Next Article in Journal
Mechanical Properties of Chopped Basalt Fiber-Reinforced Lightweight Aggregate Concrete and Chopped Polyacrylonitrile Fiber Reinforced Lightweight Aggregate Concrete
Next Article in Special Issue
Stimuli-Responsive Rifampicin-Based Macromolecules
Previous Article in Journal
Characterization of Newly Developed Zinc Composite with the Content of 8 wt.% of Hydroxyapatite Particles Processed by Extrusion
Previous Article in Special Issue
Surface Modifications of Poly(Ether Ether Ketone) via Polymerization Methods—Current Status and Future Prospects
 
 
Font Type:
Arial Georgia Verdana
Font Size:
Aa Aa Aa
Line Spacing:
Column Width:
Background:
Review

Low Ppm Atom Transfer Radical Polymerization in (Mini)Emulsion Systems

by
Karolina Surmacz
1 and
Paweł Chmielarz
2,*
1
Doctoral School of Engineering and Technical Sciences at the Rzeszow University of Technology, Al. Powstańców Warszawy 8, 35-959 Rzeszów, Poland
2
Department of Physical Chemistry, Faculty of Chemistry, Rzeszow University of Technology, Al. Powstańców Warszawy 6, 35-959 Rzeszów, Poland
*
Author to whom correspondence should be addressed.
Materials 2020, 13(7), 1717; https://doi.org/10.3390/ma13071717
Submission received: 9 March 2020 / Revised: 28 March 2020 / Accepted: 3 April 2020 / Published: 6 April 2020

Abstract

In the last decade, unceasing interest in atom transfer radical polymerization (ATRP) has been noted, especially in aqueous dispersion systems. Emulsion or miniemulsion is a preferred environment for industrial polymerization due to easier heat dissipation and lower production costs associated with the use of water as a dispersant. The main purpose of this review is to summarize ATRP methods used in emulsion media with different variants of initiating systems. A comparison of a dual over single catalytic approache by interfacial and ion pair catalysis is presented. In addition, future development directions for these methods are suggested for better use in biomedical and electronics industries.

1. Introduction

Nowadays, atom transfer radical polymerization (ATRP) is one of the most certain and versatile route for preparing well-defined polymers with precise topology and architecture [1,2,3,4,5]. Initially, copper(I) or other transition-metals (e.g., ruthenium [6], iron [7]) were employed in the catalyst system as mediators of reversible activation/deactivation between the dormant species and propagating radicals, assuring control over the polymerization process [8,9,10,11]. One of the main disadvantages of these methods was the necessity for high catalyst concentrations loading, which was improved by the addition of an additional redox cycle, thus decreasing the catalyst concentration to a “low ppm” level [12,13,14,15]. The development of “low ppm” ATRP techniques [16] comprise an activator regeneration by electron transfer (ARGET) ATRP [17,18,19,20], initiator for continuous activator regeneration (ICAR) ATRP [21,22,23,24], supplemental activators and reducing agents (SARA) ATRP [25,26,27,28,29], and external stimuli induced approaches—mechanically induced ATRP (mechano-ATRP) [30,31], photoinitiated ATRP (photo-ATRP) [32,33,34,35], electrochemically mediated ATRP (eATRP) [36,37,38,39,40,41,42], ultrasonication-induced ATRP (sono-ATRP) [5,43] and metal-free ATRP [44,45,46] (Scheme 1).
ATRP techniques in dispersed media are especially beneficial for obtaining multifunctional polymers with narrow molecular weight distribution (MWD, Mw/Mn, Đ) and a predetermined molecular weight (MW), as segregation and compartmentalization decrease the rate of termination processes [47,48,49]. Polymerizations could be carried out in various media, including homogeneous systems (bulk or solution) or biphasic heterogeneous systems (suspension, emulsion, miniemulsion) [50]. The biphasic heterogeneous systems contain a mixture of two immiscible liquids [51]. The industrial polymerizations are mainly carried out in a normal oil-in-water (O/W) system or an inverse water-in-oil (W/O) system [52,53]. Various polymer structures, including block [27,54], star [55,56,57] and brush [58,59,60], were synthesized in water-dispersed media (microemulsion [61,62,63], miniemulsion [64,65,66], and emulsion [67,68,69,70]). Emulsion and miniemulsion methods belong to a heterogeneous environment with water as a main dispersing medium for polymerization of insoluble or low-soluble monomers to receive dispersed nanoparticles [71]. Water, as a continuous phase, enables excellent heat transfer, ensures lower viscosity during polymerization, and makes these techniques eco-friendly [71]. Furthermore, droplets in emulsion act as tiny reactors that limit the amount of reactive monomer necessary to form the particle. The use of water ensures the synthesis of hydrophobic polymers at a low cost [38,72,73].
Miniemulsion and emulsion polymerizations generally produce polymer latexes in a size range of 50–500 nm [34]. Considering miniemulsion nanoparticles, surfactant and ultrasonic homogenization are used to break down the monomer droplets to reach a metastable heterogeneous state and reduce Ostwald ripening (transfer of monomer from small to large droplets aims to reduce total surface energy of the system) [74]. Although the miniemulsion has many similarities to emulsion polymerization, their distinct features concern particle nucleation and mass transportation. Miniemulsion micelles are not present in micron sizes [75], because after sonication the system contains only droplets of submicron monomer with relative stability [74]. Before sonication, oil-soluble initiators are mixed with monomers so that the submicron droplets encapsulate all necessary reactants (without dilution effect) followed by initiation and polymerization without any mass transfer through a continuous media. This feature provides unique advantages of miniemulsion, such as constant (or insignificantly changed) viscosity during synthesis and easier removal of the resulting product. However, generating stable miniemulsion droplets requires high energy input during the sonication process, limiting its broad application in many scale-up productions in the industry [74]. The miniemulsion polymerization is a versatile technique for the formation of a broad range of structured materials as linear or branched polymers with predetermined molecular weight and low dispersity [34,38,43].

2. Electrochemically Mediated Atom Transfer Radical Polymerization (eATRP)

An electrochemically mediated approach was successfully applied to mediate ATRP in dispersed media (miniemulsion) of n-butyl acrylate (nBA) [38,76]. In eATRP, reduction of X−CuII/L to CuI/L requires a cathodic current flowing from the metal working electrode (WE) and occurs at the electrode surface [37,77,78]. The rate and control over the polymerization are adjusted by the electrochemical parameters of the system, such as current intensity (Iapp) or applied potential (Eapp) [41,79,80]. The first concept involved the use of a dual catalytic system composed of two distinct copper catalysts, with a hydrophobic and hydrophilic characteristics, soluble in an organic and aqueous phase, respectively [1,50,76,81]. This system (CuII/Laq + CuII/Lorg) provided well-defined poly(n-butyl acrylate) by the eATRP approach. Electropolymerization under heterogeneous conditions is difficult because in (mini)emulsion the electrode and reagents are separated. The electrode is in contact with the continuous aqueous phase, whereas polymerization components (monomer, initiator and radicals) are dispersed in the organic phase [76]. Therefore, to initiate the polymerization an electrochemical stimulus must penetrate the aqueous phase and subsequently proceeds to the dispersed phase. Furthermore, miniemulsion eATRP comprises a challenge compared to other organic reactions, because radicals must be continuously activated/deactivated after the electrochemical stimulus reaches the organic phase (Scheme 2).
In this approach, CuII/Laq is reduced at the electrode–water interface. Then, the electrochemical stimulus is passed from the electrode through water to the monomer droplets mainly by CuI/Laq migration. The catalyst partition and interfacial dynamics constitute new significant parameters to regulate the process in miniemulsion eATRP [76].
As opposed to the initial concept, a single hydrophilic complex can also catalyze miniemulsion eATRP, if the cationic copper complex has strong interaction with an anionic surfactant. The catalyst/surfactant system produces ion pairs at the droplet surface to transport the catalyst into monomer droplets, thus enabling a controlled polymerization, enhanced by interfacial catalysis [82,83]. Different combinations of surfactant and hydrophilic Cu complexes were studied in the miniemulsion eATRP of n-butyl acrylate [38]. Table 1 shows the results of eATRP of nBA in miniemulsion with various surfactants and catalysts.
The application of an anionic surfactant revealed a specific interaction between X−CuIIL and sodium dodecyl sulfate (SDS), and favored polymerization in dispersed monomer droplets, without the necessity of using a dual catalyst (hydrophilic and hydrophobic) combination [65]. The strongly hydrophilic catalyst complex (copper(II) bromide/tris(2-pyridylmethyl)amide CuIIBr2/TPMA) effectively controlled a miniemulsion eATRP inside stabilized hydrophobic nBA droplets. In such a system, the ideal Cu catalyst should have (i) high activity, (ii) the ability to form ionic pairs with the anionic surfactant, and (iii) greater affinity for creating ion pairs in the oxidation state (CuII). Scheme 3 presents the proposed mechanism of eATRP in miniemulsion with the X-CuIITPMA/SDS catalytic system [76]. According to the interfacial catalysis, 95% of catalyst is placed on the interface of the hydrophobic monomer and water, only ≈1% is inside micelles in the form of ion-pairs, while the remaining 4% is in the aqueous phase. The transfer of atoms was carried out via interfacial catalysis (catalyst bound to the surface of droplets) as well as by ion-pair catalysis (ion pairs distributed in monomer droplets) [38].
The presence of non-ionic polyoxyethylene(20) oleyl ether (Brij-98) gave an uncontrolled polymerization with broad molecular weight distribution of final products, indicating an insufficient amount of deactivator in the hydrophobic droplets. Actually, eATRP with a single catalyst system (X−CuIITPMA/SDS) was much faster and was slightly better defined in terms of MW and MWD than eATRP with dual catalysis [38,76].

3. Activators Regenerated by Electron Transfer Atom Transfer Radical Polymerization (ARGET ATRP)

Initially, it was thought that the key to success in ARGET ATRP in aqueous dispersed systems is strongly dependent on the ligand, which must be both hydrophobic and highly active [84]. Hydrophobicity prevents the catalyst from diffusing to the aqueous phase [84], while high activity, or KATRP value, affords well-controlled polymerizations at low catalyst concentration [85]. The breakthrough in the field of ARGET ATRP in aqueous dispersed media was the design and synthesis of bis[2-(4-methoxy-3,5-dimethyl)pyridylmethyl]octadecylamine (BPMODA*) as a highly active ligand. The modification of previously used bis(2-pyridylmethyl)octadecylamine (BPMODA) [85] was achieved by the addition of electron-donating groups, which resulted in a ca. 100-fold increase in the KATRP value. Heterogeneous polymerizations carried out in the range of catalyst concentrations (2,000–250 ppm) with BPMODA* consistently resulted in increased control over synthesis, particularly during the initial stages of the process (low monomer conversion) [86]. The same research group investigated an application of a tetradentate hydrophobic ligand which was both hydrophobic (N′,N″-dioctadecyl-N′,N″-bis[2 (4-methoxy-3,5-dimethyl)pyridylmethyl] ethane-1,2-diamine (DOD-BPED*) also of a highly active nature. The CuIIBr2/DOD-BPED* catalytic system proved to be extremely useful in miniemulsion ARGET ATRP, maintaining control over the polymerization of n-butyl methacrylate (nBMA) at concentrations of catalyst as low as 50 ppm [87].
Inspired by the development of the novel catalytic system for eATRP and based on a strongly hydrophilic complex, X−CuIITPMA+ [76], the concept of ion-pair and interfacial catalysis in miniemulsion ARGET ATRP of different acrylate monomers, with ascorbic acid (AsAc) as the reducing agent, was exploited. Despite the insolubility of the catalytic complex in nBA, it enters hydrophobic droplets in combination with an anionic surfactant [16]. The interaction between the catalytic system and SDS formed inert ion pairs (X−CuIITPMA/SDS) which resided on the surface or inside monomer droplets. In this approach, the final product contained a negligible residue of copper, excluding the need for an additional purification. The hydrophilic complex (X−CuIITPMA+) migrated into the water phase while the miniemulsion was breaking up by dilution. The interfacial and ion-pair mechanism of polymerization, identical to miniemulsion eATRP, provided well-defined star and brush polymers, monomodal block copolymers (PnBMA-b-PnBA and PnBMA-b-PtBMA), and PnBMA with low dispersity (using only 50 ppm catalyst) [38] (Scheme 4).
Several anionic surfactants were evaluated to form ion-pair complexes: SDS, sodium dodecylbenzenesulfonate (SDBS), and sodium dodecanoate (SDA) [19]. This concept could be considered a paradigm shift for miniemulsion ATRP, which previously required very hydrophobic catalysts that were predominately confined to the organic phase [76,82,86,88].
Currently, the polymer industry is mainly focused on the development of green and sustainable technologies in various polymerization processes. To meet such requirements, our group described the concept of the naturally-derived triple-functional riboflavin-based macromolecule for an efficient ARGET ATRP of acrylate monomer in miniemulsion media in an air tolerant environment [66]. This results in the synthesis of polymer brushes with riboflavin core and PBA side chains characterized by narrow molecular weight distribution. All of the mentioned syntheses by ARGET ATRP approach are summarized in Table 2. The catalysis in miniemulsion ARGET ATRP is described by interfacial and ion-pair intermolecular and intramolecular mode interactions. The riboflavin-based molecule (Rib-Br2) with two modified hydroxyl groups in a ribitol tail is located on the surface of micelles (on the phase interface), mimicking a Pickering mechanism and enabling effective polymerization even with only 186 ppm (by weight) of copper catalyst. The functionalized riboflavin supramolecular structure plays three significant functions in preparation of polymers by miniemulsion ARGET ATRP methodology, acting as an initiator due to modified brominated tail of ribitol; a reducing agent due to the preservation of redox functionality of isoalloxazine ring; and an oxygen scavenger, enabling the reaction in air conditions (Scheme 5) [66].

4. Photoinduced Atom Transfer Radical Polymerization (photo-ATRP)

The implementation of photoinduced processes in aqueous dispersed can provide more ecological approaches to the preparation of polymers. This type of photopolymerization was successfully performed in miniemulsion [34] and emulsion [35] environments. The external regulation of polymerization eliminates additional chemical compounds to activate the reaction and provides an efficient temporal control [89,90,91]. Considering its high energy efficiency and possibilities for spatiotemporal control, the photoinduced ATRP is a suitable candidate for use in industrial production [92].
In miniemulsion and emulsionpolymerization, particle sizes are in the range of 50–500 nm [34], which is comparable to the light wavelength. The turbidity and opacity hampers the light penetration; therefore, the effects of light scattering and absorption in the polymerization should be considered (Scheme 6) [34]. The latest advances in photo-ATRP in miniemulsion and emulsion media achieved with UV or LED light are summarized in Table 3.
For a wavelength of 370 nm as a driving force in ATRP in miniemulsion media, a full range of different key parameters in the reaction including a vial size, CuIIBr2/TPMA ratio, amount of SDS, solids content, and concentration of the Cu catalyst were examined [34].
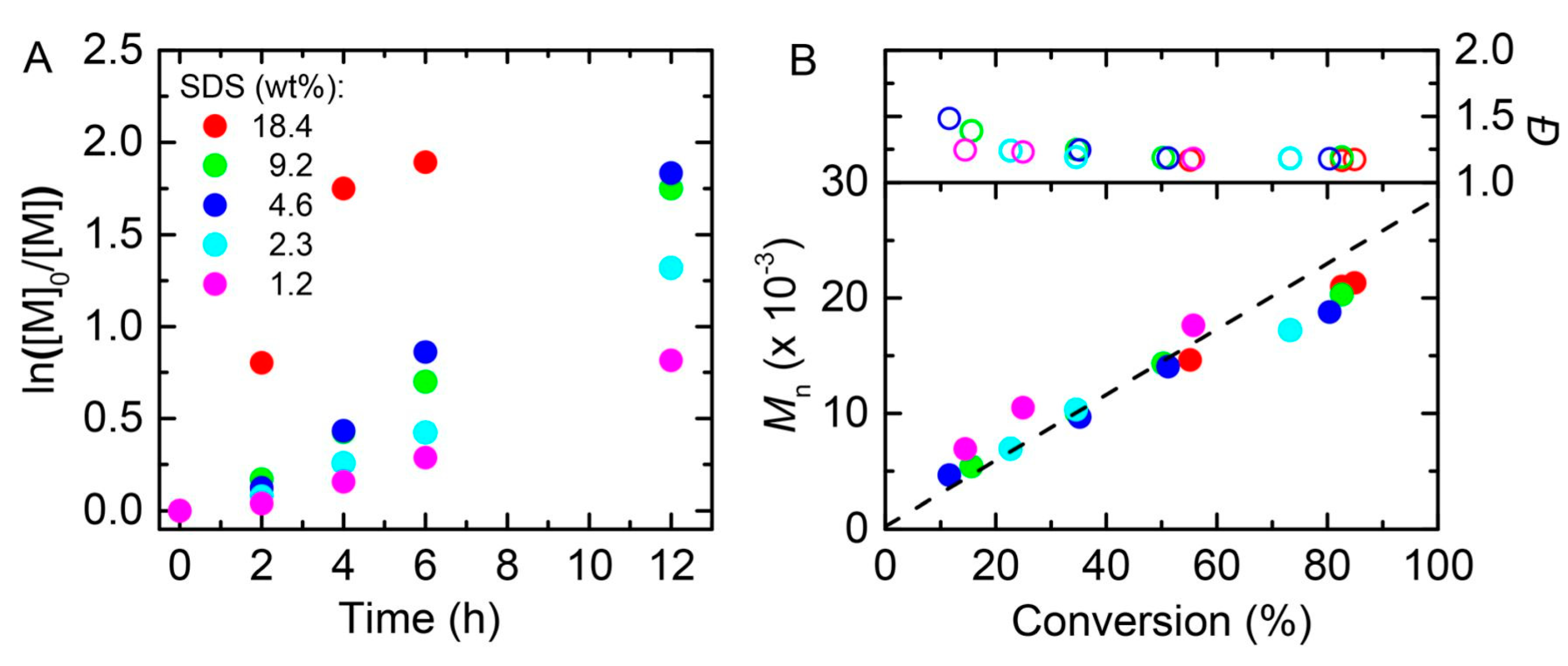
The ability of light to penetrate through the reaction medium is a factor that limits the speed of photochemical processes. Therefore, the most effective reaction takes place on the surface of the reaction vial where the light absorption is the highest. Another factor directly affecting the light absorption is the particle size. This parameter could be adjusted by varying the amount of SDS surfactant. Coagulation after polymerization was observed when the amount of SDS was 1.2 wt % to nBMA, whereas at higher SDS amounts, no coagulation occurred. A series of reactions were successfully performed using 4.6 wt % SDS to nBMA (Figure 1). Good control over the process was noticed even with a low catalyst loading (100 ppm). An excess of TPMA as an electron donor was used to photochemically (re)generate the Cu activator. Additionally, an auxiliary electrolyte as an ion carrier was applied [34].
The external regulation of the polymerization reaction was presented by switching the UV light on and off resulting in temporal control over the process. The versatility of this system was demonstrated by successful polymerization of nBMA and nBA from small-molecular initiators as well as a macroinitiator [34].
In comparison to the initial work in the field of photo-ATRP, Matyjaszewski et al. went a step further, using the system in ab initio emulsion with the generation of radicals in the aqueous phase, followed by nucleation of particles and stabilization by surfactant molecules [35]. The growing particles are continuously replenished by monomer molecules that diffuse through the aqueous phase from big monomer droplets. Therefore, after the initial nucleation stage, the polymerization proceeds inside the hydrophobic polymer particles [35]. The optimized photoinduced ATRP polymerization system in the emulsion with a low surfactant concentration and no co-surfactant is the preferable environment for industrial polymerizations.

5. Ultrasound-Mediated Atom Transfer Radical Polymerization (sono-ATRP)

Particular attention in the context of ATRP in dispersion systems is attracted by the recently published ultrasonication-mediated atom transfer radical polymerization (sono-ATRP) in a miniemulsion environment with a reduced concentration of a catalyst complex [43]. The ultrasonic-induced technique in dispersed media eliminates using an additional reducing agent. This technique was applied for the first time with the use of a strongly hydrophilic catalyst complex (CuIIBr2/TPMA) in the reaction setup. This composition was responsible for two crucial mechanisms—interfacial and ion-pair catalysis in accordance with single-catalyst mechanism (Scheme 7) [38,43].
Sono-ATRP provides polymerization of well-defined polymers with preservation of chain-end functionality and a narrow molecular weight distribution by using an external stimulus. Moreover, temporal control in miniemulsion sono-ATRP is also possible by turning on/off the ultrasonication without having an adverse influence on the precisely-defined, receiving polymers with low dispersity and preserved chain-end fidelity. Considering the “green chemistry” aspect, as well as the results of experiments and the simplicity of scaling reaction setup, this procedure constitutes a simple and eco-friendly approach to obtain functional polymeric materials [43]. Table 4 shows the synthesis results obtained by the sono-ATRP approach in minemulsion using different monomers and reaction initiators.
The application of anionic surfactant (SDS) with the presence of catalyst copper(II) bromide/tris(2-pyridylmethyl) amine provided a single catalyst system. The series of syntheses of PnBA and poly(methyl methacrylates) (PMMA) homopolymers and copolymers was successfully conducted, and products with narrow molecular weight distribution were obtained. The polymerization of PMMA initiated by ethyl α-bromophenylacetate (EBPA) gave polymers with wider distribution (Đ = 1.6) Although 100% conversion has not been achieved in any reaction, this method is promising for industrial applications due to its easy scalability and reduced amount of reagents. However, it requires further optimization to increase conversion and reduce the response time while maintaining well-defined final products. The ultrasonication-mediated system based on the ion-pair and interfacial catalysis without the application of additional reducing agent can be considered an interesting and promising possibility in the field of ATRP [43].

6. Conclusion and Future Prospective

Over the past decade there has been significant progress in ATRP techniques. The lower catalytic complex quantities in aqueous dispersed media wereaccomplished, especially beneficial in microelectronic and biomedical applications. These methods in water dispersed media were conducted using (ultra)low ppm catalyst loading: eATRP (321–1,000 ppm), ARGET ATRP (50–2,000 ppm), photo-ATRP (100–800 ppm) and sono-ATRP (585–717 ppm). All of the mentioned ATRP techniques enable the use of a low quantity of catalyst accompanied by a good control over the polymerization and the preparation of well-defined final products with a narrow molecular weight distribution. In this context, the proper development path will be the complete elimination of the catalytic complex from the reaction system. This type of concept was implemented in the metal-free approach according to the Pickering emulsion [46]; however, it is still a challenge in relation to miniemulsion approach with the elimination of additional reagents such as photoinitiator. It is worth emphasizing that using water as a polymerization media is useful only when products can be obtained which do not fall into the environmental contaminating classification. The (mini)emulsion ATRP with highly toxic components, such as the copper salts and ligands, has not been yet utilized by industry at all yet; therefore, the development of ATRP polymerization towards being metal-free and the replacement of toxic substances by bio-based multi-tasking compounds is very important. Appropriate development of polymerization in biphasic systems should focus on limiting the use of surfactants and co-surfactants, replacing them with multifunctional molecules, acting simultaneously as a monomer or an initiator of polymerization for either ligand of the catalytic complex. Polymerizations without additional reagents, such as reducing agent, initiator and catalytic complex, can be possible by using multi-tasking structures performing several functions at the same time. The excellent example of such a solution is riboflavin-based macromolecule, which has structural elements excited by energy quantum, allowing for successful metal-free polymerization [56]. The polymer materials obtained in this way can be used without hesitation as elements of microelectronics and in the field of biomedical and biotechnological applications, in particular for the needs of tissue engineering and for the production of medical implants.

Funding

This research received no external funding.

Acknowledgments

P.C. acknowledges the Minister of Science and Higher Education scholarship for outstanding young scientists (0001/E-363/STYP/13/2018).

Conflicts of Interest

The authors declare no conflict of interest.

Abbreviations (alphabetical order)

ARGET ATRPactivators regenerated by electron transfer atom transfer radical polymerization
AsAcascorbic acid
ATRPatom transfer radical polymerization
nBAn-butyl acrylate
nBMAn-butyl methacrylate
BPMEAN,N-bis(2-pyridylmethyl)-2-hydroxyethylamine
BPMODAbis(2-pyridylmethyl)octadecylamine
BPMODA*bis[2-(4-methoxy-3,5-dimethyl)pyridylmethyl]octadecylamine
BPY2,2′-bipyridine
Brij-98polyoxyethylene(20) oleyl ether
DOD-BPED*N,N-dioctadecyl-N,N-bis[2-(4-methoxy-3,5-dimethyl)pyridylmethyl]ethane-1,2-diamine
eATRPelectrochemically mediated atom transfer radical polymerization
EBiBethyl α-bromoisobutyrate
EBPAethyl α-bromophenylacetate
EMAethyl methacrylate
Epccathodic peak potential
ICAR ATRPinitiators for continuous activator regeneration atom transfer radical polymerization
LMAlauryl methacrylate
Me6TRENtris(2-(dimethylamino)ethyl)-amine
mechano-ATRPmechanically induced atom transfer radical polymerization
MMAmethyl methacrylate
MWDmolecular weight distribution
PnBApoly(n-butyl acrylate)
PnBMApoly(n-butyl methacrylate)
PtBMApoly(t-butyl methacrylate)
PEO2K-BiBpoly(ethlene glycol) 2-bromoisobutyrate
PEO2K-BPApoly(ethylene glycol) 2-bromophenylacetate
photo-ATRPphotoinduced atom transfer radical polymerization
PMMApoly(methyl methacrylate)
Rib-Br2brominated riboflavin
SARA ATRPsupplemental activator and reducing agent atom transfer radical polymerization
SDAsodium dodecanoate
SDBSsodium dodecylbenzenesulfonate
SDSsodium dodecyl sulfate
Sn(EH)2tin(II) 2-ethylhexanoate
sono-ATRPultrasound-mediated atom transfer radical polymerization
tBAtert-butyl acrylate
TEAtriethylamine
TPMAtris(2-pyridylmethyl)amine
TPMA*21-(4methoxy-3,5-dimethylpyridin-2-yl)-N-((4-methoxy-3,5-dimethylpyridin-2-yl)methyl)-N-(pyridin-2-ylmethyl)methanamine

References

  1. Min, K.; Matyjaszewski, K. Atom transfer radical polymerization in aqueous dispersed media. Cent. Eur. J. Chem. 2009, 7, 657–674. [Google Scholar] [CrossRef]
  2. Matyjaszewski, K.; Tsarevsky, N.V. Macromolecular engineering by atom transfer radical polymerization. J. Am. Chem. Soc. 2014, 136, 6513–6533. [Google Scholar] [CrossRef] [PubMed]
  3. Matyjaszewski, K. Advanced materials by atom transfer radical polymerization. Adv. Mater. 2018, 30, 1706441. [Google Scholar] [CrossRef] [PubMed]
  4. Zaborniak, I.; Chmielarz, P.; Matyjaszewski, K. Modification of wood-based materials by atom transfer radical polymerization methods. Eur. Polym. J. 2019, 120, 109253. [Google Scholar] [CrossRef]
  5. Zaborniak, I.; Chmielarz, P. Ultrasound-mediated atom transfer radical polymerization (ATRP). Materials 2019, 12, 3600. [Google Scholar] [CrossRef] [PubMed]
  6. Patten, T.E.; Matyjaszewski, K. Atom transfer radical polymerization and the synthesis of polymeric materials. Adv. Mater. 1998, 10, 901–915. [Google Scholar] [CrossRef]
  7. Matyjaszewski, K.; Wei, M.L.; Xia, J.H.; McDermott, N.E. Controlled/”living” radical polymerization of styrene and methyl methacrylate catalyzed by iron complexes. Macromolecules 1997, 30, 8161–8164. [Google Scholar] [CrossRef]
  8. Matyjaszewski, K.; Xia, J.H. Atom transfer radical polymerization. Chem. Rev. 2001, 101, 2921–2990. [Google Scholar] [CrossRef]
  9. Matyjaszewski, K. Atom transfer radical polymerization (ATRP): current status and future perspectives. Macromolecules 2012, 45, 4015–4039. [Google Scholar] [CrossRef]
  10. Park, S.; Chmielarz, P.; Gennaro, A.; Matyjaszewski, K. Simplified electrochemically mediated atom transfer radical polymerization using a sacrificial anode. Angew. Chem. Int. Ed. 2015, 54, 2388–2392. [Google Scholar] [CrossRef]
  11. Baker, S.L.; Kaupbayeva, B.; Lathwal, S.; Das, S.R.; Russell, A.J.; Matyjaszewski, K. Atom transfer radical polymerization for biorelated hybrid materials. Biomacromolecules 2019, 20, 4272–4298. [Google Scholar] [CrossRef] [PubMed]
  12. Chmielarz, P.; Park, S.; Sobkowiak, A.; Matyjaszewski, K. Synthesis of β-cyclodextrin-based star polymers via a simplified electrochemically mediated ATRP. Polymer 2016, 88, 36–42. [Google Scholar] [CrossRef]
  13. Chmielarz, P. Synthesis of α-D-glucose-based star polymers through simplified electrochemically mediated ATRP. Polymer 2016, 102, 192–198. [Google Scholar] [CrossRef]
  14. Chmielarz, P.; Sobkowiak, A. Ultralow ppm seATRP synthesis of PEO-b-PBA copolymers. J. Polym. Res. 2017, 24, 77. [Google Scholar] [CrossRef]
  15. Chmielarz, P. Synthesis of inositol-based star polymers through low ppm ATRP methods. Polym. Adv. Technol. 2017, 28, 1804–1812. [Google Scholar] [CrossRef]
  16. Wang, Z.Y.; Yan, J.J.; Liu, T.; Wei, Q.B.; Li, S.P.; Olszewski, M.; Wu, J.N.; Sobieski, J.L.; Fantin, M.; Bockstaller, M.R.; et al. Control of dispersity and grafting density of particle brushes by variation of ATRP catalyst concentration. ACS Macro Lett. 2019, 8, 859–864. [Google Scholar] [CrossRef]
  17. Jakubowski, W.; Matyjaszewski, K. Activators regenerated by electron transfer for atom-transfer radical polymerization of (meth) acrylates and related block copolymers. Angew. Chem. Int. Ed. 2006, 45, 4482–4486. [Google Scholar] [CrossRef]
  18. Król, P.; Chmielarz, P. Synthesis of PMMA-b-PU-b-PMMA tri-block copolymers through ARGET ATRP in the presence of air. Express Polym. Lett. 2013, 7, 249–260. [Google Scholar] [CrossRef]
  19. Wang, Y.; Lorandi, F.; Fantin, M.; Chmielarz, P.; Isse, A.A.; Gennaro, A.; Matyjaszewski, K. Miniemulsion ARGET ATRP via interfacial and ion-pair catalysis: from ppm to ppb of residual copper. Macromolecules 2017, 50, 8417–8425. [Google Scholar] [CrossRef]
  20. Zaborniak, I.; Chmielarz, P. Dually-functional riboflavin macromolecule as a supramolecular initiator and reducing agent in temporally-controlled low ppm ATRP. Express Polym. Lett. 2020, 14, 235–247. [Google Scholar] [CrossRef]
  21. Pintauer, T.; Matyjaszewski, K. Atom transfer radical addition and polymerization reactions catalyzed by ppm amounts of copper complexes. Chem. Soc. Rev. 2008, 37, 1087–1097. [Google Scholar] [CrossRef] [PubMed]
  22. Wang, G.; Schmitt, M.; Wang, Z.Y.; Lee, B.; Pan, X.C.; Fu, L.Y.; Yan, J.J.; Li, S.P.; Xie, G.J.; Bockstaller, M.R.; et al. Polymerization-induced self-assembly (PISA) using ICAR ATRP at low catalyst concentration. Macromolecules 2016, 49, 8605–8615. [Google Scholar] [CrossRef]
  23. Fierens, S.K.; Van Steenberge, P.H.M.; Reyniers, M.F.; Marin, G.B.; D’Hooge, D.R. How penultimate monomer unit effects and initiator influence ICAR ATRP of n-butyl acrylate and methyl methacrylate. AIChE J. 2017, 63, 4971–4986. [Google Scholar] [CrossRef]
  24. Wang, W.Q.; Julaiti, P.; Ye, G.; Huo, X.; Chen, J. Controlled architecture of macrocyclic ligand functionalized polymer brushes from glass fibers using surface-initiated ICAR ATRP technique for adsorptive separation of lithium isotopes. Chem. Eng. J. 2018, 336, 669–678. [Google Scholar] [CrossRef]
  25. Konkolewicz, D.; Wang, Y.; Zhong, M.J.; Krys, P.; Isse, A.A.; Gennaro, A.; Matyjaszewski, K. Reversible-deactivation radical polymerization in the presence of metallic copper. A critical assessment of the SARA ATRP and SET-LRP mechanisms. Macromolecules 2013, 46, 8749–8772. [Google Scholar] [CrossRef]
  26. Mendonca, P.V.; Konkolewicz, D.; Averick, S.E.; Serra, A.C.; Popov, A.V.; Guliashvili, T.; Matyjaszewski, K.; Coelho, J.F.J. Synthesis of cationic poly((3-acrylamidopropyl)-trimethylammonium chloride) by SARA ATRP in ecofriendly solvent mixtures. Polym. Chem. 2014, 5, 5829–5836. [Google Scholar] [CrossRef]
  27. Chmielarz, P.; Krys, P.; Park, S.; Matyjaszewski, K. PEO-b-PNIPAM copolymers via SARA ATRP and eATRP in aqueous media. Polymer 2015, 71, 143–147. [Google Scholar] [CrossRef]
  28. Abreu, C.M.R.; Fu, L.Y.; Carmali, S.; Serra, A.C.; Matyjaszewski, K.; Coelho, J.F.J. Aqueous SARA ATRP using inorganic sulfites. Polym. Chem. 2017, 8, 375–387. [Google Scholar] [CrossRef]
  29. Oliveira, A.S.R.; Mendonca, P.V.; Serra, A.C.; Coelho, J.F.J. Self-degassing SARA ATRP mediated by Na2S2O4 with no external additives. J. Polym. Sci. Pol. Chem. 2020, 58, 145–153. [Google Scholar]
  30. Wang, Z.H.; Pan, X.C.; Li, L.C.; Fantin, M.; Yan, J.J.; Wang, Z.Y.; Wang, Z.H.; Xia, H.S.; Matyjaszewski, K. Enhancing mechanically induced ATRP by promoting interfacial electron transfer from piezoelectric nanoparticles to Cu catalysts. Macromolecules 2017, 50, 7940–7948. [Google Scholar] [CrossRef]
  31. Wang, Z.H.; Lorandi, F.; Fantin, M.; Wang, Z.Y.; Yan, J.J.; Wang, Z.H.; Xia, H.S.; Matyjaszewski, K. Atom transfer radical polymerization enabled by sonochemically labile Cu-carbonate species. ACS Macro Lett. 2019, 8, 161–165. [Google Scholar] [CrossRef]
  32. Tasdelen, M.A.; Uygun, M.; Yagci, Y. Photoinduced controlled radical polymerization. Macromol. Rapid Commun. 2011, 32, 58–62. [Google Scholar] [CrossRef]
  33. Konkolewicz, D.; Schroder, K.; Buback, J.; Bernhard, S.; Matyjaszewski, K. Visible light and sunlight photoinduced ATRP with ppm of Cu catalyst. ACS Macro Lett. 2012, 1, 1219–1223. [Google Scholar] [CrossRef]
  34. Wang, Y.; Dadashi-Silab, S.; Matyjaszewski, K. Photoinduced miniemulsion atom transfer radical polymerization. ACS Macro Lett. 2018, 7, 720–725. [Google Scholar] [CrossRef]
  35. Wang, Y.; Dadashi-Silab, S.; Lorandi, F.; Matyjaszewski, K. Photoinduced atom transfer radical polymerization in ab initio emulsion. Polymer 2019, 165, 163–167. [Google Scholar] [CrossRef]
  36. Magenau, A.J.D.; Strandwitz, N.C.; Gennaro, A.; Matyjaszewski, K. Electrochemically mediated atom transfer radical polymerization. Science 2011, 332, 81–84. [Google Scholar] [CrossRef] [PubMed]
  37. Lorandi, F.; Fantin, M.; Isse, A.A.; Gennaro, A. Electrochemically mediated atom transfer radical polymerization of n-butyl acrylate on non-platinum cathodes. Polym. Chem. 2016, 7, 5357–5365. [Google Scholar] [CrossRef]
  38. Fantin, M.; Chmielarz, P.; Wang, Y.; Lorandi, F.; Isse, A.A.; Gennaro, A.; Matyjaszewski, K. Harnessing the interaction between surfactant and hydrophilic catalyst to control eATRP in miniemulsion. Macromolecules 2017, 50, 3726–3732. [Google Scholar] [CrossRef]
  39. Chmielarz, P.; Fantin, M.; Park, S.; Isse, A.A.; Gennaro, A.; Magenau, A.J.D.; Sobkowiak, A.; Matyjaszewski, K. Electrochemically mediated atom transfer radical polymerization (eATRP). Prog. Polym. Sci. 2017, 69, 47–78. [Google Scholar] [CrossRef]
  40. Chmielarz, P.; Krys, P.; Wang, Z.Y.; Wang, Y.; Matyjaszewski, K. Synthesis of well-defined polymer brushes from silicon wafers via surface-initiated seATRP. Macromol. Chem. Phys. 2017, 218, 1700106. [Google Scholar] [CrossRef]
  41. Li, M.M.; Guo, Z.Z.; Zheng, X.K.; Yang, H.X.; Feng, W.S.; Kong, J.M. An electrochemical aptasensor based on eATRP amplification for the detection of bisphenol A. Analyst 2019, 144, 5691–5699. [Google Scholar] [CrossRef] [PubMed]
  42. Zhao, L.Y.; Yang, H.X.; Zheng, X.K.; Li, J.G.; Jian, L.H.; Feng, W.S.; Kong, J.M. Dual signal amplification by polysaccharide and eATRP for ultrasensitive detection of CYFRA 21-1 DNA. Biosens. Bioelectron. 2020, 150, 111895. [Google Scholar] [CrossRef] [PubMed]
  43. Zaborniak, I.; Chmielarz, P. Temporally controlled ultrasonication-mediated atom transfer radical polymerization in miniemulsion. Macromol. Chem. Phys. 2019, 220, 1900285. [Google Scholar] [CrossRef]
  44. Treat, N.J.; Sprafke, H.; Kramer, J.W.; Clark, P.G.; Barton, B.E.; de Alaniz, J.R.; Fors, B.P.; Hawker, C.J. Metal-free atom transfer radical polymerization. J. Am. Chem. Soc. 2014, 136, 16096–16101. [Google Scholar] [CrossRef]
  45. Discekici, E.H.; Anastasaki, A.; de Alaniz, J.R.; Hawker, C.J. Evolution and future directions of metal-free atom transfer radical polymerization. Macromolecules 2018, 51, 7421–7434. [Google Scholar] [CrossRef]
  46. Wang, G.L.; Xi, M.Z.; Bai, L.J.; Liang, Y.; Yang, L.X.; Wang, W.X.; Chen, H.; Yang, H.W. Pickering emulsion of metal-free photoinduced electron transfer-ATRP stabilized by cellulose nanocrystals. Cellulose 2019, 26, 5947–5957. [Google Scholar] [CrossRef]
  47. Faivre, J.; Shrestha, B.R.; Burdynska, J.; Xie, G.; Moldovan, F.; Delair, T.; Benayoun, S.; David, L.; Matyjaszewski, K.; Banquy, X. Wear protection without surface modification using a synergistic mixture of molecular brushes and linear polymers. ACS Nano 2017, 11, 1762–1769. [Google Scholar] [CrossRef]
  48. Chmielarz, P.; Yan, J.; Krys, P.; Wang, Y.; Wang, Z.; Bockstaller, M.R.; Matyjaszewski, K. Synthesis of nanoparticle copolymer brushes via surface-initiated seATRP. Macromolecules 2017, 50, 4151–4159. [Google Scholar] [CrossRef]
  49. Zaborniak, I.; Chmielarz, P.; Martinez, M.R.; Wolski, K.; Wang, Z.; Matyjaszewski, K. Synthesis of high molecular weight poly(n-butyl acrylate) macromolecules via seATRP: from polymer stars to molecular bottlebrushes. Eur. Polym. J. 2020, 126, 109566. [Google Scholar] [CrossRef]
  50. Qiu, J.; Charleux, B.; Matyjaszewski, K. Controlled/living radical polymerization in aqueous media: homogeneous and heterogeneous systems. Prog. Polym. Sci. 2001, 26, 2083–2134. [Google Scholar] [CrossRef]
  51. Ding, S.J.; Radosz, M.; Shen, Y.Q. Ionic liquid catalyst for biphasic atom transfer radical polymerization of methyl methacrylate. Macromolecules 2005, 38, 5921–5928. [Google Scholar] [CrossRef]
  52. Oliveira, M. RAFT inverse microemulsion polymerization: effects of monomer solubility and different types of initiators. Macromol. React. Eng. 2017, 11, 1600066. [Google Scholar] [CrossRef]
  53. Jenjob, R.; Phakkeeree, T.; Seidi, F.; Theerasilp, M.; Crespy, D. Emulsion techniques for the production of pharmacological nanoparticles. Macromol. Biosci. 2019, 19, e1900063. [Google Scholar] [CrossRef] [PubMed]
  54. Chmielarz, P.; Park, S.; Simakova, A.; Matyjaszewski, K. Electrochemically mediated ATRP of acrylamides in water. Polymer 2015, 60, 302–307. [Google Scholar] [CrossRef]
  55. Wang, X.F.; Graff, R.W.; Shi, Y.; Gao, H.F. One-pot synthesis of hyperstar polymers via sequential ATRP of inimers and functional monomers in aqueous dispersed media. Polym. Chem. 2015, 6, 6739–6745. [Google Scholar] [CrossRef]
  56. Zaborniak, I.; Chmielarz, P.; Matyjaszewski, K. Synthesis of riboflavin-based macromolecules through low ppm ATRP in aqueous media. Macromol. Chem. Phys. 2020, 221, 1900496. [Google Scholar] [CrossRef]
  57. Dai, F.Y.; Sun, P.; Liu, Y.J.; Liu, W.G. Redox-cleavable star cationic PDMAEMA by arm-first approach of ATRP as a nonviral vector for gene delivery. Biomaterials 2010, 31, 559–569. [Google Scholar] [CrossRef]
  58. Fang, L.J.; Chen, S.J.; Guo, X.Z.; Zhang, Y.; Zhang, H.Q. Azobenzene-containing molecularly imprinted polymer microspheres with photo- and thermoresponsive template binding properties in pure aqueous media by atom transfer radical polymerization. Langmuir 2012, 28, 9767–9777. [Google Scholar] [CrossRef]
  59. Jiang, X.Y.; Li, Y.J.; Lu, G.L.; Huang, X.Y. A novel poly(N-vinylcaprolactam)-based well-defined amphiphilic graft copolymer synthesized by successive RAFT and ATRP. Polym. Chem. 2013, 4, 1402–1411. [Google Scholar] [CrossRef]
  60. Xie, L.Q.; Lan, F.; Li, W.L.; Liu, Z.Y.; Ma, S.H.; Yang, Q.; Wu, Y.; Gu, Z.W. Polyacrylic acid brushes grafted from P(St-AA)/Fe3O4 composite microspheres via ARGET-ATRP in aqueous solution for protein immobilization. Colloids Surf. B 2014, 123, 413–418. [Google Scholar] [CrossRef]
  61. Airaud, C.; Ibarboure, E.; Gaillard, C.; Heroguez, V. Nanostructured polymer composite nanoparticles synthesized in a single step via simultaneous ROMP and ATRP under microemulsion conditions. J. Polym. Sci. Pol. Chem. 2009, 47, 4014–4027. [Google Scholar] [CrossRef]
  62. Ciftci, M.; Tasdelen, M.A.; Li, W.W.; Matyjaszewski, K.; Yagci, Y. Photoinitiated ATRP in inverse microemulsion. Macromolecules 2013, 46, 9537–9543. [Google Scholar] [CrossRef]
  63. Cuneo, T.; Graff, R.W.; Wang, X.F.; Gao, H.F. Synthesis of highly branched copolymers in microemulsion. Macromol. Chem. Phys. 2019, 220, 1800546. [Google Scholar] [CrossRef]
  64. Min, K.; Yu, S.; Lee, H.I.; Mueller, L.; Sheiko, S.S.; Matyjaszewski, K. High yield synthesis of molecular brushes via ATRP in miniemulsion. Macromolecules 2007, 40, 6557–6563. [Google Scholar] [CrossRef]
  65. Teo, V.L.; Davis, B.J.; Tsarevsky, N.V.; Zetterlund, P.B. Successful miniemulsion ATRP using an anionic surfactant: minimization of deactivator loss by addition of a halide salt. Macromolecules 2014, 47, 6230–6237. [Google Scholar] [CrossRef]
  66. Zaborniak, I.; Surmacz, K.; Flejszar, M.; Chmielarz, P. Triple-functional riboflavin-based molecule for efficient atom transfer radical polymerization in miniemulsion media. J. Appl. Polym. Sci. 2020, e49275. [Google Scholar] [CrossRef]
  67. Li, W.W.; Matyjaszewski, K. Cationic surface-active monomers as reactive surfactants for AGET emulsion ATRP of n-butyl methacrylate. Macromolecules 2011, 44, 5578–5585. [Google Scholar] [CrossRef]
  68. Rusen, E.; Diacon, A.; Mocanu, A.; Culita, D.C.; Dinescu, A.; Zecheru, T. “A real” emulsion polymerization using simple ATRP reaction in the presence of an oligo-initiator with a dual activity of emulsifier and initiator. Colloids Surf. A Physicochem. Eng. Asp. 2018, 555, 1–7. [Google Scholar] [CrossRef]
  69. Lorandi, F.; Wang, Y.; Fantin, M.; Matyjaszewski, K. Ab initio emulsion atom-transfer radical polymerization. Angew. Chem. Int. Ed. 2018, 57, 8270–8274. [Google Scholar] [CrossRef]
  70. Cui, J.Y.; Xie, A.T.; Zhou, S.; Liu, S.W.; Wang, Q.Q.; Wu, Y.L.; Meng, M.J.; Lang, J.H.; Zhou, Z.P.; Yan, Y.S. Development of composite membranes with irregular rod-like structure via atom transfer radical polymerization for efficient oil-water emulsion separation. J. Colloid Interface Sci. 2019, 533, 278–286. [Google Scholar] [CrossRef]
  71. Gharieh, A.; Khoee, S.; Mandavian, A.R. Emulsion and miniemulsion techniques in preparation of polymer nanoparticles with versatile characteristics. Adv. Colloid Interface Sci. 2019, 269, 152–186. [Google Scholar] [CrossRef] [PubMed]
  72. Castor, C.A.; Pontier, A.; Durand, J.; Pinto, J.C.; Prat, L. Real time monitoring of the quiescent suspension polymerization of methyl methacrylate in microreactors-part 1. A kinetic study by Raman spectroscopy and evolution of droplet size. Chem. Eng. Sci. 2015, 131, 340–352. [Google Scholar] [CrossRef][Green Version]
  73. Asua, J.M. Challenges and opportunities in continuous production of emulsion polymers: a review. Macromol. React. Eng. 2016, 10, 311–323. [Google Scholar] [CrossRef]
  74. Gao, H.F. A personal journey on using polymerization in aqueous dispersed media to synthesize polymers with branched structures. Chin. Chem. Lett. 2019, 30, 1996–2002. [Google Scholar] [CrossRef]
  75. Landfester, K.; Bechthold, N.; Tiarks, F.; Antonietti, M. Miniemulsion polymerization with cationic and nonionic surfactants:  a very efficient use of surfactants for heterophase polymerization. Macromolecules 1999, 32, 2679–2683. [Google Scholar] [CrossRef]
  76. Fantin, M.; Park, S.; Wang, Y.; Matyjaszewski, K. Electrochemical atom transfer radical polymerization in miniemulsion with a dual catalytic system. Macromolecules 2016, 49, 8838–8847. [Google Scholar] [CrossRef]
  77. Fantin, M.; Lorandi, F.; Isse, A.A.; Gennaro, A. Sustainable electrochemically-mediated atom transfer radical polymerization with inexpensive non-platinum electrodes. Macromol. Rapid Commun. 2016, 37, 1318–1322. [Google Scholar] [CrossRef]
  78. Chmielarz, P. Cellulose-based graft copolymers prepared by simplified electrochemically mediated ATRP. Express Polym. Lett. 2017, 11, 140–151. [Google Scholar] [CrossRef]
  79. Magenau, A.J.D.; Bortolamei, N.; Frick, E.; Park, S.; Gennaro, A.; Matyjaszewski, K. Investigation of electrochemically mediated atom transfer radical polymerization. Macromolecules 2013, 46, 4346–4353. [Google Scholar] [CrossRef]
  80. Chmielarz, P. Synthesis of naringin-based polymer brushes via seATRP. Polym. Adv. Technol. 2018, 29, 470–480. [Google Scholar] [CrossRef]
  81. Asua, J.M. Challenges for industrialization of miniemulsion polymerization. Prog. Polym. Sci. 2014, 39, 1797–1826. [Google Scholar] [CrossRef]
  82. Simms, R.W.; Cunningham, M.F. High molecular weight poly(butyl methacrylate) by reverse atom transfer radical polymerization in miniemulsion initiated by a redox system. Macromolecules 2007, 40, 860–866. [Google Scholar] [CrossRef]
  83. Kitayama, Y.; Yorizane, M.; Kagawa, Y.; Minami, H.; Zetterlund, P.B.; Okubo, M. Preparation of onion-like multilayered particles comprising mainly poly-(iso-butyl methacrylate)-block-polystyrene by two-step AGET ATRP. Polymer 2009, 50, 3182–3187. [Google Scholar] [CrossRef]
  84. Kagawa, Y.; Kawasaki, M.; Zetterlund, P.B.; Minami, H.; Okubo, M. Atom transfer radical polymerization of iso-butyl methacrylate in microemulsion with cationic and non-ionic emulsifiers. Macromol. Rapid Commun. 2007, 28, 2354–2360. [Google Scholar] [CrossRef]
  85. Oh, J.K. Recent advances in emulsion and in controlled/living radical polymerization dispersion. J. Polym. Sci. Pol. Chem. 2008, 46, 6983–7001. [Google Scholar] [CrossRef]
  86. Elsen, A.M.; Burdynska, J.; Park, S.; Matyjaszewski, K. Active ligand for low ppm miniemulsion atom transfer radical polymerization. Macromolecules 2012, 45, 7356–7363. [Google Scholar] [CrossRef]
  87. Elsen, A.M.; Burdynska, J.; Park, S.; Matyjaszewski, K. Activators regenerated by electron transfer atom transfer radical polymerization in miniemulsion with 50 ppm of copper catalyst. ACS Macro Lett. 2013, 2, 822–825. [Google Scholar] [CrossRef]
  88. Min, K.; Gao, H.F.; Matyjaszewski, K. Preparation of homopolymers and block copolymers in miniemulsion by ATRP using activators generated by electron transfer (AGET). J. Am. Chem. Soc. 2005, 127, 3825–3830. [Google Scholar] [CrossRef]
  89. Leibfarth, F.A.; Mattson, K.M.; Fors, B.P.; Collins, H.A.; Hawker, C.J. External regulation of controlled polymerizations. Angew. Chem. Int. Ed. 2013, 52, 199–210. [Google Scholar] [CrossRef]
  90. Shanmugam, S.; Boyer, C. Stereo-, temporal and chemical control through photoactivation of living radical polymerization: Synthesis of block and gradient copolymers. J. Am. Chem. Soc. 2015, 137, 9988–9999. [Google Scholar] [CrossRef]
  91. Wang, Z.; Pan, X.; Yan, J.; Dadashi-Silab, S.; Xie, G.; Zhang, J.; Wang, Z.; Xia, H.; Matyjaszewski, K. Temporal control in mechanically controlled atom transfer radical polymerization using low ppm of Cu catalyst. ACS Macro Lett. 2017, 6, 546–549. [Google Scholar] [CrossRef]
  92. Chen, M.; Zhong, M.J.; Johnson, J.A. Light-controlled radical polymerization: mechanisms, methods, and applications. Chem. Rev. 2016, 116, 10167–10211. [Google Scholar] [CrossRef] [PubMed]
Scheme 1. ATRP mechanisms with low ppm catalysts concentrations (* methods described in review, ** proposed future direction).
Scheme 1. ATRP mechanisms with low ppm catalysts concentrations (* methods described in review, ** proposed future direction).
Materials 13 01717 sch001
Scheme 2. Mechanism of a dual catalysis in miniemulsion eATRP. Pathway (A)—reduction of CuII/Lorg, then chain end activation by CuI/Lorg; pathway (B)—direct activation of the chain end. Reprinted with permission from reference [76], 2016, American Chemical Society.
Scheme 2. Mechanism of a dual catalysis in miniemulsion eATRP. Pathway (A)—reduction of CuII/Lorg, then chain end activation by CuI/Lorg; pathway (B)—direct activation of the chain end. Reprinted with permission from reference [76], 2016, American Chemical Society.
Materials 13 01717 sch002
Scheme 3. Mechanism of ion-pair and interfacial catalysis in miniemulsion eATRP. Reprinted with permission from reference [38], 2017, American Chemical Society.
Scheme 3. Mechanism of ion-pair and interfacial catalysis in miniemulsion eATRP. Reprinted with permission from reference [38], 2017, American Chemical Society.
Materials 13 01717 sch003
Scheme 4. Mechanism of ion-pair and interfacial catalysis in miniemulsion ARGET ATRP with ascorbic acid as a reducing agent. Reprinted with permission from reference [19], 2017, American Chemical Society.
Scheme 4. Mechanism of ion-pair and interfacial catalysis in miniemulsion ARGET ATRP with ascorbic acid as a reducing agent. Reprinted with permission from reference [19], 2017, American Chemical Society.
Materials 13 01717 sch004
Scheme 5. Mechanism of ARGET ATRP in miniemulsion with triple-functional riboflavin-based macroinitiator acting as an initiator (route 1), reducing agent (route 2) and oxygen scavenger (route 3). Reprinted with permission from reference [66], WILEY-VCH Verlag GmbH and Co. KGaA, Weinheim. Copyright 2020.
Scheme 5. Mechanism of ARGET ATRP in miniemulsion with triple-functional riboflavin-based macroinitiator acting as an initiator (route 1), reducing agent (route 2) and oxygen scavenger (route 3). Reprinted with permission from reference [66], WILEY-VCH Verlag GmbH and Co. KGaA, Weinheim. Copyright 2020.
Materials 13 01717 sch005
Scheme 6. Mechanism of photo-ATRP in miniemulsion. Reprinted with permission from reference [34], 2018, American Chemical Society.
Scheme 6. Mechanism of photo-ATRP in miniemulsion. Reprinted with permission from reference [34], 2018, American Chemical Society.
Materials 13 01717 sch006
Figure 1. Miniemulsion photo-ATRP of BMA in the presence of various SDS concentrations. (A) Kinetic plots; (B) Evolution of Mn and Đ over monomer conversion. Reprinted with permission from reference [34], 2018, American Chemical Society.
Figure 1. Miniemulsion photo-ATRP of BMA in the presence of various SDS concentrations. (A) Kinetic plots; (B) Evolution of Mn and Đ over monomer conversion. Reprinted with permission from reference [34], 2018, American Chemical Society.
Materials 13 01717 g001
Scheme 7. The concept of ion-pair and interfacial catalysis in ultrasound-mediated ATRP conducted in miniemulsion media. Reprinted with permission from reference [43], WILEY-VCH Verlag GmbH and Co. KGaA, Weinheim. Copyright 2019.
Scheme 7. The concept of ion-pair and interfacial catalysis in ultrasound-mediated ATRP conducted in miniemulsion media. Reprinted with permission from reference [43], WILEY-VCH Verlag GmbH and Co. KGaA, Weinheim. Copyright 2019.
Materials 13 01717 sch007
Table 1. eATRP of nBA in miniemulsion with different surfactants and catalysts a.
Table 1. eATRP of nBA in miniemulsion with different surfactants and catalysts a.
EntryMonomer (% vol)Initiator(CuIIBr2)/Laq/LorgSurfactant
(% wt to monomer)
EappCatalyst ConcentrationĐRef.
LaqLorgPpm
[CuL]/[M]
Ppm
(by wt)
1nBA
(20)
EBiBBPY-SDS
(4.6)
Epc10002,5039.30[76]
2nBA
(20)
EBiBBPMEA-SDS
(4.6)
Epc10002,5034.62[76]
3nBA
(20)
EBiBBPYBPMODASDS
(4.6)
Epc10002,5031.78[76]
4nBA
(20)
EBiBBPMEABPMODASDS
(4.6)
Epc10002,5031.50[76]
5nBA
(20)
EBiBTPMABPMODASDS
(4.6)
Epc10002,5032.53[76]
6nBA
(20)
EBiBBPYBPMODA*SDS
(4.6)
Epc10002,5031.26[76]
7nBA
(20)
EBiBBPMEABPMODA*SDS
(4.6)
Epc10002,5031.19[76]
8nBA
(20)
EBiBTPMABPMODA*SDS
(4.6)
Epc10002,5031.32[76]
9nBA
(20)
EBiBTPMA-Brij-98
(6.2)
Epc-0.03V-2,1814.77[38]
10nBA
(20)
EBiBTPMA-SDS
(6.2)
Epc-0.03V321–7202,1811.09–1.26[38]
11nBA
(20)
EBiBTPMA *2-SDS
(6.2)
Epc-0.03V-2,1811.32[38]
12nBA
(20)
EBiBMe6TREN-SDS
(6.2)
Epc-0.03V-2,1811.94[38]
an-hexadecane (HD) was used as cosurfactant and NaBr as supporting electrolyte.
Table 2. ARGET ATRP in miniemulsion with different surfactants and catalysts a.
Table 2. ARGET ATRP in miniemulsion with different surfactants and catalysts a.
EntryMonomer
(% vol)
Initiator(CuIIBr2)/Laq/LorgSurfactant
(% wt to Monomer)
Reducing AgentTemp.Catalyst ConcentrationĐRef.
LaqLorgPpm
[CuL]/[M]
Ppm
(by wt)
1nBA
(20)
EBiB-BPMODA*Brij-98
(2.3)
Sn(EH)280 °C250–2,000670 b1.15–1.51[86]
2nBMA
(20)
EBPA-DOD-BPED*Brij-98
(2.3)
AsAc80 °C50–250-1.23–1.39[87]
3nBA
(20)
EBiBTPMA-SDS
(1.15–9.2)
AsAc65 °C144–719216 c-[19]
4nBMA
(20)
EBPATPMA-SDS
(4.6)
AsAc65 °C50–800216 c1.2–1.42[19]
5nBMA
(20)
EBPABPMODA*-SDS
(4.6)
AsAc65 °C800-1.18[19]
6nBA
(20)
EBiB/EBPATPMA-SDBS
(4.6)
AsAc65 °C704216 c-[19]
7nBA
(20)
EBiB/EBPATPMA-SDS+SDA
(4.6 + 0.5)
AsAc65 °C704216 c-[19]
8nBA
(17)
Rib-Br2TPMA-SDS
(6.2)
Rib-Br265 °C700–1,000186–2671.39–2.05[66]
9 dnBA
(17)
Rib-Br2TPMA-SDS
(6.2)
Rib-Br265 °C1,0002661.19[66]
an-hexadecane (HD) was used as cosurfactant and NaBr as supporting electrolyte b for reaction with 2000 ppm of CuIIBr2, c according to Table 1 at reference [19]; d reaction in air conditions.
Table 3. Photo-ATRP in miniemulsion with different catalysts and monomers a.
Table 3. Photo-ATRP in miniemulsion with different catalysts and monomers a.
EntryMonomer (% vol)InitiatorCuIIBr2/LaqSurfactant
(% wt to monomer)
λ (nm),
Intensity (mW/cm2)
Catalyst ConcentrationĐRef.
Ppm
[CuL]/[M]
Ppm
(by wt)
1nBMA
(5-50)
EBPATPMASDS
(1.2–18.4)
370
(5)
800–1002201.24–1.76[34]
2nBA
(20)
EBiBTPMASDS
(4.6)
370
(5)
8002201.3[34]
3MMA
(20)
PEO2K-BPATPMASDS
(18.4)
394
(2.6)
400-1.75[35]
4EMA
(20)
PEO2K-BPATPMASDS
(18.4)
394
(2.6)
400-1.24[35]
5nBMA
(20)
PEO2K-BPATPMASDS
(18.4)
394
(2.6)
4001901.09[35]
6LMA
(20)
PEO2K-BPATPMASDS
(18.4)
394
(2.6)
400--[35]
7nBA
(20)
PEO2K-BiBTPMASDS
(18.4)
394
(2.6)
400-1.13[35]
an-hexadecane (HD) was used as cosurfactant in entries 1 and 2, NaBr as supporting electrolyte except entries 3-7: NaBr/TEA as supporting electrolyte.
Table 4. Sono-ATRP in miniemulsion with different catalysts and monomers a.
Table 4. Sono-ATRP in miniemulsion with different catalysts and monomers a.
EntryMonomer (% vol)InitiatorCuIIBr2/LaqSurfactant
(% wt tom)
Frequency of Sonication (kHz)Catalyst ConcentrationĐRef.
Ppm
[CuL]/[M]
Ppm
(by wt)
1nBA
(20)
EBiBTPMASDS
(6.2)
407171891.26–1.28[43]
2MMA
(20)
EBiBTPMASDS
(6.2)
407172441.27[43]
3MMA
(20)
EBPATPMASDS
(6.2)
407172431.6[43]
4nBA
(20)
PnBA-BrTPMASDS
(6.2)
405856211.41[43]
5tBA
(20)
PnBA-BrTPMASDS
(6.2)
405886231.27[43]
an-hexadecane (HD) was used as cosurfactant and NaBr as supporting electrolyte, reactions temp. 65 °C.

Share and Cite

MDPI and ACS Style

Surmacz, K.; Chmielarz, P. Low Ppm Atom Transfer Radical Polymerization in (Mini)Emulsion Systems. Materials 2020, 13, 1717. https://doi.org/10.3390/ma13071717

AMA Style

Surmacz K, Chmielarz P. Low Ppm Atom Transfer Radical Polymerization in (Mini)Emulsion Systems. Materials. 2020; 13(7):1717. https://doi.org/10.3390/ma13071717

Chicago/Turabian Style

Surmacz, Karolina, and Paweł Chmielarz. 2020. "Low Ppm Atom Transfer Radical Polymerization in (Mini)Emulsion Systems" Materials 13, no. 7: 1717. https://doi.org/10.3390/ma13071717

APA Style

Surmacz, K., & Chmielarz, P. (2020). Low Ppm Atom Transfer Radical Polymerization in (Mini)Emulsion Systems. Materials, 13(7), 1717. https://doi.org/10.3390/ma13071717

Note that from the first issue of 2016, this journal uses article numbers instead of page numbers. See further details here.

Article Metrics

Back to TopTop