Open Porosity and Pore Size Distribution of Mesoporous Silica Films Investigated by Positron Annihilation Lifetime Spectroscopy and Ellipsometric Porosimetry
Abstract
1. Introduction
2. Materials and Methods
2.1. Preparation of Mesoporous Silica Films
2.2. PAES and PALS Based on Intense Pulsed Slow Positron Beams
2.3. Ellipsometric Porosimetry Combined with Heptane Adsorption
3. Results and Discussion
3.1. Pore Interconnectivity/Open Porosity of the Mesoporous Silica Films
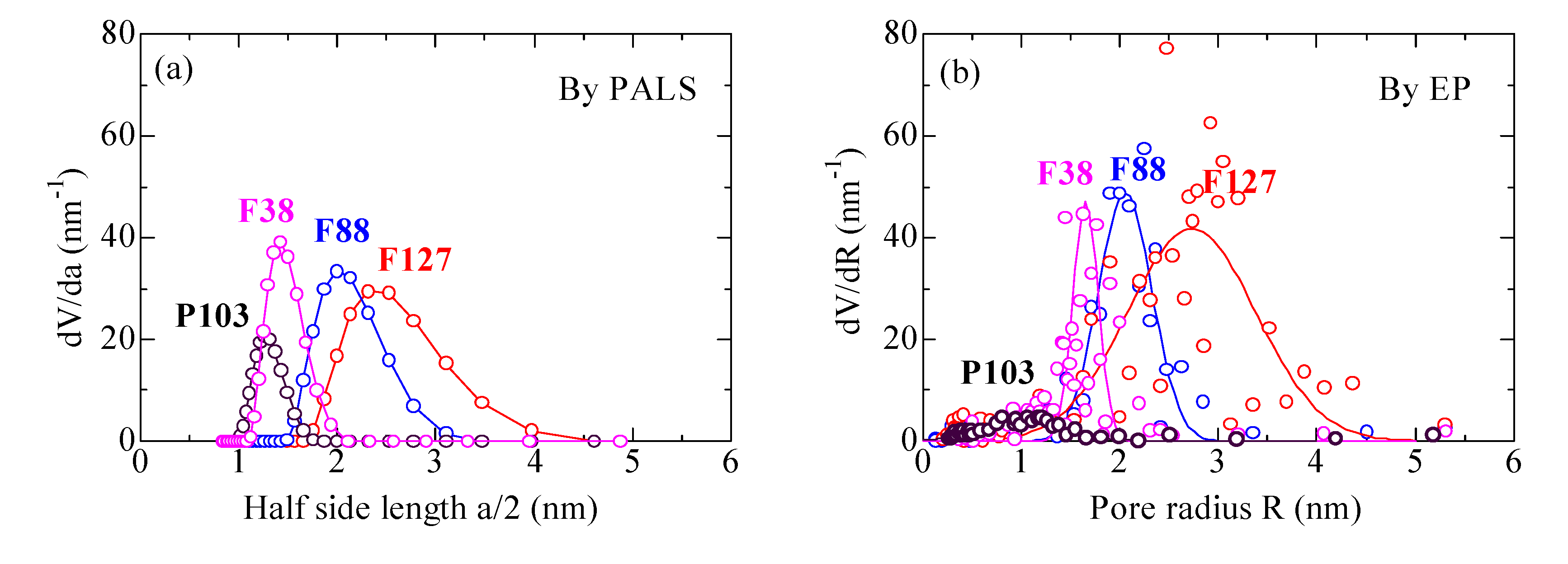
3.2. Pore Size Distribution of the Mesoporous Silica Films
3.3. Comparison of Open Porosity and Pore Size by PALS and EP
4. Conclusions
Supplementary Materials
Author Contributions
Funding
Institutional Review Board Statement
Informed Consent Statement
Data Availability Statement
Conflicts of Interest
References
- Tanaka, S.; Nishiyama, N.; Oku, Y.; Egashira, Y.; Ueyama, K. Nano-Architectural Silica Thin Films with Two-Dimensionally Connected Cagelike Pores Synthesized from Vapor Phase. J. Am. Chem. Soc. 2004, 126, 4854–4858. [Google Scholar] [CrossRef] [PubMed]
- He, C.Q.; Xiong, B.Y.; Mao, W.F.; Kobayashi, Y.; Oka, T.; Oshima, N.; Suzuki, R. On determining the entrance size of cage-like pores in mesoporous silica films by positron annihilation lifetime spectroscopy. Chem. Phys. Lett. 2013, 590, 97–100. [Google Scholar] [CrossRef]
- He, C.Q.; Muramatsu, M.; Ohdaira, T.; Kinomura, A.; Suzuki, R.; Ito, K.; Kabayashi, Y. Positron annihilation studies of mesoporous silica films using a slow positron beam. Appl. Surf. Sci. 2006, 252, 3221–3227. [Google Scholar] [CrossRef]
- Yu, C.Z.; Fan, J.; Tian, B.Z.; Stucky, G.D.; Zhao, D.Y. Synthesis of Mesoporous Silica from Commercial Poly(ethylene oxide)/Poly(butylene oxide) Copolymers: Toward the Rational Design of Ordered Mesoporous Materials. J. Phys. Chem. B 2003, 107, 13368–13375. [Google Scholar] [CrossRef]
- He, C.Q.; Wang, S.J. Role of pore morphology in positronium diffusion in mesoporous silica thin films and in positronium emission from the surfaces. Phys. Rev. B 2012, 86, 075415. [Google Scholar] [CrossRef]
- Petkov, M.P.; Weber, M.H.; Lynn, K.G.; Rodbell, K.P. Porosity characterization by beam-based three-photon positron annihilation spectroscopy. Appl. Phys. Lett. 2001, 79, 3884–3886. [Google Scholar] [CrossRef]
- He, C.Q.; Oka, T.; Kobayashi, Y.; Oshima, N.; Ohdaira, T.; Kinomura, A.; Suzuki, R. Evolution of pores in mesoporous silica films: Porogen loading effect. Appl. Surf. Sci. 2008, 255, 183–186. [Google Scholar] [CrossRef]
- Petkov, M.P.; Wang, C.L.; Weber, M.H.; Lynn, K.G.; Rodbell, K.P. Positron Annihilation Techniques Suited for Porosity Characterization of Thin Films. J. Phys. Chem. B 2003, 107, 2725–2734. [Google Scholar] [CrossRef]
- He, C.Q.; Oka, T.; Kobayashi, Y.; Oshima, N.; Ohdaira, T.; Kinomura, A.; Suzuki, R. Positronium annihilation and pore surface chemistry in mesoporous silica films. Appl. Phys. Lett. 2007, 91, 024102. [Google Scholar] [CrossRef]
- Gidley, D.W.; Frieze, W.E.; Dull, T.L.; Sun, J.; Yee, A.F.; Nguyen, C.V.; Yoon, D.Y. Determination of pore-size distribution in low-dielectric thin films. Appl. Phys. Lett. 2000, 76, 1282–1284. [Google Scholar] [CrossRef]
- Yoshimoto, S.; Kumagai, K.; Hosomi, H.; Takeda, M.; Tsuru, T.; Ito, K. Effect of heat treatment on the nanoporosity of silica PECVD films elucidated by low-energy positron annihilation and ellipsometric porosimetry. J. Appl. Phys. 2017, 122, 185304. [Google Scholar] [CrossRef]
- He, C.Q.; Muramatsu, M.; Ohdaira, T.; Oshima, N.; Kinomura, A.; Suzuki, R.; Kobayashi, Y. Tunable pores in mesoporous silica films studied using a pulsed slow positron beam. Radiat. Phys. Chem. 2007, 76, 204–208. [Google Scholar] [CrossRef]
- Lu, Y.F.; Ganguli, R.; Drewien, C.A.; Anderson, M.T.; Brinker, C.J.; Gong, W.L.; Guo, Y.X.; Soyez, H.; Dunn, B.; Huang, M.H.; et al. Continuous formation of supported cubic and hexagonalmesoporous films by sol–gel dip-coating. Nature 1997, 389, 364–368. [Google Scholar] [CrossRef]
- Cho, W.; Kim, T.; Char, K.; Soles, C.L. A facile method for the preferential alignment of mesochannels in silica films by solution flow. Microporous Mesoporous Mater. 2010, 131, 136–140. [Google Scholar] [CrossRef]
- He, C.Q.; Muramatsu, M.; Oshima, N.; Ohdaira, T.; Kinomura, A.; Suzuki, R. Ageing-induced enhancement of open porosity of mesoporous silica films studied by positron annihilation spectroscopy. Phys. Lett. A 2006, 355, 73–76. [Google Scholar] [CrossRef]
- Kobayashi, Y.; Zheng, W.; Chang, T.B.; Hirata, K.; Suzuki, R.; Ohdaira, T.; Ito, K. Nanoporous structure of sputter-deposited silicon oxide films characterized by positronium annihilation spectroscopy. J. Appl. Phys. 2002, 91, 1704–1706. [Google Scholar] [CrossRef]
- Yu, R.S.; Ito, K.; Hirata, K.; Zheng, W.; Kobayashi, Y. Effects of coexistent pores and paramagnetic defects on positron annihilation in silicon oxide thin films. J. Appl. Phys. 2003, 93, 3340–3344. [Google Scholar] [CrossRef]
- He, C.Q.; Suzuki, R.; Ohdaira, T.; Oshima, N.; Kinomura, A.; Muramatsu, M.; Kobayashi, Y. Study of mesoporous silica films by positron annihilation based on a slow positron beam: Effects of preparation conditions on pore size and open porosity. Chem. Phys. 2007, 331, 213–218. [Google Scholar] [CrossRef]
- Liszkay, L.; Guillemot, F.; Corbel, C.; Boilot, J.-P.; Gacoin, T.; Barthel, E.; Pérez, P.; Barthe, M.-F.; Desgardin, P.; Crivelli, P.; et al. Positron annihilation in latex templated macroporous silica films: Pore size and ortho-positronium escape. New J. Phys. 2012, 14, 065009. [Google Scholar] [CrossRef]
- Ito, K.; Oka, T.; Kobayashi, Y.; Suzuki, R.; Ohdaira, T. Variable-energy Positron Study of Nanopore Structure in Hydrocarbon–Siliconoxide Hybrid PECVD Films. Phys. Procedia 2012, 35, 140–144. [Google Scholar] [CrossRef][Green Version]
- Provencher, S.W. CONTIN: A general purpose constrained regularization program for inverting noisy linear algebraic and integral equations. Comput. Phys. Commun. 1982, 27, 229–242. [Google Scholar] [CrossRef]
- Gidley, D.W.; Frieze, W.E.; Dull, T.L.; Yee, A.F.; Ryan, E.T.; Ho, H.-M. Positronium annihilation in mesoporous thin films. Phys. Rev. B 1999, 60, R5157. [Google Scholar] [CrossRef]
- Dull, T.L.; Frieze, W.E.; Gidley, D.W.; Sun, J.N.; Yee, A.F. Determination of Pore Size in Mesoporous Thin Films from the Annihilation Lifetime of Positronium. J. Phys. Chem. B 2001, 105, 4657–4662. [Google Scholar] [CrossRef]
- Oka, T.; Ito, K.; Muramatsu, M.; Ohdaira, T.; Suzuki, R.; Kobayashi, Y. Porogen Approach for the Fabrication of Plasma-Polymerized Nanoporous Polysiloxane Films. J. Phys. Chem. B 2006, 110, 20172–20176. [Google Scholar] [CrossRef]
- Yoshimoto, S.; Ito, K.; Hosomi, H.; Takai, Y. Comparison study of mesoporous thin films characterized by low-energy positron lifetime spectroscopy and flow-type ellipsometric porosimetry. JJAP Conf. Proc. 2014, 2, 011205. [Google Scholar] [CrossRef][Green Version]
- Ito, K.; Kobayashi, Y.; Suzuki, R.; Ohdaira, T.; Yu, R.; Sato, K.; Hirata, K.; Togashi, H.; Egami, M.; Arao, H.; et al. Characterization of Porous Silicate Low-k Films by Ellipsometric Porosimetry and Variable-energy Positron Annihilation Spectroscopy. Mat. Res. Soc. Symp. Proc. 2004, 788, L8.19. [Google Scholar] [CrossRef]
- Fatemi, S.; Moosavian, M.A.; Abolhamd, G.; Mortazavi, Y.; Hudgins, R.R. Reaction Rate Hysteresis in the Hydrotreating of Thiophene in Wide- and Narrow-Pore Catalysts during Temperature Cycling. Can. J. Chem. Eng. 2002, 80, 231–238. [Google Scholar] [CrossRef]
- Baklanov, M.R.; Mogilnikov, K.P. Characterisation of Low-K Dielectric Films by Ellipsometric Porosimetry. Mat. Res. Soc. Symp. Proc. 2000, 612, D4.2. [Google Scholar] [CrossRef]
- Revol, P.; Perret, D.; Bertin, F.; Fusalba, F.; Rouessac, V.; Chabli, A.; Passemard, G.; Ayral, A. Porosimetry Measurements on Low Dielectric Constant—Thin Layers by Coupling Spectroscopic Ellipsometry and Solvent Adsorption-Desorption. J. Porous Mater. 2005, 12, 113–121. [Google Scholar] [CrossRef]
- Xiong, B.Y.; Mao, W.F.; Tang, X.Q.; He, C.Q. Positron annihilation characteristics in mesostructural silica films with various porosities. J. Appl. Phys. 2014, 115, 094303. [Google Scholar] [CrossRef]
- Tang, X.Q.; Xiong, B.Y.; Li, Q.C.; Mao, W.F.; Xiao, W.; Fang, P.F.; He, C.Q. Development of pore interconnectivity/morphology in porous silica films investigated by cyclic voltammetry and slow positron annihilation spectroscopy. Electrochim. Acta 2015, 168, 365–369. [Google Scholar] [CrossRef]
- He, C.Q.; Ohdaira, T.; Oshima, N.; Muramatsu, M.; Kinomura, A.; Suzuki, R.; Oka, T.; Kobayashi, Y. Evidence for pore surface dependent positronium thermalization in mesoporous silica/hybrid silica films. Phys. Rev. B 2007, 75, 195404. [Google Scholar] [CrossRef]
- Groen, J.C.; Peffer, L.A.A.; Pérez-Ramírez, J. Pore size determination in modified micro- and mesoporous materials. Pitfalls and limitations in gas adsorption data analysis. Microporous Mesoporous Mater. 2003, 60, 1–17. [Google Scholar] [CrossRef]
- Lancelle-Beltran, E.; Prené, P.; Boscher, C.; Belleville, P.; Buvat, P.; Lambert, S.; Guillet, F.; Boissière, C.; Grosso, D.; Sanchez, C. Nanostructured Hybrid Solar Cells Based on Self-Assembled Mesoporous Titania Thin Films. Chem. Mater. 2006, 18, 6152–6156. [Google Scholar] [CrossRef]
- Wang, X.Q.; Liu, R.; Waje, M.M.; Chen, Z.W.; Yan, Y.S.; Bozhilov, K.N.; Feng, P.Y. Sulfonated Ordered Mesoporous Carbon as a Stable and Highly Active Protonic Acid Catalyst. Chem. Mater. 2007, 19, 2395–2397. [Google Scholar] [CrossRef]
- Hou, K.; Tian, B.Z.; Li, F.Y.; Bian, Z.Q.; Zhao, D.Y.; Huang, C.H. Highly crystallized mesoporous TiO2 films and their applications in dye sensitized solar cells. J. Mater. Chem. 2005, 15, 2414–2420. [Google Scholar] [CrossRef]
- Thommes, M.; Kaneko, K.; Neimark, A.V.; Olivier, J.P.; Rodriguez-Reinoso, F.; Rouquerol, J.; Sing, K.S.W. Physisorption of gases, with special reference to the evaluation of surface area and pore size distribution (IUPAC Technical Report). Pure Appl. Chem. 2015, 87, 1051–1069. [Google Scholar] [CrossRef]
- Brunauer, S.; Deming, L.S.; Deming, W.E.; Teller, E. On a Theory of the van der Waals Adsorption of Gases. J. Am. Chem. Soc. 1940, 62, 1723–1732. [Google Scholar] [CrossRef]
- Barrett, E.P.; Joyner, L.G.; Halenda, P.P. The Determination of Pore Volume and Area Distributions in Porous Substances. I. Computations from Nitrogen Isotherms. J. Am. Chem. Soc. 1951, 73, 373–380. [Google Scholar] [CrossRef]
- Khasanov, T.K. Values of the Refractive Index of Bulk Quartz. Opt. Spectrosc. 2015, 118, 655–662. [Google Scholar] [CrossRef]






| Publisher’s Note: MDPI stays neutral with regard to jurisdictional claims in published maps and institutional affiliations. | 
© 2021 by the authors. Licensee MDPI, Basel, Switzerland. This article is an open access article distributed under the terms and conditions of the Creative Commons Attribution (CC BY) license (https://creativecommons.org/licenses/by/4.0/).
Share and Cite
Xiong, B.; Li, J.; He, C.; Lai, J.; Liu, X.; Huang, T. Open Porosity and Pore Size Distribution of Mesoporous Silica Films Investigated by Positron Annihilation Lifetime Spectroscopy and Ellipsometric Porosimetry. Materials 2021, 14, 3371. https://doi.org/10.3390/ma14123371
Xiong B, Li J, He C, Lai J, Liu X, Huang T. Open Porosity and Pore Size Distribution of Mesoporous Silica Films Investigated by Positron Annihilation Lifetime Spectroscopy and Ellipsometric Porosimetry. Materials. 2021; 14(12):3371. https://doi.org/10.3390/ma14123371
Chicago/Turabian StyleXiong, Bangyun, Jingjing Li, Chunqing He, Jiale Lai, Xiangjia Liu, and Tao Huang. 2021. "Open Porosity and Pore Size Distribution of Mesoporous Silica Films Investigated by Positron Annihilation Lifetime Spectroscopy and Ellipsometric Porosimetry" Materials 14, no. 12: 3371. https://doi.org/10.3390/ma14123371
APA StyleXiong, B., Li, J., He, C., Lai, J., Liu, X., & Huang, T. (2021). Open Porosity and Pore Size Distribution of Mesoporous Silica Films Investigated by Positron Annihilation Lifetime Spectroscopy and Ellipsometric Porosimetry. Materials, 14(12), 3371. https://doi.org/10.3390/ma14123371
 
         
                                                
