Effect of Bainite to Ferrite Yield Strength Ratio on the Deformability of Mesostructures for Ferrite/Bainite Dual-Phase Steels
Abstract
:1. Introduction
2. FEM Model Generation and Analysis
3. Results
3.1. Mechanical Properties of Models with Different
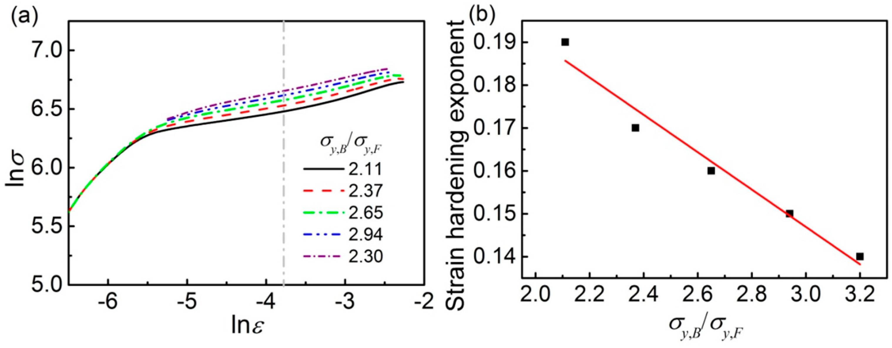
3.2. Effects of on Strain Hardening Behavior
3.3. Effect of on Strain Localizationin the Models
4. Discussion
5. Conclusions
- For mesostructure of the F/B DP steel with different , the yield and tensile strength increase from 565 MPa and 755 MPa to 668 MPa and 859 MPa, respectively, when the increases from 2.11 to 3.20. Simultaneously, the yield ratio increases from 0.748 to 0.778; consequently, the uniform elongation decreases from 10.5% to 8.8%.
- Increasing the strength of bainite enhances the critical stress required for dislocation glide in bainite. As a result, the transition strain from single-phase ferrite deformation to simultaneous deformation of ferrite and bainite, i.e., the strain at which uniform deformation begins, increases the yield strength.
- Increasing the strength of bainite increases the strain localization factor (SLF), especially the local strain, and decreases the deformation compatibility of mesostructure, which decreases the strain hardening exponent and increases the tendency of micro-voids formation; therefore, the uniform elongation decreases.
Author Contributions
Funding
Institutional Review Board Statement
Informed Consent Statement
Data Availability Statement
Conflicts of Interest
References
- Chen, X.W.; Ji, F.; Bai, X.W.; Zhang, H.; Wang, X. Study on physical and chemical properties of X80 Φ1 422 mm × 30.8 mm steel pipe of China-Russia East Natural Gas Pipeline Project. Welded Pipe Tube 2019, 42, 10–17. (In Chinese) [Google Scholar]
- Qiao, G.-Y.; Chen, X.-W.; Zhang, Z.-E.; Han, X.-L.; Wang, X.; Liao, B.; Xiao, F.-R. Mechanical Properties of High-Nb X80 Steel Weld Pipes for the Second West-to-East Gas Transmission Pipeline Project. Adv. Mater. Sci. Eng. 2017, 2017, 1–13. [Google Scholar] [CrossRef] [Green Version]
- Wu, K.; Liu, X.; Zhang, H.; Sui, Y.; Zhang, Z.; Yang, D.; Liu, Y. Fracture response of 1422-mm diameter pipe with double-V groove weld joints and circumferential crack in fusion line. Eng. Fail. Anal. 2020, 115, 104641. [Google Scholar] [CrossRef]
- Li, H.L.; Li, X.; Ji, L.K.; Chen, H.D. Strain-based design for pipeline and development of pipe steels with high deformation resistance. Welded Pipe Tube 2007, 30, 5–11. (In Chinese) [Google Scholar]
- Guagnelli, M.; Ferino, J.; Anelli, E.; Mannucci, G. High-strength line pipes with enhanced deformability. Int. J. Offshore Polar Eng. 2010, 20, 298–305. [Google Scholar]
- Ishikawa, N.; Okatsu, M.; Endo, S.; Kondo, J. Design concept and production of high deformability line pipe, in Proceedings of the Biennial International Pipeline Conference, IPC, 3 (Part A). In Proceedings of the ASME International Pipeline Conference 2006, IPC 2006, Calgary, AB, Canada, 25–29 September 2006; American Society of Mechanical Engineers: New York, NY, USA, 2007; pp. 215–222. [Google Scholar]
- Zhang, X.; Gao, H.; Zhang, X.; Yang, Y. Effect of volume fraction of bainite on microstructure and mechanical properties of X80 pipeline steel with excellent deformability. Mater. Sci. Eng. A 2012, 531, 84–90. [Google Scholar] [CrossRef]
- Zhao, Z.P.; Qiao, G.Y.; Tang, L.; Zhu, H.W.; Liao, B.; Xiao, F.R. Fatigue properties of X80 pipeline steels with ferrite/bainite dual-phase microstructure. Mater. Sci. Eng. A 2016, 657, 96–103. [Google Scholar] [CrossRef]
- Hu, Y.Y.; Zuo, X.R.; Li, R.T.; Wang, Z.W. Comparison of Two Different Rolling Processes on Microstructure and Properties of Ferrite-Bainite Dual-Phase Pipeline Steels. Adv. Mater. Res. 2011, 197–198, 724–729. [Google Scholar] [CrossRef]
- Zhuang, L.I.; Wei, L. Study of microstructure and mechanical properties of hot-rolled ultra-high strength ferrite-bainite dual phase steel. Mater. Sci. Forum. 2018, 921, 208–213. [Google Scholar]
- Sun, M.Y.; Wang, Z.Q.; Wang, X.M.; Shang, C.J.; Misra, R.D.K. The significant effect of non-recrystallization zone reduction on microstructure and mechanical properties in multi-phase steel from the perspective of crystallographic structure and variant pairing. Mate. Sci. Eng. A 2020, 778, 139078. [Google Scholar] [CrossRef]
- Waterschoot, T.; De Cooman, B.; Vanderschueren, D. Influence of run-out table cooling patterns on transformation and mechanical properties of high strength dual phase and ferrite–bainite steels. Ironmak. Steelmak. 2001, 28, 185–190. [Google Scholar] [CrossRef]
- Jiao, D.T.; Cai, Q.W.; Wu, H.B. Effects of cooling process after rolling on microstructure and yield ratio of high-strain pipeline steel X80. Acta Metall. Sin. 2009, 45, 1111–1116. (In Chinese) [Google Scholar]
- Chen, Y.; Wu, Z.; Wu, G.; Wang, N.; Zhao, Q.; Luo, J. Investigation on micromechanism of ferrite hardening after pre-straining with different strain rates of dual-phase steel. Mater. Sci. Eng. A 2020, 802, 140657. [Google Scholar] [CrossRef]
- Ji, L.K.; Li, H.L.; Wang, H.T.; Zhang, J.M.; Zhao, W.Z.; Chen, H.Y.; Li, Y.; Chi, Q. Influence of dual-phase microstructures on the properties of high strength grade line pipes. J. Mater. Eng. Perform. 2014, 23, 3867–3874. [Google Scholar] [CrossRef]
- Qiao, G.Y.; Zhao, Z.T.; Shi, X.B.; Wang, J.S.; Xiao, F.R. Effect of volume fraction of bainite on deformation compatibility of mesostructure for ferrite/bainite dual phase steel. Adv. Mater. Sci. Eng. 2020, 2020, 8159058. [Google Scholar] [CrossRef]
- Zhao, Z.-T.; Wang, X.-S.; Qiao, G.-Y.; Zhang, S.-Y.; Liao, B.; Xiao, F.-R. Effect of bainite morphology on deformation compatibility of mesostructure in ferrite/bainite dual-phase steel: Mesostructure-based finite element analysis. Mater. Des. 2019, 180, 107870. [Google Scholar] [CrossRef]
- Liu, S.; Li, X.; Guo, H.; Shang, C.; Misra, R. Isolating contribution of individual phases during deformation of high strength–high toughness multi-phase pipeline steel. Mater. Sci. Eng. A 2015, 639, 131–135. [Google Scholar] [CrossRef]
- Ma, J.; Feng, F.; Yu, B.Q.; Chen, H.F.; Fan, L.F. Effect of cooling temperature on the microstructure and corrosion behavior of X80 pipeline steel. Int. J. Miner. Metall. Mater. 2020, 27, 347–353. [Google Scholar] [CrossRef]
- Uthaisangsuk, V.; Prahl, U.; Bleck, W. Characterisation of formability behaviour of multiphase steels by micromechanical modeling. Int. J. Fract. 2009, 157, 55–69. [Google Scholar] [CrossRef]
- Basantia, S.K.; Singh, V.; Bhattacharya, A.; Khutia, N.; Das, D. Prediction of tensile behaviour of ferrite-martensite dual phase steel using real microstructure-based RVE simulations. Mater. Today Proc. 2018, 5, 18275–18280. [Google Scholar] [CrossRef]
- Fillafer, A.; Krempaszky, C.; Werner, E. On strain partitioning and micro-damage behavior of dual-phase steels. Mater. Sci. Eng. A 2014, 614, 180–192. [Google Scholar] [CrossRef]
- Kuang, S.; Liu, R.-D.; Kang, Y.-L.; Yu, H. Stress-strain partitioning analysis of constituent phases in dual phase steel based on the modified law of mixture. Int. J. Miner. Met. Mater. 2009, 16, 393–398. [Google Scholar] [CrossRef]
- Bag, A.; Ray, K.K.; Dwarakadasa, E.S. Influence of martensite content and morphologyon tensile and impact properties of high-martensite dual-phase steels. Metall. Mater. Trans. A 1999, 30, 1193–1202. [Google Scholar] [CrossRef]
- Das, D.; Chattopadhyay, P.P. Influence of martensite morphology on the work-hardening behavior of high strength ferrite–martensite dual-phase steel. J. Mater. Sci. 2009, 44, 2957–2965. [Google Scholar] [CrossRef]
- Samuel, F.H. Tensile stress-strain analysis of dual-phase structures in an Mn-Cr-Sisteel. Mater. Sci. Eng. 1987, 92, L1–L4. [Google Scholar] [CrossRef]
- Tang, C.; Shang, C.; Liu, S.; Guan, H.; Misra, R.; Chen, Y. Effect of volume fraction of bainite on strain hardening behavior and deformation mechanism of F/B multi-phase steel. Mater. Sci. Eng. A 2018, 731, 173–183. [Google Scholar] [CrossRef]
- Zhang, C.; Yang, S.; Gong, B.; Deng, C.; Wang, D. Effects of post weld heat treatment (PWHT) on mechanical properties of C-Mn weld metal: Experimental observation and microstructure-based simulation. Mater. Sci. Eng. A 2018, 712, 430–439. [Google Scholar] [CrossRef]
- Alaie, A.; Kadkhodapour, J.; Rad, S.Z.; Asadabad, M.A.; Schmauder, S. Formation and coalescence of strain localized regions in ferrite phase of DP600 steels under uniaxial tensile deformation. Mater. Sci. Eng. A 2015, 623, 133–144. [Google Scholar] [CrossRef]
- Ayatollahi, M.; Darabi, A.; Chamani, H.; Kadkhodapour, J. 3D Micromechanical Modeling of Failure and Damage Evolution in Dual Phase Steel Based on a Real 2D Microstructure. Acta Mech. Solida Sin. 2016, 29, 95–110. [Google Scholar] [CrossRef]
- Korzekwa, D.A.; Matlock, D.K.; Krauss, G. Dislocation substructure as a function of strain in a dual-phase steel. Met. Mater. Trans. A 1984, 15, 1221–1228. [Google Scholar] [CrossRef]








| Models | n | ||||
|---|---|---|---|---|---|
| A | 190 | 0.300 | 0.069 | 780 | 2.11 |
| B | 190 | 0.300 | 0.062 | 863 | 2.37 |
| C | 190 | 0.300 | 0.056 | 976 | 2.65 |
| D | 190 | 0.300 | 0.051 | 1087 | 2.94 |
| E | 190 | 0.300 | 0.047 | 1163 | 3.20 |
| Model | Stage I | Stage II | Stage III | ||||
|---|---|---|---|---|---|---|---|
| A | 2.11 | −6.481 | 0.134 | −2.158 | 0.317 | −18.059 | 0.052 |
| B | 2.37 | −7.807 | 0.114 | −2.618 | 0.276 | −13.498 | 0.069 |
| C | 2.65 | −7.250 | 0.121 | −3.281 | 0.234 | −17.684 | 0.054 |
| D | 2.94 | −7.124 | 0.123 | −4.469 | 0.183 | −18.067 | 0.052 |
| E | 3.20 | −8.771 | 0.102 | −4.896 | 0.170 | −17.352 | 0.054 |
Publisher’s Note: MDPI stays neutral with regard to jurisdictional claims in published maps and institutional affiliations. |
© 2021 by the authors. Licensee MDPI, Basel, Switzerland. This article is an open access article distributed under the terms and conditions of the Creative Commons Attribution (CC BY) license (https://creativecommons.org/licenses/by/4.0/).
Share and Cite
Qiao, G.-Y.; Zhao, Z.-T.; Shi, X.-B.; Shan, Y.-Y.; Gu, Y.; Xiao, F.-R. Effect of Bainite to Ferrite Yield Strength Ratio on the Deformability of Mesostructures for Ferrite/Bainite Dual-Phase Steels. Materials 2021, 14, 5352. https://doi.org/10.3390/ma14185352
Qiao G-Y, Zhao Z-T, Shi X-B, Shan Y-Y, Gu Y, Xiao F-R. Effect of Bainite to Ferrite Yield Strength Ratio on the Deformability of Mesostructures for Ferrite/Bainite Dual-Phase Steels. Materials. 2021; 14(18):5352. https://doi.org/10.3390/ma14185352
Chicago/Turabian StyleQiao, Gui-Ying, Zhong-Tao Zhao, Xian-Bo Shi, Yi-Yin Shan, Yu Gu, and Fu-Ren Xiao. 2021. "Effect of Bainite to Ferrite Yield Strength Ratio on the Deformability of Mesostructures for Ferrite/Bainite Dual-Phase Steels" Materials 14, no. 18: 5352. https://doi.org/10.3390/ma14185352
APA StyleQiao, G.-Y., Zhao, Z.-T., Shi, X.-B., Shan, Y.-Y., Gu, Y., & Xiao, F.-R. (2021). Effect of Bainite to Ferrite Yield Strength Ratio on the Deformability of Mesostructures for Ferrite/Bainite Dual-Phase Steels. Materials, 14(18), 5352. https://doi.org/10.3390/ma14185352

