.796 | 0.881 | |
| Temkin | A (L/g) | 20.89 | 0.47 | 4.49 |
| B (J/mol) | 8.53 | 8.58 | 11.66 | |
| R2 | 0.931 | 0.937 | 0.945 | |
| Dubinin-Radushkievich | Xm (mg/g) | 239.1 | 131.2 | 43.2 |
| E (kJ/mol) | 11.7 | 10.3 | 8.7 | |
| R2 | 0.828 | 0.830 | 0.900 | |
| NaP1CS | ||||
| Langmuir | KL (L/mg) | 0.160 | 0.152 | 0.166 |
| RL | 0.504 | 0.516 | 0.495 | |
| qe (mg/g) | 35.35 | 37.76 | 37.60 | |
| R2 | 0.976 | 0.974 | 0.988 | |
| Freundlich | n | 3.103 | 2.703 | 2.293 |
| KF (mg/g(L/mg)1/n) | 7.59 | 7.01 | 6.56 | |
| R2 | 0.871 | 0.793 | 0.734 | |
| Temkin | kT (L/g) | 38.42 | 15.03 | 9.92 |
| B (J/mol) | 3.52 | 4.44 | 4.84 | |
| R2 | 0.949 | 0.929 | 0.919 | |
| Dubinin-Radushkievich | Xm (mg/g) | 1043.3 | 766.5 | 540.2 |
| E (kJ/mol) | 13.9 | 12.6 | 11.5 | |
| R2 | 0.893 | 0.827 | 0.779 | |
| Isotherm | Parameters | 293 (K) | 313 (K) | 333 (K) |
|---|---|---|---|---|
| NaP1 | ||||
| Langmuir | KL (L/mg) | 0.002 | 0.001 | 1.510 |
| RL | 0.980 | 0.983 | 0.051 | |
| qe (mg/g) | 8.40 | 6.60 | 4.60 | |
| R2 | 0.629 | 0.626 | 0.999 | |
| Freundlich | n | 0.780 | 0.844 | 7.169 |
| KF (mg/g(L/mg)1/n) | 228.81 | 145.46 | 2.22 | |
| R2 | 0.966 | 0.903 | 0.927 | |
| Temkin | A (L/g) | 22.832 | 20.535 | 93.076 |
| B (J/mol) | 2.17 | 1.87 | 0.47 | |
| R2 | 0.683 | 0.805 | 0.951 | |
| Dubinin-Radushkievich | Xm (mg/g) | 806.5 | 1119.1 | 1014.5 |
| E (kJ/mol) | 5.8 | 6.1 | 18.6 | |
| R2 | 0.945 | 0.872 | 0.952 | |
| NaP1CS | ||||
| Langmuir | KL (L/mg) | 0.012 | 0.020 | 0.004 |
| RL | 0.868 | 0.804 | 0.953 | |
| qe (mg/g) | 14.00 | 26.00 | 4.20 | |
| R2 | 0.700 | 0.848 | 0.505 | |
| Freundlich | n | 0.560 | 2.983 | 0.821 |
| KF (mg/g(L/mg)1/n) | 1204.32 | 2.67 | 252.05 | |
| R2 | 0.889 | 0.939 | 0.951 | |
| Temkin | kT (L/g) | 19.574 | 1.720 | 20.485 |
| B (J/mol) | 4.02 | 2.54 | 1.36 | |
| R2 | 0.900 | 0.937 | 0.855 | |
| Dubinin-Radushkievich | Xm (mg/g) | 85.2 | 2146.7 | 1194.1 |
| E (kJ/mol) | 4.9 | 7.9 | 5.8 | |
| R2 | 0.900 | 0.938 | 0.962 | |
| Kinetics Model | C0 | 25 mg/L | 50 mg/L | 75 mg/L | 100 mg/L |
|---|---|---|---|---|---|
| NaP1 | |||||
| PFO | k1 (1/min) | 0.011 | 0.011 | 0.011 | 0.010 |
| qe (mg/g) | 3.95 | 8.63 | 12.76 | 16.35 | |
| R2 | 0.656 | 0.728 | 0.705 | 0.716 | |
| PSO | k2 (g/mg h) | 7.479 | 7.524 | 6.869 | 4.866 |
| qe (mg/g) | 3.95 | 8.63 | 12.76 | 16.35 | |
| R2 | 1.00 | 1.00 | 1.00 | 1.00 | |
| IPD | ki1 (mg/g min1/2) | 0.007 | 0.007 | 0.013 | 0.003 |
| ki2 (mg/g min1/2) | 0.001 | 0.002 | 0.001 | 0.003 | |
| ki3 (mg/g min1/2) | 0.00004 | 0.00010 | 0.0006 | 0.00013 | |
| C1 (mg/g) | 3.920 | 8.592 | 12.74 | 16.31 | |
| C2 (mg/g) | 3.939 | 8.611 | 12.75 | 16.32 | |
| C3 (mg/g) | 3.951 | 8.625 | 12.76 | 16.34 | |
| R21 | 0.9183 | 0.9189 | 0.9627 | 1.00 | |
| R22 | 0.6478 | 0.7993 | 0.8176 | 0.5984 | |
| R23 | 0.7243 | 0.7251 | 0.9871 | 0.7552 | |
| Elovich | R2 | 0.814 | 0.765 | 0.825 | 0.804 |
| NaP1CS | |||||
| PFO | k1 (1/min) | 0.007 | 0.017 | 0.016 | 0.016 |
| qe (mg/g) | 3.94 | 8.61 | 2.58 | 15.88 | |
| R2 | 0.550 | 0.652 | 0.865 | 0.994 | |
| PSO | k2 (g/mg h) | 1.205 | 0.395 | 0.089 | 0.032 |
| qe (mg/g) | 3.94 | 8.61 | 12.58 | 15.88 | |
| R2 | 1.00 | 1.00 | 1.00 | 0.999 | |
| ki1 (mg/g min1/2) | 18.73 | 29.24 | 14.07 | 8.159 | |
| IPD | ki2 (mg/g min1/2) | 0.036 | 0.215 | 0.649 | 0.709 |
| ki3 (mg/g min1/2) | 0.002 | 0.112 | 0.095 | 0.287 | |
| C1 (mg/g) | 0.001 | 0.001 | 0.002 | 0.027 | |
| C2 (mg/g) | 3.810 | 7.37 | 9.54 | 11.72 | |
| C3 (mg/g) | 3.898 | 7.97 | 11.54 | 12.55 | |
| R21 | 3.921 | 8.57 | 12.49 | 15.04 | |
| R22 | 0.946 | 1.00 | 0.875 | 1.00 | |
| R23 | 0.715 | 0.647 | 0.784 | 0.942 | |
| k1 (1/min) | 0.706 | 0.921 | 0.992 | 0.681 | |
| Elovich | R2 | 0.821 | 0.722 | 0.858 | 0.953 |
| Kinetics Model | C0 | 25 mg/L | 50 mg/L | 75 mg/L | 100 mg/L |
|---|---|---|---|---|---|
| NaP1 | |||||
| PFO | k1 (1/min) | 0.006 | 0.003 | 0.005 | 0.010 |
| qe (mg/g) | 0.34 | 0.50 | 1.16 | 1.32 | |
| R2 | 0.571 | 0.918 | 0.384 | 0.577 | |
| PSO | k2 (g/mg h) | 0.348 | 0.130 | 0.088 | 0.238 |
| qe (mg/g) | 0.34 | 0.50 | 1.16 | 1.32 | |
| R2 | 0.999 | 0.998 | 0.999 | 0.999 | |
| IPD | ki1 (mg/g min1/2) | 0.083 | 0.027 | 0.443 | 0.219 |
| ki2 (mg/g min1/2) | 0.005 | 0.006 | 0.007 | 0.054 | |
| ki3 (mg/g min1/2) | 0.001 | 0.005 | 0.006 | 0.001 | |
| C1 (mg/g) | 0.027 | 0.273 | 0.163 | 0.581 | |
| C2 (mg/g) | 0.2423 | 0.321 | 0.948 | 0.895 | |
| C3 (mg/g) | 0.2981 | 0.342 | 0.979 | 1.262 | |
| R21 | 0.949 | 1.00 | 0.897 | 1.00 | |
| R22 | 0.904 | 0.884 | 0.871 | 0.707 | |
| R23 | 0.549 | 0.884 | 0.979 | 0.923 | |
| Elovich | R2 | 0.845 | 0.901 | 0.623 | 0.820 |
| NaP1CS | |||||
| PFO | k1 (1/min) | 0.002 | 0.006 | 0.002 | 0.007 |
| qe (mg/g) | 0.56 | 0.80 | 1.32 | 1.32 | |
| R2 | 0.678 | 0.740 | 0.564 | 0.853 | |
| PSO | k2 (g/mg h) | 0.037 | 0.065 | 0.030 | 0.078 |
| qe (mg/g) | 0.56 | 0.80 | 1.32 | 1.32 | |
| R2 | 0.974 | 0.997 | 0.995 | 0.999 | |
| IPD | ki1 (mg/g min1/2) | 0.025 | 0.029 | 0.298 | 0.055 |
| ki2 (mg/g min1/2) | 0.005 | 0.037 | 0.012 | 0.031 | |
| ki3 (mg/g min1/2) | 0.010 | 0.006 | 0.014 | 0.008 | |
| C1 (mg/g) | 0.191 | 0.286 | 0.959 | 1.00 | |
| C2 (mg/g) | 0.264 | 0.287 | 0.938 | 0.869 | |
| C3 (mg/g) | 0.177 | 0.569 | 0.990 | 0.965 | |
| R21 | 0.805 | 0.766 | 0.959 | 1.00 | |
| R22 | 0.830 | 0.901 | 0.938 | 0.869 | |
| R23 | 0.996 | 0.997 | 0.990 | 0.965 | |
| Elovich | R2 | 0.787 | 0.845 | 0.954 | 0.962 |
| Thermodynamic Parameter | ΔH (kJ/mol) | ΔS (J/K mol) | ΔG (kJ/mol) | ||
|---|---|---|---|---|---|
| 293/ K | 313/ K | 333/ K | |||
| NaP1 | |||||
| Cu(II) | 6.06 | 24.8 | −18.19 | −19.32 | −21.52 |
| Phenol | −13.08 | −76.6 | −7.40 | –7.22 | −6.61 |
| NaP1CS | |||||
| Cu(II) | 2.69 | −3.7 | −12.98 | −14.23 | −15.12 |
| Phenol | −26.67 | 114.3 | −8.82 | −11.48 | −6.21 |
© 2020 by the authors. Licensee MDPI, Basel, Switzerland. This article is an open access article distributed under the terms and conditions of the Creative Commons Attribution (CC BY) license (http://creativecommons.org/licenses/by/4.0/).
Share and Cite
Bandura, L.; Franus, M.; Madej, J.; Kołodyńska, D.; Hubicki, Z. Zeolites in Phenol Removal in the Presence of Cu(II) Ions—Comparison of Sorption Properties after Chitosan Modification. Materials 2020, 13, 643. https://doi.org/10.3390/ma13030643
Bandura L, Franus M, Madej J, Kołodyńska D, Hubicki Z. Zeolites in Phenol Removal in the Presence of Cu(II) Ions—Comparison of Sorption Properties after Chitosan Modification. Materials. 2020; 13(3):643. https://doi.org/10.3390/ma13030643
Chicago/Turabian StyleBandura, Lidia, Małgorzata Franus, Jarosław Madej, Dorota Kołodyńska, and Zbigniew Hubicki. 2020. "Zeolites in Phenol Removal in the Presence of Cu(II) Ions—Comparison of Sorption Properties after Chitosan Modification" Materials 13, no. 3: 643. https://doi.org/10.3390/ma13030643
APA StyleBandura, L., Franus, M., Madej, J., Kołodyńska, D., & Hubicki, Z. (2020). Zeolites in Phenol Removal in the Presence of Cu(II) Ions—Comparison of Sorption Properties after Chitosan Modification. Materials, 13(3), 643. https://doi.org/10.3390/ma13030643

