Influence of Hybrid Sol-Gel Crosslinker on Self-Healing Properties for Multifunctional Coatings
Abstract
:1. Introduction
2. Materials and Methods
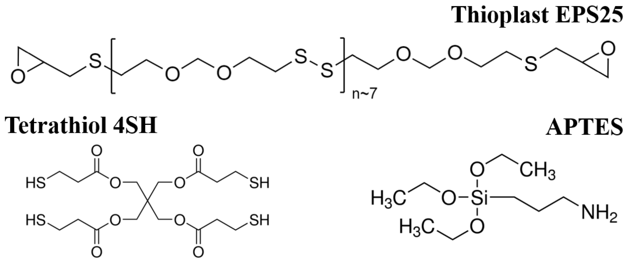
2.1. Materials and Synthesis
2.2. Characterization
3. Results and Discussion
3.1. Chemical and Thermal Characterizations of the Materials
3.2. Self-Healing of Films and Coatings
3.3. Anticorrosive Properties of Coatings
3.4. Discussion on the Effect of the Hybrid Crosslinker
4. Conclusions
Supplementary Materials
Author Contributions
Funding
Institutional Review Board Statement
Informed Consent Statement
Data Availability Statement
Acknowledgments
Conflicts of Interest
References
- Urdl, K.; Kandelbauer, A.; Kern, W.; Müller, U.; Thebault, M.; Zikulnig-Rusch, E. Self-healing of densely crosslinked thermoset polymers—A critical review. Prog. Org. Coat. 2016, 104, 232–249. [Google Scholar] [CrossRef]
- Kahar, N.N.M.N.; Osman, A.; Alosime, E.; Arsat, N.; Azman, N.M.; Syamsir, A.; Itam, Z.; Hamid, Z.A. The Versatility of Polymeric Materials as Self-Healing Agents for Various Types of Applications: A Review. Polymers 2021, 13, 1194. [Google Scholar] [CrossRef] [PubMed]
- Aguirresarobe, R.H.; Nevejans, S.; Reck, B.; Irusta, L.; Sardon, H.; Asua, J.M.; Ballard, N. Healable and self-healing polyurethanes using dynamic chemistry. Prog. Polym. Sci. 2021, 114, 101362. [Google Scholar] [CrossRef]
- Shields, Y.; De Belie, N.; Jefferson, A.; Van Tittelboom, K. A review of vascular networks for self-healing applications. Smart Mater. Struct. 2021, 30, 063001. [Google Scholar] [CrossRef]
- Cui, G.; Bi, Z.; Wang, S.; Liu, J.; Xing, X.; Li, Z.; Wang, B. A comprehensive review on smart anti-corrosive coatings. Prog. Org. Coat. 2020, 148, 105821. [Google Scholar] [CrossRef]
- Wang, S.; Urban, M.W. Self-healing polymers. Nat. Rev. Mater. 2020, 5, 562–583. [Google Scholar] [CrossRef]
- Wang, Z.; Lu, X.; Sun, S.; Yu, C.; Xia, H. Preparation, characterization and properties of intrinsic self-healing elastomers. J. Mater. Chem. B 2019, 7, 4876–4926. [Google Scholar] [CrossRef]
- Montarnal, D.; Capelot, M.; Tournilhac, F.; Leibler, L. Silica-Like Malleable Materials from Permanent Organic Networks. Science 2011, 334, 965–968. [Google Scholar] [CrossRef]
- Canadell, J.; Goossens, J.; Klumperman, B. Self-Healing Materials Based on Disulfide Links. Macromolecules 2011, 44, 2536–2541. [Google Scholar] [CrossRef]
- Gadwal, I. A Brief Overview on Preparation of Self-Healing Polymers and Coatings via Hydrogen Bonding Interactions. Macromol 2020, 1, 18–36. [Google Scholar] [CrossRef]
- Song, Y.; Liu, Y.; Qi, T.; Li, G.L. Towards Dynamic but Supertough Healable Polymers through Biomimetic Hierarchical Hydrogen-Bonding Interactions. Angew. Chem. Int. Ed. 2018, 57, 13838–13842. [Google Scholar] [CrossRef]
- Zhao, J.; Xu, R.; Luo, G.; Wu, J.; Xia, H. A self-healing, re-moldable and biocompatible crosslinked polysiloxane elastomer. J. Mater. Chem. B 2016, 4, 982–989. [Google Scholar] [CrossRef]
- Lafont, U.; Van Zeijl, H.; Van Der Zwaag, S. Influence of Cross-linkers on the Cohesive and Adhesive Self-Healing Ability of Polysulfide-Based Thermosets. ACS Appl. Mater. Interfaces 2012, 4, 6280–6288. [Google Scholar] [CrossRef]
- Pepels, M.M.; Filot, I.; Klumperman, B.; Goossens, J. Self-healing systems based on disulfide–thiol exchange reactions. Polym. Chem. 2013, 4, 4955–4965. [Google Scholar] [CrossRef]
- Zadeh, M.A.; van der Zwaag, S.; Garcia, S.J. Adhesion and Long-Term Barrier Restoration of Intrinsic Self-Healing Hybrid Sol-Gel Coatings. ACS Appl. Mater. Interfaces 2016, 8, 4126–4136. [Google Scholar] [CrossRef] [PubMed]
- AbdolahZadeh, M.; Esteves, A.C.C.; van der Zwaag, S.; Garcia, S.J. Healable dual organic-inorganic crosslinked sol-gel based polymers: Crosslinking density and tetrasulfide content effect. J. Polym. Sci. Part A Polym. Chem. 2014, 52, 1953–1961. [Google Scholar] [CrossRef]
- Song, Z.; Wang, Z.; Cai, S. Mechanics of vitrimer with hybrid networks. Mech. Mater. 2021, 153, 103687. [Google Scholar] [CrossRef]
- Zhao, L.; Yin, Y.; Jiang, B.; Guo, Z.; Qu, C.; Huang, Y. Fast room-temperature self-healing siloxane elastomer for healable stretchable electronics. J. Colloid Interface Sci. 2020, 573, 105–114. [Google Scholar] [CrossRef]
- Kim, G.Y.; Sung, S.; Kim, M.P.; Kim, S.C.; Lee, S.-H.; Park, Y.I.; Noh, S.M.; Cheong, I.W.; Kim, J.C. Reversible polymer networks based on the dynamic hindered urea bond for scratch healing in automotive clearcoats. Appl. Surf. Sci. 2020, 505. [Google Scholar] [CrossRef]
- Règlement (Ce) No 1907/2006 du Parlement Européen et du Conseil du 18/12/2006. Available online: http://data.europa.eu/eli/reg/2006/1907/2014-04-10 (accessed on 5 July 2021).
- Sanchez, C.; Belleville, P.; Popall, M.; Nicole, L. Applications of advanced hybrid organic–inorganic nanomaterials: From laboratory to market. Chem. Soc. Rev. 2011, 40, 696–753. [Google Scholar] [CrossRef]
- Figueira, R.B. Hybrid Sol-gel Coatings for Corrosion Mitigation: A Critical Review. Polymers 2020, 12, 689. [Google Scholar] [CrossRef] [PubMed] [Green Version]
- Kango, S.; Kalia, S.; Celli, A.; Njuguna, J.; Habibi, Y.; Kumar, R. Surface modification of inorganic nanoparticles for development of organic–inorganic nanocomposites—A review. Prog. Polym. Sci. 2013, 38, 1232–1261. [Google Scholar] [CrossRef]
- Gu, H.; Ma, C.; Gu, J.; Guo, J.; Yan, X.; Huang, J.; Zhang, Q.; Guo, Z. An overview of multifunctional epoxy nanocomposites. J. Mater. Chem. C 2016, 4, 5890–5906. [Google Scholar] [CrossRef]
- Bakhshandeh, E.; Jannesari, A.; Ranjbar, Z.; Sobhani, S.; Saeb, M.R. Anti-corrosion hybrid coatings based on epoxy–silica nano-composites: Toward relationship between the morphology and EIS data. Prog. Org. Coat. 2014, 77, 1169–1183. [Google Scholar] [CrossRef]
- Collazo, A.; Covelo, A.; Nóvoa, X.R.; Pérez, C.; Fernández, A.C. Corrosion protection performance of sol-gel coatings doped with red mud applied on AA2024-T3. Prog. Org. Coat. 2012, 74, 334–342. [Google Scholar] [CrossRef]
- Yu, M.; Liang, M.; Liu, J.; Li, S.; Xue, B.; Zhao, H. Effect of chelating agent acetylacetone on corrosion protection properties of silane-zirconium sol-gel coatings. Appl. Surf. Sci. 2016, 363, 229–239. [Google Scholar] [CrossRef]
- Musto, P.; Mascia, L.; Ragosta, G.; Scarinzi, G.; Villano, P. The transport of water in a tetrafunctional epoxy resin by near-infrared Fourier transform spectroscopy. Polymer 2000, 41, 565–574. [Google Scholar] [CrossRef]
- Chike, K.E.; Myrick, M.L.; Lyon, R.E.; Angel, S.M. Raman and Near-Infrared Studies of an Epoxy Resin. Appl. Spectrosc. 1993, 47, 1631–1635. [Google Scholar] [CrossRef]
- Larkin, P. Infrared and Raman Spectroscopy: Principles and Spectral Interpretation; Elsevier: Amsterdam, The Netherlands, 2011. [Google Scholar]
- Yasakau, K.; Starykevich, M.; Ferreira, M.; Zheludkevich, M. A critical look at interpretation of electrochemical impedance spectra of sol-gel coated aluminium. Electrochim. Acta 2021, 378, 138091. [Google Scholar] [CrossRef]
- Walter, G. A review of impedance plot methods used for corrosion performance analysis of painted metals. Corros. Sci. 1986, 26, 681–703. [Google Scholar] [CrossRef]
- Zheludkevich, M.; Serra, R.; Montemor, F.; Yasakau, K.; Salvado, I.; Ferreira, M. Nanostructured sol-gel coatings doped with cerium nitrate as pre-treatments for AA2024-T3: Corrosion protection performance. Electrochim. Acta 2005, 51, 208–217. [Google Scholar] [CrossRef]
- Wu, L.-K.; Zhang, J.-T.; Hu, J.-M.; Zhang, J.-Q. Improved corrosion performance of electrophoretic coatings by silane addition. Corros. Sci. 2012, 56, 58–66. [Google Scholar] [CrossRef]
- Wang, P.; Schaefer, D.W. Why does Silane Enhance the Protective Properties of Epoxy Films? Langmuir 2008, 24, 13496–13501. [Google Scholar] [CrossRef] [PubMed]
- Zhou, D.; Wang, Y.; Zhu, J.; Yu, J.; Hu, Z. Mechanically strong and highly efficient healable organic/inorganic hybrid dynamic network. Polymer 2019, 167, 202–208. [Google Scholar] [CrossRef]
- Legrand, A.; Soulié-Ziakovic, C. Silica–Epoxy Vitrimer Nanocomposites. Macromolecules 2016, 49, 5893–5902. [Google Scholar] [CrossRef]
- Huang, Z.; Wang, Y.; Zhu, J.; Yu, J.; Hu, Z. Surface engineering of nanosilica for vitrimer composites. Compos. Sci. Technol. 2018, 154, 18–27. [Google Scholar] [CrossRef]
- Matejka, L. Reinforcement of crosslinked rubbery epoxies by in-situ formed silica. Polymer 2000, 41, 1449–1459. [Google Scholar] [CrossRef]
- Matějka, L.; Pleštil, J.; Dušek, K. Structure evolution in epoxy–silica hybrids: Sol-gel process. J. Non-Cryst. Solids 1998, 226, 114–121. [Google Scholar] [CrossRef]
- Afzal, A.; Siddiqi, H.M. A comprehensive study of the bicontinuous epoxy–silica hybrid polymers: I. Synthesis, characterization and glass transition. Polymer 2011, 52, 1345–1355. [Google Scholar] [CrossRef]
- Sun, Y.; Zhang, Z.; Moon, K.-S.; Wong, C.P. Glass transition and relaxation behavior of epoxy nanocomposites. J. Polym. Sci. Part B Polym. Phys. 2004, 42, 3849–3858. [Google Scholar] [CrossRef]

















| DMAP (% Total Weight) | EtOAc (% vol) | ||||
|---|---|---|---|---|---|
| H0 | 0.50 | 0.00 | 0.00 | 0.1 | 0.42 | 
| H30 | 0.46 | 0.21 | 0.30 | 0.1 | 0.42 | 
| H50 | 0.42 | 0.42 | 0.50 | 0.1 | 0.42 | 
| H50-2Epox | 0.34 | 0.35 | 0.50 | 0.1 | 0.42 | 
| Material | Tg (°C) | 10% Weight Loss (wt%) | w% at 650 °C (%) | Theoretical SiO2 Values (wt%) | 
|---|---|---|---|---|
| H0 | −51 ± 2 | 255 | 0.2 | 0 | 
| H30 | −53 ± 2 | 250 | 1.4 | 1.3 | 
| H50 | −50 ± 2 | 248 | 2.3 | 2.8 | 
| Material | Young’s Modulus (MPa) | Breaking Strain (%) | Stress at Break (MPa) | |||
|---|---|---|---|---|---|---|
| Pristine | Healed | Pristine | Healed | Pristine | Healed | |
| H0 | 0.42 ± 0.03 | 0.43 ± 0.03 | 112 ± 9 | 100 ± 25 | 0.29 ± 0.02 | 0.27 ± 0.04 | 
| H30 | 0.46 ± 0.03 | 0.48 ± 0.02 | 113 ± 12 | 83 ± 17 | 0.29 ± 0.03 | 0.25 ± 0.03 | 
| H50 | 0.53 ± 0.06 | 0.53 ± 0.05 | 105 ± 15 | 100 ± 20 | 0.32 ± 0.05 | 0.31 ± 0.06 | 
| Publisher’s Note: MDPI stays neutral with regard to jurisdictional claims in published maps and institutional affiliations. | 
© 2021 by the authors. Licensee MDPI, Basel, Switzerland. This article is an open access article distributed under the terms and conditions of the Creative Commons Attribution (CC BY) license (https://creativecommons.org/licenses/by/4.0/).
Share and Cite
Lollivier, G.; Gressier, M.; Ansart, F.; Aufray, M.; Menu, M.-J. Influence of Hybrid Sol-Gel Crosslinker on Self-Healing Properties for Multifunctional Coatings. Materials 2021, 14, 5382. https://doi.org/10.3390/ma14185382
Lollivier G, Gressier M, Ansart F, Aufray M, Menu M-J. Influence of Hybrid Sol-Gel Crosslinker on Self-Healing Properties for Multifunctional Coatings. Materials. 2021; 14(18):5382. https://doi.org/10.3390/ma14185382
Chicago/Turabian StyleLollivier, Guillaume, Marie Gressier, Florence Ansart, Maëlenn Aufray, and Marie-Joëlle Menu. 2021. "Influence of Hybrid Sol-Gel Crosslinker on Self-Healing Properties for Multifunctional Coatings" Materials 14, no. 18: 5382. https://doi.org/10.3390/ma14185382
APA StyleLollivier, G., Gressier, M., Ansart, F., Aufray, M., & Menu, M.-J. (2021). Influence of Hybrid Sol-Gel Crosslinker on Self-Healing Properties for Multifunctional Coatings. Materials, 14(18), 5382. https://doi.org/10.3390/ma14185382
 
         
                                                

 
                         
       