Effect of Grinding and the Mill Type on Magnetic Properties of Carboxylated Multiwall Carbon Nanotubes
Abstract
:1. Introduction
2. Materials and Methods
2.1. Sample Preparation
2.2. Methods
- (i)
- Mössbauer spectroscopy (spectra were recorded at a home-made cryostat (Kraków, Poland) at 85 K, 220 K and 295 K; ΔT = 0.1 K; a source of γ—radiation with an energy of 14.4 keV: 57Co(Rh); an absorption spectrum of α-Fe at room temperature was used for the calibration).
- (ii)
- the Vibrating Sample Magnetometer (VSM) option of a 9 T Quantum Design Physical Property Measurement System (PPMS), (Quantum Design North America, San Diego, California); (temperature measurements within a wide range from 3 K to 350 K; the external field (μ0H) used: up to ± 8 T).
- (iii)
- a high-resolution transmission electron microscope (TEM), G2 F20X-Twin 200 kV, (FEI, Brno, Czech Republic) equipped with a Si(Li) detector SUTW, 136 eV (EDAX, Mahwah, USA) for recording of energy dispersive X-ray spectra (EDX).
- (iv)
- Inductively Coupled Plasma—Optical Emission Spectrometer (ICP-OES), Optima 7000 DV ICP-EOS (PerkinElmer, Waltham, MA, USA).
3. Results
3.1. Mössbauer Experiments
3.1.1. The Control Group of MWCNTs
3.1.2. MWCNTs Ground in the Agate Mill
3.1.3. MWCNTs Ground in the Steel Mill
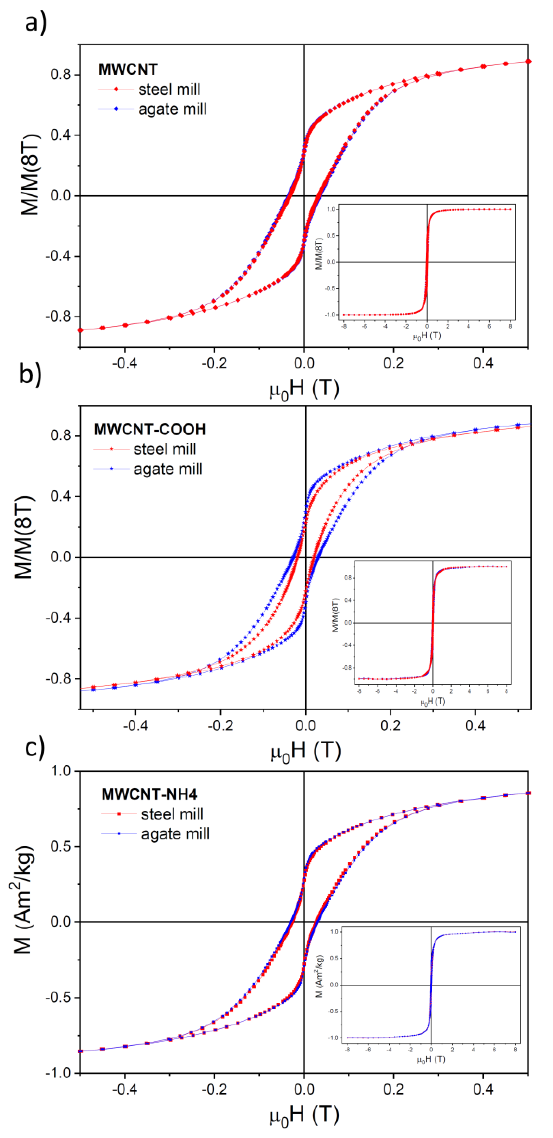
3.2. VSM Experiments
3.3. TEM Images
4. Discussion
4.1. Characterization of Magnetic Properties of Fe-NPs Embedded Inside the Carbon Matrix of MWCNTs
4.2. Unique Effects of Milling on the Magnetic Properties of MWCNTs-COOH
5. Conclusions
Supplementary Materials
Author Contributions
Funding
Institutional Review Board Statement
Informed Consent Statement
Data Availability Statement
Conflicts of Interest
Nomenclature
| CNTs | carbon nanotubes |
| MWCNTs | multiwall carbon nanotubes |
| SWCNTs | singlewall carbon nanotubes |
| Fe-NPs | iron nanoparticles |
| MAMs | microwave absorption materials |
| VSM | vibrating sample magnetometer |
| VSM | vibrating sample magnetometer |
| PPMS | physical property measurement system |
| TEM | transmission electron microscope |
| EDX | energy dispersive X-ray spectroscopy |
| ICP-OES | inductively coupled plasma—optical emission spectrometer |
| MD method | microwave digestion method |
| LAS | law of approach to saturation |
| EMI | electromagnetic interface |
| IS | isomer shift related to the metallic Fe [mm/s] |
| QS | quadrupole splitting [mm/s] |
| Hhf | hyperfine magnetic field [T] |
| ∆Q | quadrupole splitting distribution [mm/s] |
| ∆H | magnetic field distribution [T] |
| C | relative contribution [%] |
| Γ | line width [mm/s] |
| Γ | line width [mm/s] |
| IS | isomer shift related to the metallic Fe [mm/s] |
| dSM | diameter of NPs estimated from Mössbauer data |
| VkB | volume of a particle [m3]Boltzmann constant, 1.380649x10-23 J/K |
| M | mass magnetization [Am2/kg] |
| MS | saturation magnetization [Am2/kg] |
| Mr | remanence, remanent field [Am2/kg] |
| μ0Hc | coercivity, coercive field [T] |
| ΔHc | differences between the coercive fields [T] |
| μ0H | external field [T] |
| μ0 | vacuum magnetic permeability, 4π × 10−7 H/m |
| μ | magnetic moment [Am2] |
| (BH)max | maximum energy product [J/m3] |
| K | magnetocrystalline anisotropy energy [J/m3] |
| Keff | effective magnetic anisotropy constant [J/m3] |
| χp | paramagnetic susceptibility [m3/kg] |
| Kd | shape anisotropy constant [J/m3] |
| Nc, Na | demagnetization factors |
| dc | critical diameter [m] |
| dt | threshold diameter [m] |
| lK | crystalline anisotropy length [m] |
| lex | magnetostatic exchange length [m] |
| lKeff | effective anisotropy length [m] |
| A | exchange-stiffness constant [J/m] |
| T | temperature [K] |
| TB | blocking temperature [K] |
| TC | Curie temperature [K] |
| TC | Curie temperature [K] |
| T0s, T0r | characteristic temperatures above which magnetic ordering disappears [K] |
References
- Iijima, S. Helical microtubules of graphitic carbon. Nature 1991, 354, 56–58. [Google Scholar] [CrossRef]
- Baughman, R.H.; Zakhidov, A.A.; Heer, W.A. Carbon nanotubes—The route toward applications. Science 2002, 297, 787–792. [Google Scholar] [CrossRef] [PubMed] [Green Version]
- Lung, I.; Soran, M.-L.; Stegarescu, A.; Opris, O.; Gutoiu, S.; Leostean, C.; Lazar, M.D.; Kacso, I.; Silipas, T.-D.; Porav, A.S. Evaluation of CNT-COOH/MnO2/Fe3O4 nanocomposite for ibuprofen and paracetamol removal from aqueous solutions. J. Hazard. Mater. 2021, 403. [Google Scholar] [CrossRef] [PubMed]
- Wu, K.; Su, D.; Liu, J.; Saha, R.; Wang, J.-P. Magnetic nanoparticles in nanomedicine: A review of recent advances. Nanotechnology 2019, 30. [Google Scholar] [CrossRef] [Green Version]
- Li, X.; Ni, L.; Zhou, J.; Xu, L.; Lu, C.; Yang, G.; Ding, W.; Hou, W. Encapsulation of Fe nanoparticles into an N-doped carbon nanotube/nanosheet integrated hierarchical architecture as an efficient and ultrastable electrocatalyst for the oxygen reduction reaction. Nanoscale 2020, 12, 13987–13995. [Google Scholar] [CrossRef]
- Zhao, Y.; Huo, D.; Jiang, L.; Zhou, S.; Yang, M.; Hou, C. Synthesis of dopamine-derived N-doped carbon nanotubes/Fe 3 O 4 composites as enhanced electrochemical sensing platforms for hydrogen peroxide detection. Mikrochim. Acta 2020, 187. [Google Scholar] [CrossRef]
- Wang, R.; Qi, X.; Xie, R.; Gong, X.; Deng, C.; Zhong, W. Constructing heterostructural Fe@Fe3C@carbon nanotubes/reduced graphene oxide nanocomposites as lightweight and high-efficiency microwave absorbers. J. Mater. Chem. C 2020, 8, 14515–14522. [Google Scholar] [CrossRef]
- Dyke, C.A.; Tour, J.M. Overcoming the insolubility of carbon nanotubes through high degrees of sidewall functionalization. Chem. Eur. J. 2004, 10, 813–817. [Google Scholar] [CrossRef]
- Jamrozik, A.; Mazurkiewicz, M.; Małolepszy, A.; Stobiński, L.; Matlak, K.; Korecki, J.; Kurzydłowski, K.J.; Burda, K. Mössbauer spectroscopy analysis of iron compounds in carboxylated multiwall carbon nanotubes and their ammonium salt. Phys. Status Solidi 2011, 208, 1783–1786. [Google Scholar] [CrossRef]
- Chen, J.; Hamon, M.A.; Hu, H.; Chen, Y.; Rao, A.M.; Eklund, P.C.; Haddon, R.C. Solution properties of single-walled carbon nanotubes. Science 1998, 282, 95–98. [Google Scholar] [CrossRef]
- Dyke, C.A.; Tour, J.M. Solvent-free functionalization of carbon nanotubes. J. Am. Chem. Soc. 2003, 125, 1156–1157. [Google Scholar] [CrossRef]
- Falvo, M.R.; Clary, G.J.; Taylor II, R.M.; Chi, V.; Brooks, F.P.; Washburn, S.; Superfine, R. Bending and buckling of carbon nanotubes under large strain. Nature 1997, 389, 582–584. [Google Scholar] [CrossRef]
- Krishnan, K.M. Biomedical Nanomagnetics: A Spin Through Possibilities in Imaging, Diagnostics, and Therapy. IEEE Trans. Magn. 2010, 46, 2523–2558. [Google Scholar] [CrossRef] [Green Version]
- Qin, L.; Lv, W.; Wei, W.; Kang, F.; Zhai, D.; Yang, Q.-H. Oxygen-enriched carbon nanotubes as a bifunctional catalyst promote the oxygen reduction/evolution reactions in Li-O2 batteries. Carbon 2019, 141, 561–567. [Google Scholar] [CrossRef]
- Stolar, M.; Baumgartner, T. Organic n-type materials for charge transport and charge storage applications. Phys. Chem. Chem. Phys. 2013, 15, 9007–9024. [Google Scholar] [CrossRef]
- De Volder, M.F.L.; Tawfick, S.H.; Baughman, R.H.; Hart, A.J. Carbon nanotubes: Present and future commercial applications. Science 2013, 339, 535–539. [Google Scholar] [CrossRef] [Green Version]
- Borowiak-Palen, E.; Mendoza, E.; Bachmatiuk, A.; Rummeli, M.H.; Gemming, T.; Nogues, J.; Skumryev, V.; Kalenczuk, R.J.; Pichler, T.; Silva, S.R.P. Iron filled single-wall carbon nanotubes—A novel ferromagnetic medium. Chem. Phys. Lett. 2006, 421, 129–133. [Google Scholar] [CrossRef]
- Müller, C.; Hampel, S.; Elefant, D.; Biedermann, K.; Leonhardt, A.; Ritschel, M.; Büchner, B. Iron filled carbon nanotubes grown on substrates with thin metal layers and their magnetic properties. Carbon 2006, 44, 1746–1753. [Google Scholar] [CrossRef]
- Krishnan, K.M.; Pakhomov, A.B.; Bao, Y.; Blomqvist, P.; Chun, Y.; Gonzales, M.; Griffin, X.J.; Roberts, B.K. Nanomagnetism and spin electronics: Materials, microstructure and novel properties. J. Mater. Sci. 2006, 41, 793–815. [Google Scholar] [CrossRef]
- Saito, Y. Nanoparticles and filled nanocapsules. Carbon 1995, 33, 979–988. [Google Scholar] [CrossRef]
- Perez-Cabero, M.; Taboada, J.B.; Guerrero-Ruiz, A.; Overweg, A.R.; Rodriguez-Ramos, I. The role of alpha-iron and cementite phases in the growing mechanism of carbon nanotubes: A 57Fe Mössbauer spectroscopy study. Phys. Chem. Chem. Phys. 2006, 8, 1230–1235. [Google Scholar] [CrossRef]
- Benjamin, J.S. Dispersion strengthened superalloys by mechanical alloying. Metall. Mater. Trans. 1970, 1, 2943–2951. [Google Scholar] [CrossRef]
- Kneller, E.F.; Hawig, R. The Exchange-Spring Magnet: A New Material Principle for Permanent Magnets. IEEE Trans. Magn. 1991, 27, 3588–3600. [Google Scholar] [CrossRef]
- You, J.; Meng, Q.; Zhou, J.; Guo, Y. Magnetic properties and air stability of BaFe12O19/Fe5C2 composites fabricated through cryogenic ball milling. Ceram. Int. 2019, 45, 15730–15735. [Google Scholar] [CrossRef]
- Orge, C.A.; Soares, G.P.; Faria, J.L.; Pereira, R. Synthesis of TiO2-Carbon Nanotubes through ball-milling method for mineralization of oxamic acid (OMA) by photocatalytic ozonation. J. Environ. Chem. Eng. 2017, 5, 5599–5607. [Google Scholar] [CrossRef]
- Skomski, R.; Coey, J.M.D. Giant energy product in nanostructured two-phase magnets. Phys. Rev. B Condens. Matter 1993, 48, 15812–15816. [Google Scholar] [CrossRef] [Green Version]
- Zeng, H.; Li, J.; Liu, J.P.; Wang, Z.L.; Sun, S. Exchange-coupled nanocomposite magnets by nanoparticle self-assembly. Nature 2002, 420, 395–398. [Google Scholar] [CrossRef]
- Datsyuk, A.; Trotsenko, S.; Trakakis, G.; Boden, A.; Vyzas-Asimakopoulos, K.; Parthenios, J.; Galiotis, C.; Reich, S.; Papagelis, K. Thermal properties enhancement of epoxy resins by incorporating polybenzimidazole nanofibers filled with graphene and carbon nanotubes as reinforcing material. Polym. Test. 2020, 82. [Google Scholar] [CrossRef]
- Naoui, Y.; Settar, A.; Chetehouna, K.; Bouleklab, M.C.; Revo, S.; Hamamda, S. Effect of multiwall carbon nanotube (MWCNT) content on thermal and structural properties enhancement of FeCu–MWCNT nanocomposites synthesized by high-energy ball milling. Appl. Phys. A 2020, 126. [Google Scholar] [CrossRef]
- Su, Y.; Zhou, F.; Wei, X.; Jing, D.; Zhang, X.; Zhang, S. Enhanced mechanical and electrical properties of carbon fiber/poly(ether ether ketone) laminates via inserting carbon nanotubes interleaves. J. Appl. Polym. Sci. 2019, 137. [Google Scholar] [CrossRef]
- Rancourt, D.G.; Ping, J.Y. Voigt-based methods for arbitrary-shape static hyperfine parameter distributions in Mössbauer spectroscopy. Nucl. Instrum. Methods Phys. Res. 1991, 58, 85–97. [Google Scholar] [CrossRef]
- Avramescu, M.-L.; Rasmussen, P.E.; Chénier, M. Determination of Metal Impurities in Carbon Nanotubes Sampled Using Surface Wipes. J. Anal. Methods Chem. 2016, 2016. [Google Scholar] [CrossRef] [PubMed]
- Wilkinson, C.; Battle, P.D.; Hope, D.A.O.; Cheetham, A.K.; Long, G.J. Polarized Neutron Diffraction and Mossbauer-Effect Study of the Magnetic Ordering in Wüstite, FeyO. Inorg. Chem. 1984, 23, 3136–3141. [Google Scholar] [CrossRef]
- Redl, F.X.; Black, C.T.; Papaefthymiou, G.C.; Sandstrom, R.L.; Yin, M.; Zeng, H.; Murray, C.B.; O’Brien, S.P. Magnetic, Electronic, and Structural Characterization of Nonstoichiometric Iron Oxides at the Nanoscale. J. Am. Chem. Soc. 2004, 126, 14583–14599. [Google Scholar] [CrossRef]
- Couet, S.; Schlage, K.; Ruffer, R.; Stankov, S.; Diederich, T.; Laenens, B.; Rohlsberger, R. Stabilization of Antiferromagnetic Order in FeO Nanolayers. Phys. Rev. Lett. 2009, 103. [Google Scholar] [CrossRef] [Green Version]
- Vandenberghe, R.E.; De Grave, E.; Landuyt, C.; Bowen, L.H. Some aspects concerning characterization of iron oxides and hydroxides in soil and clays. Hyperfine Interact. 1990, 53, 175–196. [Google Scholar] [CrossRef]
- Liu, X.-W.; Zhao, S.; Meng, Y.; Peng, Q.; Dearden, A.K.; Huo, C.-F.; Yang, Y.; Li, Y.-W.; Wen, X.-D. Mössbauer Spectroscopy of Iron Carbides: From Prediction to Experimental Confirmation. Sci. Rep. 2016, 6. [Google Scholar] [CrossRef] [Green Version]
- de Resende, V.G.; Peigney, A.; de Grave, E.; Laurent, C. In situ high-temperature Mössbauer spectroscopic study of carbon nanotube–Fe–Al2O3 nanocomposite powder. Thermochim. Acta 2009, 494, 86–93. [Google Scholar] [CrossRef] [Green Version]
- Jambor, J.L.; Dutrizac, J.E. Occurrence and constitution of natural and synthetic ferrihydrite, a widespread iron oxyhydroxide. Chem. Rev. 1998, 98, 2549–2586. [Google Scholar] [CrossRef]
- Murad, E.; Bowen, L.H.; Long, G.J.; Quin, G. The influence of crystallinity on magnetic ordering in natural ferrihydrites. Clay Miner. 1988, 23, 161–173. [Google Scholar] [CrossRef]
- Greenwood, N.N.; Gibb, T.C. Mössbauer Spectroscopy; Springer: Dordrecht, The Netherlands, 1971; p. 659. [Google Scholar]
- Bhowmik, R.N.; Saravanan, A. Surface magnetism, Morin transition, and magnetic dynamics in antiferromagnetic α-Fe2O3 (hematite) nanograins. J. App. Phys. 2010, 107. [Google Scholar] [CrossRef]
- Jamrozik, A.; Przewoźnik, J.; Mazurkiewicz, M.; Małolepszy, A.; Stobiński, A.; Trykowski, G.; Habina, I.; Matlak, K.; Korecki, J.; Kapusta, C.; et al. Influence of iron contaminations on local and bulk magnetic properties of nonfunctionalized and functionalized multi-wall carbon nanotubes. Phys. Status Solidi. 2014, 211, 661–669. [Google Scholar] [CrossRef]
- Herbst, J.F.; Pinkerton, F.E. Law of approach to saturation for polycrystalline ferromagnets: Remanent initial state. Phys. Rev. B Condens. Matter 1998, 57, 10733–10739. [Google Scholar] [CrossRef]
- Kneller, E. Ferromagnetismus; Springer: Berlin/Heidelberg, Germany, 1962. [Google Scholar] [CrossRef]
- Hubert, A.; Schäfer, R. Magnetic Domains: The Analysis of Magnetic Microstructures; Springer: Berlin/Heidelberg, Germany, 1998. [Google Scholar] [CrossRef]
- Vereda, F.; de Vicente, J.; Hidalgo-lvarez, R. Physical Properties of Elongated Magnetic Particles: Magnetization and Friction Coefficient Anisotropies. ChemPhysChem 2009, 10, 1165–1179. [Google Scholar] [CrossRef]
- Lisjak, D.; Mertelj, A. Anisotropic magnetic nanoparticles: A review of their properties, syntheses and potential applications. Prog. Mater. Sci. 2018, 95, 286–328. [Google Scholar] [CrossRef]
- Bhadeshia, H.K.D.H. Cementite. Int. Mater. Rev. 2020, 65, 1–27. [Google Scholar] [CrossRef] [Green Version]
- Ishigaki, T. Determination of the density of cementite. Sci. Rep. Tôhoku Univ. 1927, 16, 295–302. [Google Scholar]
- Michel, F.M.; Barrón, V.; Torrent, J.; Morales, M.P.; Serna, C.J.; Boily, J.-F.; Liu, Q.; Ambrosini, A.; Cismasu, A.C.; Brown, G.E., Jr. Ordered ferrimagnetic form of ferrihydrite reveals links among structure, composition, and magnetism. PNAS 2010, 107, 2787–2792. [Google Scholar] [CrossRef] [Green Version]
- Chatterjee, B.K.; Ghosh, C.K.; Chattopadhyay, K.K. Temperature dependence of magnetization and anisotropy in uniaxial NiFe2O4 nanomagnets: Deviation from the Callen-Callen power law. J. Appl. Phys. 2014, 116. [Google Scholar] [CrossRef]
- Hendriksen, P.V.; Linderoth, S.; Lindgard, P.-A. Finite-size modifications of the magnetic properties of clusters. Phys. Rev. B Condens. Matter 1993, 48, 7259–7273. [Google Scholar] [CrossRef] [Green Version]
- Stoner, E.C.; Wohlfarth, E.P. A mechanism of magnetic hysteresis in heterogeneous alloys. Philos. Trans. R. Soc. A 1948, 240, 599–642. [Google Scholar] [CrossRef]
- Chen, J.; Kuno, A.; Matsuo, M.; Tsukada, T.; Tamura, T.; Osato, K.; Shan, J.Y.; Munekane, F.; Kim, Y.A.; Hayashi, T.; et al. Removal of entrapped iron compounds from isothermally treated catalytic chemical vapor deposition derived multi-walled carbon nanotubes. Carbon 2008, 46, 391–396. [Google Scholar] [CrossRef] [Green Version]
- Kim, Y.A.; Hayashi, T.; Endo, M.; Kaburagi, Y.; Tsukada, T.; Shan, J.; Osato, K.; Tsuruoka, S. Synthesis and structural characterization of thin multiwalled carbon nanotubes with a partially facetted cross section by a floating reactant method. Carbon 2005, 43, 2243–2250. [Google Scholar] [CrossRef] [Green Version]
- Marco, J.F.; Gancedo, J.R.; Hernando, A.; Crespo, P.; Prados, C.; González, J.M.; Grobert, N.; Terrones, M.; Walton, D.R.M.; Kroto, H.W. Mössbauer study of iron containing carbon nanotubes. Hyperfine Interact. 2002, 139–140, 535–542. [Google Scholar] [CrossRef]
- Prados, C.; Crespo, P.; González, J.M.; Hernando, A.; Marco, J.F.; Gancedo, R.; Grobert, N.; Terrones, M.; Walton, R.M.; Kroto, H.W. Hysteresis shift in Fe-filled carbon nanotubes due to γ-Fe. Phys. Rev. B Condens. Matter 2002, 65. [Google Scholar] [CrossRef] [Green Version]
- Ruskov, T.; Spirov, I.; Ritschel, M.; Müller, C.; Leonhardt, A.; Ruskov, R. Mössbauer morphological analysis of Fe-filled multiwalled carbon nanotube samples. J. Appl. Phys. 2006, 100. [Google Scholar] [CrossRef]
- Hampel, S.; Leonhardt, A.; Selbmann, D.; Biedermann, K.; Elefant, D.; Müller, C.; Gemming, T.; Büchner, B. Growth and characterization of filled carbon nanotubes with ferromagnetic properties. Carbon 2006, 44, 2316–2322. [Google Scholar] [CrossRef]
- Leonhardt, A.; Ritschel, M.; Kozhuharova, R.; Graff, A.; Muhl, T.; Huhle, R.; Monch, I.; Elefant, D.; Schneider, C.M. Synthesis and properties of filled carbon nanotubes. Diam. Relat. Mater. 2003, 12, 790–793. [Google Scholar] [CrossRef]
- Haneda, K.; Morrish, A.H. On the hyperfine field of g—Fe2O3 small particles. Phys. Lett. A 1977, 64, 259–262. [Google Scholar] [CrossRef]
- Keller, R.; Schmidbauer, E. Magnetic properties and rotational hysteresis losses of oxidized ≈ 250 nm Fe3O4 particles. J. Magn. Magn. Mater. 1996, 162, 85–90. [Google Scholar] [CrossRef]
- Caizer, C. Nanoparticle Size Effect on Some Magnetic Properties. In Handbook of Nanoparticles; Springer: Cham, Switzerland, 2015. [Google Scholar] [CrossRef]
- Cowburn, R.P. Property variation with shape in magnetic nanoelements. J. Phys. D Appl. Phys. 2000, 33, R1–R16. [Google Scholar] [CrossRef] [Green Version]
- Kolhatkar, A.G.; Jamison, A.C.; Litvinov, D.; Willson, R.C.; Lee, T.R. Tuning the Magnetic Properties of Nanoparticles. Int. J. Mol. Sci. 2013, 14, 15977–16009. [Google Scholar] [CrossRef] [Green Version]
- Cao, H.; Wang, G.; Zhang, L.; Liang, Y.; Zhang, S.; Zhang, X. Shape and Magnetic Properties of Single-Crystalline Hematite (a-Fe2O3) Nanocrystals. ChemPhysChem 2006, 7, 1897–1901. [Google Scholar] [CrossRef] [PubMed]
- Zeleňáková, A.; Kováč, J.; Zeleňák, V. Magnetic properties of Fe2O3 nanoparticles embedded in hollows of periodic nanoporous silica. J. Appl. Phys. 2010, 108. [Google Scholar] [CrossRef] [Green Version]
- Bean, C.P. Hysteresis Loops of Mixtures of Ferromagnetic Micropowders. J. Appl. Phys. 1955, 26, 1381–1383. [Google Scholar] [CrossRef]
- Frei, E.H.; Shtrikman, S.; Treves, D. Critical Size and Nucleation Field of Ideal Ferromagnetic Particles. Phys. Rev. B Condens. Matter 1957, 106, 446–455. [Google Scholar] [CrossRef]
- Hofer, L.J.E.; Cohn, E.M. Saturation Magnetizations of Iron Carbides. J. Am. Chem. Soc. 1959, 81, 1576–1582. [Google Scholar] [CrossRef]
- Kaeswurm, B.; Friemert, K.; Gürsoy, M.; Skokov, K.P.; Gutfleisch, O. Direct measurement of the magnetocaloric effect in cementite. J. Magn. Magn. Mater. 2016, 410, 105–108. [Google Scholar] [CrossRef]
- Abo, G.S.; Hong, Y.-K.; Park, J.; Lee, J.; Lee, W.; Choi, B.-C. Definition of Magnetic Exchange Length. IEEE Trans. Magn. 2013, 49, 4937–4939. [Google Scholar] [CrossRef]
- Brown, W.F. Criterion for uniform magnetization. Phys. Rev. 1957, 105, 1479–1482. [Google Scholar] [CrossRef]
- Mulazzi, M.; Chainani, A.; Takata, Y.; Tanaka, Y.; Nishino, Y.; Tamasaku, K.; Ishikawa, T.; Takeuchi, T.; Ishida, Y.; Senba, Y.; et al. Temperature dependence of the exchange stiffness in FePd(001) thin films: Deviation from the empirical law A(T)∝MS 2 at intermediate temperatures. Phys. Rev. B Condens. Matter 2008, 77. [Google Scholar] [CrossRef]
- Moreno, R.; Evans, R.F.L.; Khmelevskyi, S.; Munoz, M.C.; Chantrell, R.W.; Chubykalo-Fesenko, O. Temperature-dependent exchange stiffness and domain wall width in Co. Phys. Rev. B Condens. Matter 2016, 94. [Google Scholar] [CrossRef] [Green Version]
- Niitsu, K.; Xu, X.; Umetsu, R.Y.; Kainuma, R.; Harada, K. Temperature dependence of exchange stiffness in an off-stoichiometric Ni2MnIn Heusler alloy. Phys. Rev. B Condens. Matter 2020, 101. [Google Scholar] [CrossRef]
- Hallstedt, B.; Djurovic, D.; von Appen, J.; Dronskowski, R.; Dick, A.; Körmann, F.; Hickel, T.; Neugebauer, J. Thermodynamic properties of cementite (Fe3C). CALPHAD 2010, 34, 129–133. [Google Scholar] [CrossRef]
- Smith, S.W.J.; White, H.W.; Barke, S.G. The Magnetic Transition Temperature of Cementite. Proc. Phys. Soc. Lond. 1911, 24, 62–69. [Google Scholar] [CrossRef] [Green Version]
- Yamamoto, S.; Terai, T.; Fukuda, T.; Sato, K.; Kakeshita, T.; Horii, S.; Ito, M.; Yonemura, M. Magnetocrystalline anisotropy of cementite pseudo single crystal fabricated under a rotating magnetic field. J. Magn. Magn. Mater. 2018, 451, 1–4. [Google Scholar] [CrossRef]
- Hou, T.P.; Wu, K.M.; Liu, W.M.; Peet, M.J.; Hulme-Smith, C.N.; Guo, L.; Zhuang, L. Magnetism and high magnetic-field-induced stability of alloy carbides in Fe-based materials. Sci. Rep. 2018, 8. [Google Scholar] [CrossRef] [Green Version]
- Belmeguenai, M.; Apalkov, D.; Roussigné, Y.; Chérif, M.; Stashkevich, A.; Feng, G.; Tang, X. Exchange stiffness and damping constants in diluted CoxFeyB1−x−y thin films. J. Phys. D Appl. Phys. 2017, 50. [Google Scholar] [CrossRef]
- Mørup, S.; Topsøe, H. Mössbauer studies of thermal excitations in magnetically ordered microcrystals. J. Appl. Phys. 1976, 11, 63–66. [Google Scholar] [CrossRef]
- Dujardin, E.; Ebbesen, T.W.; Hiura, H.; Tanigaki, K. Capillarity and Wetting of Carbon Nanotubes. Science 1994, 265, 1850–1852. [Google Scholar] [CrossRef]
- Fujima, N.; Oda, T. Structures and magnetic properties of iron chains encapsulated in tubal carbon nanocapsules. Phys. Rev. B Condens. Matter 2005, 71. [Google Scholar] [CrossRef] [Green Version]
- Weissmann, M.; García, G.; Kiwi, M.; Ramírez, R.; Fu, C.C. Theoretical study of iron-filled carbon nanotubes. Phys. Rev. B Condens. Matter 2006, 73. [Google Scholar] [CrossRef]
- Sajitha, E.P.; Prasad, V.; Subramanyam, S.V.; Mishra, A.K.; Sarkar, S.; Bansal, C. Size-dependent magnetic properties of iron carbide nanoparticles embedded in a carbon matrix. J. Phys. Condens. Matter 2007, 19. [Google Scholar] [CrossRef]
- Bondino, F.; Magnano, E.; Ciancio, R.; Castellarin-Cudia, C.; Barla, E.C.A.; Yakhou-Harris, F.; Rupesinghe, N.; Cepek, C. Stable Fe Nanomagnets Encapsulated Inside Vertically-Aligned Carbon Nanotubes. Phys. Chem. Chem. Phys. 2017, 19, 32079–32085. [Google Scholar] [CrossRef] [PubMed]
- Gangwar, A.; Varghese, S.S.; Meena, S.S.; Prajapat, C.L.; Gupta, N.; Prasad, N.K. Fe3C nanoparticles for magnetic hyperthermia application. J. Magn. Magn. Mater. 2019, 481, 251–256. [Google Scholar] [CrossRef]
- Pham-Huu, C.; Keller, N.; Estournes, C.; Ehret, G.; Greneche, J.M.; Ledoux, M.J. Microstructural investigation and magnetic properties of CoFe2O4 nanowires synthesized inside carbon nanotubes. Phys. Chem. Chem. Phys. 2003, 5, 3716–3723. [Google Scholar] [CrossRef]
- Matsubara, A. Chemical equilibrium between iron, carbon and oxygen. Trans. Am. Inst. Min. Metall. Pet. Eng. 1921, 67, 1–53. [Google Scholar]
- Wang, X.; Zhang, P.; Gao, J.; Chen, X.; Yang, H. Facile synthesis and magnetic properties of Fe3C/C nanoparticles via a sol-gel process. Dye. Pigm. 2015, 112, 305–310. [Google Scholar] [CrossRef]
- McEniry, E.J.; Hickel, T.; Neugebauer, J. Ab initio simulation of hydrogeninduced decohesion in cementite-containing microstructures. Acta Mater. 2018, 150, 53–58. [Google Scholar] [CrossRef]
- Vigdorovich, V.I.; D’yachkova, T.P.; Pupkova, O.L.; Tsygankova, L.E. Interrelation between Kinetics of the Hydrogen Ion Reduction on Iron and the Hydrogen Diffusion Flux into Carbon Steel in Acidic Solutions. Russ. J. Electrochem. 2001, 37, 1249–1257. [Google Scholar] [CrossRef]







| Grinding Jar Material | Agate | Stainless Steel |
|---|---|---|
| Volume | 250 mL | 500 mL |
| Inner diameter | 76 mm | 100 mm |
| Designation | SiO2 | X90CrMoV18 |
| Hardness | 6.5–7.0 Mohs | 265 HB |
| Tensile strength | − | ≤925 N/mm2 |
| Density | 2.65 g/mL | 7.7 g/mL |
| Grinding Ball material | Agate | Stainless Steel |
| Grinding Ball diameter | 10 mm | 10 mm |
| MWCNTs | Hc [T] | Mr [Am2/kg Fe] | Ms1 [Am2/kg Fe] | Mr/Ms | Keff1 [kJ/m3] | Kd2 [kJ/m3] | |
|---|---|---|---|---|---|---|---|
| control | 3 K | ||||||
| as prepared | 0.282 | 19.6 | 55 | 0.359 | 192 | 54 ÷ 108 | |
| -COOH | 0.176 | 6.0 | 89 | 0.067 | 538 | 145 ÷ 290 | |
| -COONH4 | 0.124 | 4.6 | 114 | 0.040 | 682 | 235 ÷ 471 (172 ÷ 344) | |
| 295 K | |||||||
| as prepared | 0.032 | 9.1 | 39 | 0.233 | 114 | 27 ÷ 55 | |
| -COOH | 0.029 | 3.1 | 42 | 0.074 | 290 | 32 ÷ 63 | |
| -COONH4 | 0.027 | 2.3 | 51 | 0.044 | 380 | 48 ÷ 96 (35 ÷ 70) | |
| agate mill | 3 K | ||||||
| as prepared | 0.276 | 18.1 | 51 | 0.358 | 159 | 46 ÷ 93 | |
| -COOH | 0.180 | 3.4 | 75 | 0.045 | 450 | 102 ÷ 203 | |
| -COONH4 | 0.140 | 5.3 | 124 | 0.043 | 701 | 280 ÷ 560 (205 ÷ 410) | |
| 295 K | |||||||
| as prepared | 0.034 | 8.5 | 36 | 0.236 | 104 | 24 ÷ 48 | |
| -COOH | 0.027 | 1.7 | 41 | 0.041 | 289 | 30 ÷ 60 | |
| -COONH4 | 0.028 | 2.6 | 55 | 0.048 | 277 | 55 ÷ 111 (40 ÷ 81) | |
| steel mill | 3 K | ||||||
| as prepared | 0.268 | 17.4 | 51 | 0.343 | 162 | 47 ÷ 94 | |
| -COOH | 0.045 | 5.9 | 159 | 0.037 | 686 | 460 ÷ 920 (336 ÷ 673) | |
| -COONH4 | 0.127 | 6.0 | 114 | 0.053 | 616 | 234 ÷ 468 (171 ÷ 342) | |
| 295 K | |||||||
| as prepared | 0.032 | 9.0 | 36 | 0.249 | 98 | 24 ÷ 48 | |
| -COOH | 0.019 | 3.1 | 53 | 0.059 | 313 | 51 ÷ 101 (37 ÷ 74) | |
| -COONH4 | 0.026 | 2.8 | 51 | 0.056 | 317 | 47 ÷ 93 (34 ÷ 68) | |
| MWCNTs | dSM [nm] | lKeff [nm] | lex [nm] | lKeff [nm] | lex [nm] | |
|---|---|---|---|---|---|---|
| control | 3 K | 295 K | ||||
| as prepared | 11.3 | 13.0 | 17.3 ÷ 24.4 | 9.6 12.0 * | 17.9 ÷ 25.3 22.5 ÷ 31.8 * | |
| -COOH | 9.3 | 9.9 | 13.5 ÷ 19.1 | 5.0 7.4 * | 14.6 ÷ 20.6 21.7 ÷ 30.7 * | |
| -COONH4 | 9.2 | 9.9 | 12.0 ÷ 16.9 | 4.9 7.3 * | 13.0 ÷ 18.3 19.6 ÷ 27.6 * | |
| agate mill | 3 K | 295 K | ||||
| as prepared | 9.1 | 13.7 | 18.0 ÷ 25.4 | 12.5 15.7 * | 18.6 ÷ 26.3 23.3 ÷ 33.0 * | |
| -COOH | 8.2 | 9.9 | 14.8 ÷ 20.9 | 7.2 10.0 * | 15.7 ÷ 22.2 22.0 ÷ 31.1 * | |
| -COONH4 | 8.1 | 10.2 | 11.4 ÷ 16.2 (13.4 ÷ 18.9) | 7.8 11.9 * | 12.4 ÷ 17.6 (14.5 ÷ 20.5) 18.9 ÷ 26.7 * (22.1 ÷ 31.2 *) | |
| steel mill | 3 K | 295 K | ||||
| as prepared | 9.8 | 13.6 | 17.9 ÷ 25.3 | 12.9 16.3 * | 18.5 ÷ 26.2 23.3 ÷ 33.0 * | |
| -COOH | 8.0 | 11.7 | 10.1 ÷ 14.3 (11.8 ÷ 16.7) | 6.4 11.0 * | 11.3 ÷ 16.0 (13.2 ÷ 18.7) 19.3 ÷ 27.3 * (22.5 ÷ 31.9) * | |
| -COONH4 | 8.9 | 10.5 | 12.1 ÷ 17.0 (14.1 ÷ 20.0) | 7.1 10.7 * | 13.1 ÷ 18.5 (15.3 ÷ 21.6) 19.7 ÷ 27.9 * (23.1 ÷ 32.6) * | |
Publisher’s Note: MDPI stays neutral with regard to jurisdictional claims in published maps and institutional affiliations. |
© 2021 by the authors. Licensee MDPI, Basel, Switzerland. This article is an open access article distributed under the terms and conditions of the Creative Commons Attribution (CC BY) license (https://creativecommons.org/licenses/by/4.0/).
Share and Cite
Jamrozik, A.; Przewoznik, J.; Krysiak, S.; Korecki, J.; Trykowski, G.; Małolepszy, A.; Stobiński, L.; Burda, K. Effect of Grinding and the Mill Type on Magnetic Properties of Carboxylated Multiwall Carbon Nanotubes. Materials 2021, 14, 4057. https://doi.org/10.3390/ma14144057
Jamrozik A, Przewoznik J, Krysiak S, Korecki J, Trykowski G, Małolepszy A, Stobiński L, Burda K. Effect of Grinding and the Mill Type on Magnetic Properties of Carboxylated Multiwall Carbon Nanotubes. Materials. 2021; 14(14):4057. https://doi.org/10.3390/ma14144057
Chicago/Turabian StyleJamrozik, Agnieszka, Janusz Przewoznik, Sonia Krysiak, Jozef Korecki, Grzegorz Trykowski, Artur Małolepszy, Leszek Stobiński, and Kvetoslava Burda. 2021. "Effect of Grinding and the Mill Type on Magnetic Properties of Carboxylated Multiwall Carbon Nanotubes" Materials 14, no. 14: 4057. https://doi.org/10.3390/ma14144057
APA StyleJamrozik, A., Przewoznik, J., Krysiak, S., Korecki, J., Trykowski, G., Małolepszy, A., Stobiński, L., & Burda, K. (2021). Effect of Grinding and the Mill Type on Magnetic Properties of Carboxylated Multiwall Carbon Nanotubes. Materials, 14(14), 4057. https://doi.org/10.3390/ma14144057

