Finite Model Analysis and Practical Design Equations of Circular Concrete-Filled Steel Tube Columns Subjected to Compression-Torsion Load
Abstract
:1. Introduction
2. Finite Element Modelling of Circular CFST Columns
2.1. Finite Element Models
2.2. Validation of FE Models
3. Investigation of CFST Columns Subjected Compression-Torsion
3.1. Effect of Loading Path
3.2. Composite Action and Load Sharing Ratio
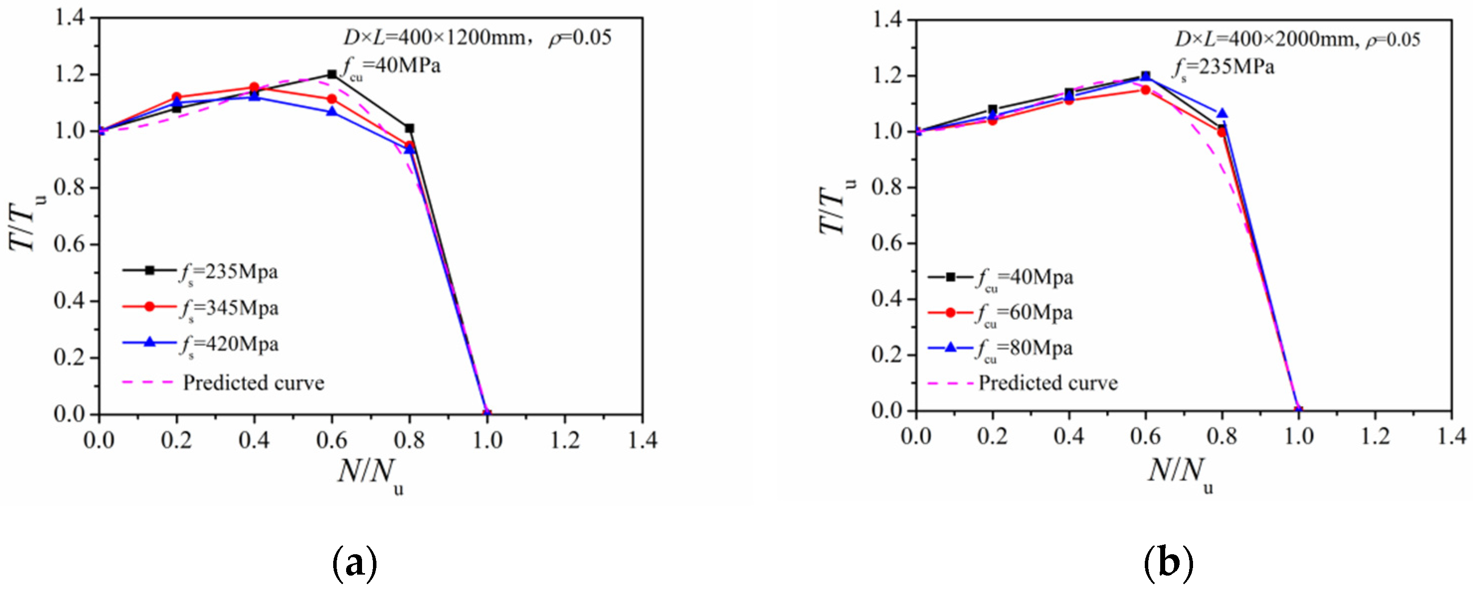
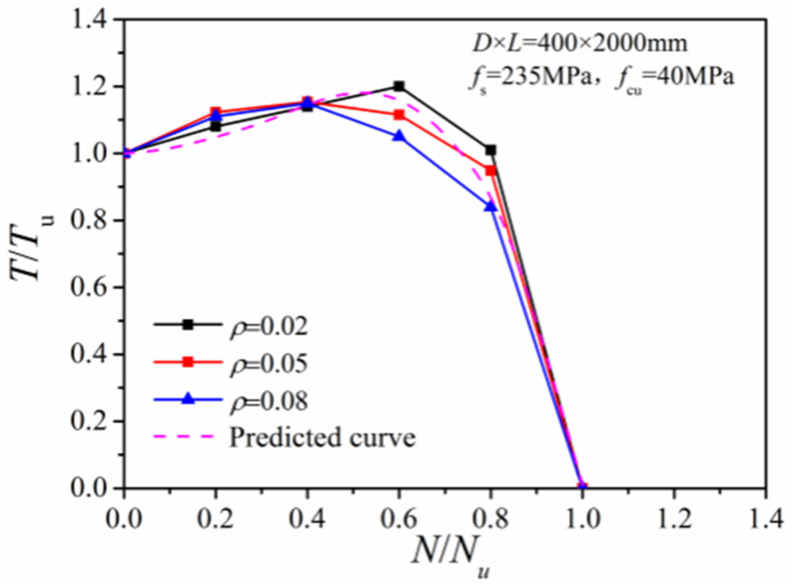
4. Practical Design Equations
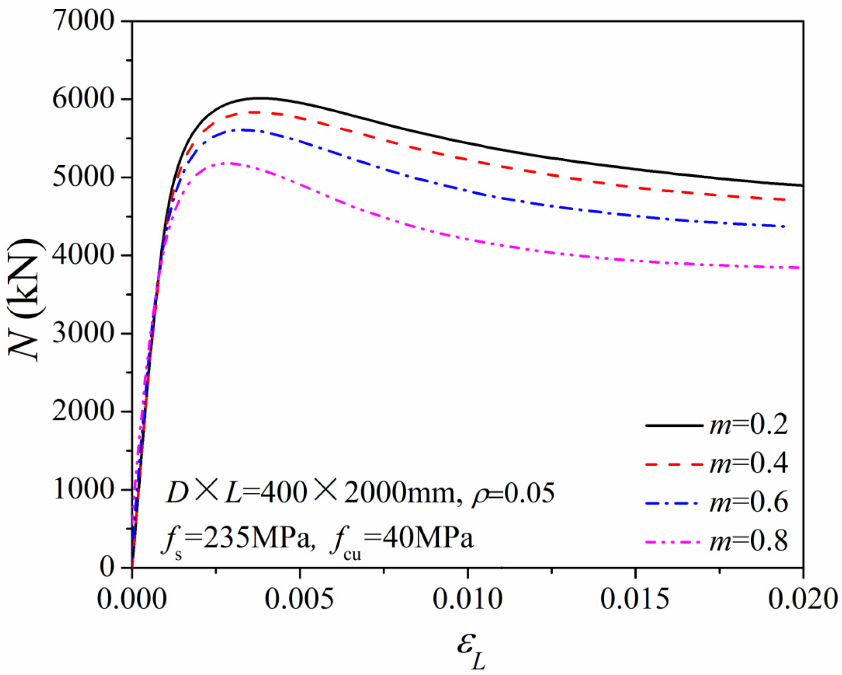
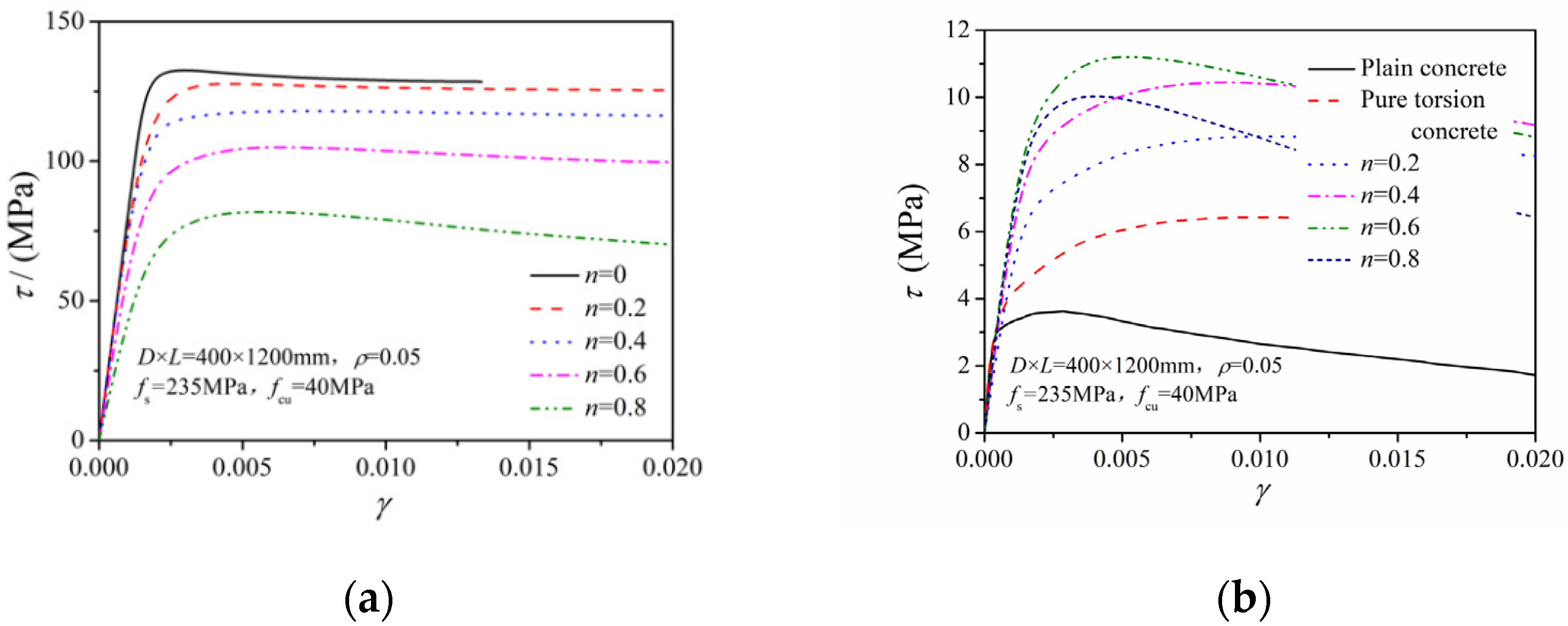
4.1. Parametric Study
4.1.1. Material Strength
4.1.2. Steel Ratio
4.1.3. Slenderness Ratio
4.1.4. Column Dimension
4.2. Simplified Formula of Torsion Capacity
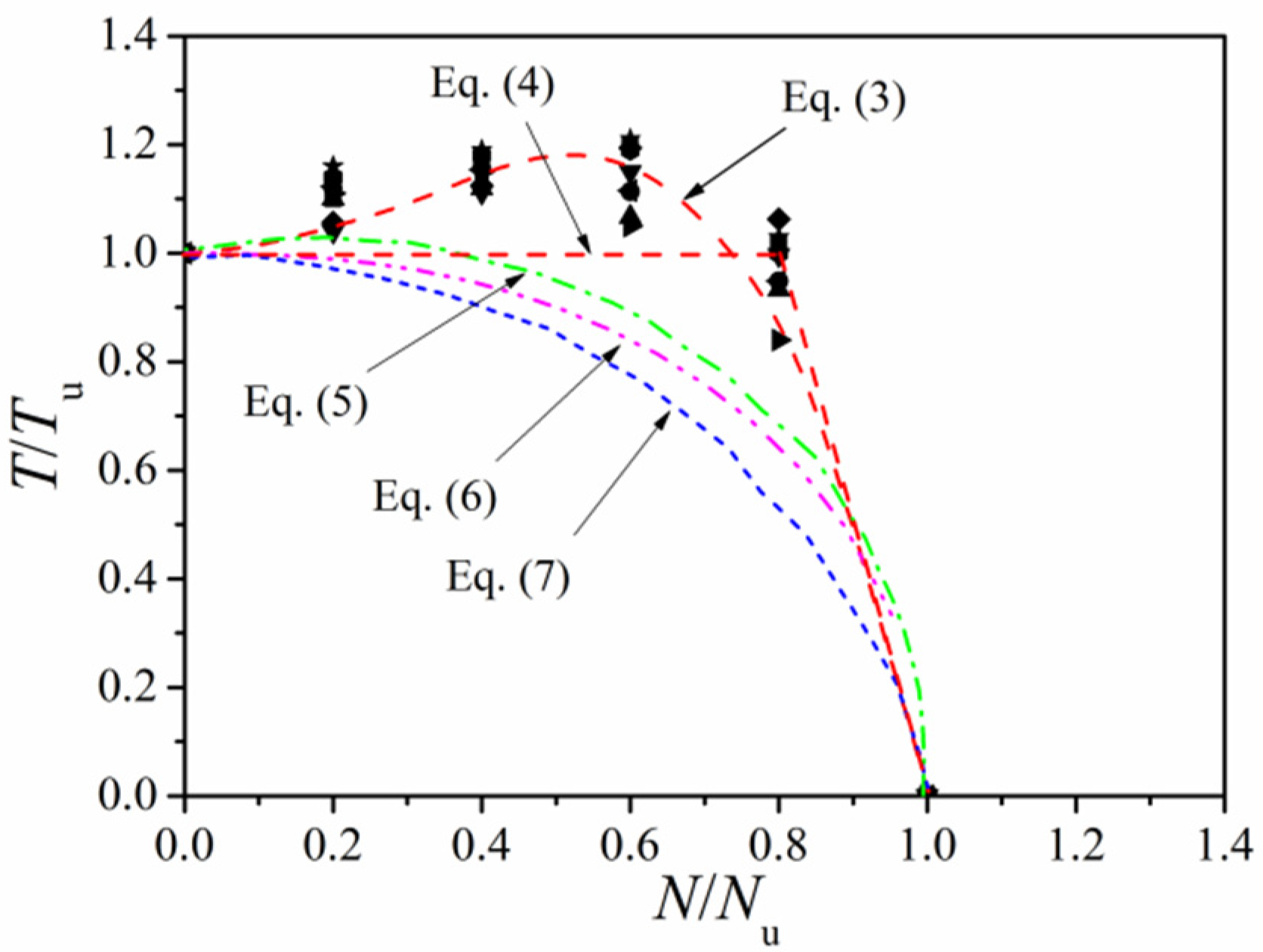
4.3. Formula Validation
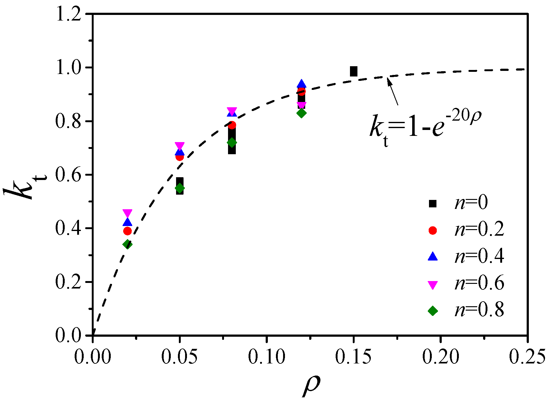
4.4. Composite Shear Stiffness Formula
5. Conclusions
- The loading path can influence the compression or torsion strength performance. Torsion-first loading can weaken the axial-force-resisting ability of the CFST column, while the compression-first loading path has an enhancing effect on the torsional strength.
- Due to the composite action of the steel tubes and the concrete, the maximum shear stress is significantly increased at the core concrete and gradually reduced at the steel tubes. As the axial pressure ratio increases, the maximum shear stress at the core concrete increases at first and then decreases.
- As the axial pressure ratio increases, the axial load share of the steel tubes remains nearly unchanged, and the maximum shear stress share gradually decreases. The torque sharing in the circular CFST column changes from the tube-sharing domain to the concrete-sharing domain.
- Formulas for the torsion capacity of circular CFST columns are presented based on parametric analysis. The formulas can account for the contribution of axial force in a highly accurate yet simple form.
Author Contributions
Funding
Data Availability Statement
Conflicts of Interest
References
- Shanmugam, N.E.; Lakshmi, B. State of the art report on steel-concrete composite columns. J. Constr. Steel Res. 2001, 57, 1041–1080. [Google Scholar] [CrossRef]
- Ahmed, E.; Atorod, A. Behavior and strength of circular concrete-filled tube columns. J. Constr. Steel Res. 2002, 58, 1567–1591. [Google Scholar]
- Han, L.H.; Tao, Z.; Liu, W. Concrete filled steel tubular from theory and practice. J. Fuzhou Univ. 2001, 29, 24–34. [Google Scholar]
- Wang, J.Z.; Liu, L.P.; Ye, H. The research progress and prospect of steel tube-concrete composite column in China. J. Water Resour. Archit. Eng. 2014, 12, 143–149. [Google Scholar]
- Qu, Z.M.; Zhou, L.S. Advance of Concrete-filled Steel Rectangular Tubes. China Build. Mater. Sci. Technol. 2005, 4, 7–12. [Google Scholar]
- Lee, S.H.; Uy, B.; Choi, Y.H.; Choi, S.M. Behavior of high-strength concrete-filled steel tubular (CFST) column under eccentric loading. J. Constr. Steel Res. 2011, 67, 1–13. [Google Scholar] [CrossRef]
- Ji, H.K.; Hyo, G.K.; Jin, K.K. Behavior of circular CFST columns subject to axial force and bending moment. Steel. Compos. Struct. 2013, 14, 173–190. [Google Scholar]
- Chang, X.; Ru, Z.; Zhou, W. Study on concrete-filled stainless steel carbon steel tubular (CFSCT) stub columns under compression. Thin-Walled Struc. 2013, 63, 125–133. [Google Scholar] [CrossRef]
- Chang, X.; Luo, X.L.; Zhu, C.X.; Tang, C.N. Analysis of circular concrete-filled steel tube support in high ground stress conditions. Tunn. Undergr. Space Technol. 2014, 43, 41–48. [Google Scholar] [CrossRef]
- Dongwook, K.; Chiho, J.; Changsu, S. Cyclic and static behaviors of CFST modular bridge pier with enhanced bracings. Steel. Compos. Struct. 2016, 20, 173–191. [Google Scholar]
- Kim, H.J.; Ham, J.; Park, K. Numerical study of internally reinforced circular CFST column-to-foundation connection according to design variables. Steel. Compos. Struct. 2017, 23, 235–247. [Google Scholar] [CrossRef]
- Wang, Y.H.; Nie, J.G.; Fan, J.S. Fiber beam-column element for circular concrete filled steel tube under axial–flexure–torsion combined load. J. Constr. Steel Res. 2014, 95, 10–21. [Google Scholar] [CrossRef]
- Cai, S.H. Recent development of steel tube-confined concrete structures in China. China Civ. Eng. J. 1999, 32, 16–26. [Google Scholar]
- Nie, J.G.; Wang, Y.H.; Fan, J.S. Experimental study on seismic behavior of concrete filled steel tube columns under pure torsion and compression–torsion cyclic load. J. Constr. Steel Res. 2012, 79, 115–126. [Google Scholar] [CrossRef]
- Wang, Y.H.; Guo, Y.S.; Liu, J.P.; Zhou, X.H. Experimental study on behavior of concrete filled steel tube columns under torsion and eccentric compression. China Civ. Eng. J. 2017, 50, 50–61. [Google Scholar]
- Liu, Y.; Lyu, F.; Ding, F.; Wang, E.; Xu, Y.; Yuan, T.; Deng, C.; Luo, C. Numerical study on confinement effect and efficiency of concentrically loaded RACFRST stub columns. Front. Mater. 2021, 8, 630774. [Google Scholar] [CrossRef]
- Ding, F.; Liao, C.; Wang, E.; Lyu, F.; Xu, Y.; Liu, Y.; Feng, Y.; Shang, Z. Numerical investigation of the composite action of axiallycompressed concrete-filled circular aluminum alloy tubular stub columns. Materials 2021, 14, 2435. [Google Scholar] [CrossRef] [PubMed]
- Xu, Y.; Lyu, F.; Ding, F.; Liu, C.; Wang, E. Analytical modelling of LACFCST stub columns subjected to axial compression. Mathematics 2021, 9, 948. [Google Scholar] [CrossRef]
- Lyu, F.; Fan, X.; Ding, F.; Chen, Z. Prediction of the axial compressive strength of circular concrete-filled steel tube columns using sine cosine algorithm-support vector regression. Compos. Struct. 2021, 273, 114282. [Google Scholar] [CrossRef]
- Lyu, F.; Goto, Y.; Kawanishi, N.; Xu, Y. Three-dimensional numerical model for seismic analysis of bridge systems with multiple thin-walled partially concrete-filled steel tubular columns. J. Struct. Eng. 2020, 146, 04019164. [Google Scholar] [CrossRef]
- Fei, L.; Yoshiaki, G.; Kawanishi, N. 3-dimensional numerical model for dynamic analysis of partially concrete-filled thin-walled circular steel columns. In Proceedings of the 9th International Conference on Advances in Steel Structures (ICASS 2018), Hong Kong, China, 5–7 December 2018. [Google Scholar]
- Ding, F.; Liu, Y.; Lyu, F.; Lu, D.; Chen, J. Cyclic loading tests of stirrup cage confined concrete-filled steel tube columns under high axial pressure. Eng. Struct. 2020, 221, 111048. [Google Scholar] [CrossRef]
- Han, L.H.; Zhong, S.T. The studies of pure torsion problem for concrete-filled steel tube. Ind. Constr. 1995, 25, 7–13. [Google Scholar]
- Beck, J.; Kiyomiya, O. Fundamental pure bearing properties of concrete filled steel tubes. Proc. Jpn. Soc. Civ. Eng. 2003, 739, 285–296. [Google Scholar]
- Han, L.-H.; Yao, G.H.; Tao, Z. Performance of concrete-filled thin-walled steel tubes under pure torsion. Thin-Walled Struc. 2007, 45, 24–36. [Google Scholar]
- Eun-Taik, L.; Yun, B.H.; Shim, H.J. Torsional behavior of concrete-filled steel tube columns. J. Struc. Eng. 2009, 135, 1250–1258. [Google Scholar]
- Ding, F.X.; Bing, W.; Wang, H.B.; Liu, X.M. Behavior of circular concrete-filled steel tubular columns under pure torsion. Steel. Compos. Struct. 2018, 26, 501–511. [Google Scholar]
- Nie, J.G.; Wang, Y.H.; Fan, J.S. Laminated tubes model for nonlinear analysis on concrete filled steel tube under axial force and torsion combined action. China Civ. Eng. J. 2013, 46, 16–23. [Google Scholar]
- Xu, J.S.; George LChang, K.C. Experimental study of concrete-filled steel tube stub column under compression and torsion. Beijing Inst. Archit. Eng. 1991, 1–10. [Google Scholar]
- Jin, W.L.; Qu, C.; Fu, J.; Zhang, L. Experimental study on centrifuge concrete filled thin-walled steel tubular components under the action of torsion. J. Zhejiang Univ. Eng. Sci. Ed. 2003, 37, 5–9. [Google Scholar]
- Wang, Y.H.; Li, S.; Zhou, X.H.; Liu, J.P. Study on mechanical behacvior of concrete filled steel tubular short columns under compound bending-shear-torsion load. J. Build. Struct. 2017, 38, 1–12. [Google Scholar]
- Chen, B.C.; Li, X.H. Experimental study on restricted torsion for concrete filled steel tube (single circular). J. Fuzhou Univ. 2008, 36, 735–739. [Google Scholar]
- Basack, S.; Sen, S. Numerical solution of single piles subjected to pure torsion. J. Geotech. Geoenvironmental Eng. ASCE 2014, 140, 74–90. [Google Scholar] [CrossRef]
- Wang, Y.H.; Nie, J.G.; Fan, J.S. Theoretical model and investigation of concrete filled steel tube columns under axial force–torsion combined action. Thin-Walled Struct. 2013, 69, 1–9. [Google Scholar]
- Zhou, J.; Xu, J.S. The experimental research of concrete filled steel tubular slender column under combined compression and torsion. J. Harbin Inst. Constr. Eng. 1990, 24, 43–50. [Google Scholar]

















| Specimen | D × t × L (mm) | fs (MPa) | fcu (MPa) | n | Tu,1 | Tu,0 | Tu,1/Tu,0 | Ref. |
|---|---|---|---|---|---|---|---|---|
| (kN m) | (kN m) | |||||||
| CS2 | 102.4 × 1.6 × 406 | 242.3 | 32.9 | 0.25 | 4.7 | 4.93 | 0.953 | [29] |
| CS3 | 0.5 | 4.73 | 4.94 | 0.957 | ||||
| CS4 | 0.75 | 4.26 | 4.65 | 0.916 | ||||
| CS5 | 0.85 | 3.57 | 4.18 | 0.854 | ||||
| CS2-114 | 114 × 4.5 × 387 | 280 | 27.4 | 0.25 | 18.7 | 16.92 | 1.105 | [29] |
| CS114 | 0.5 | 17.47 | 15.68 | 1.114 | ||||
| CS4-114 | 0.75 | 16.06 | 13.62 | 1.179 | ||||
| CS5-114 | 0.85 | 12.51 | 11.62 | 1.077 | ||||
| CSS2 | 114 × 4.5 × 800 | 301.9 | 21.9 | 0.25 | 18.61 | 17.1 | 1.088 | [35] |
| CSS3 | 0.5 | 17.53 | 16.24 | 1.079 | ||||
| CSS4 | 0.75 | 15.41 | 13.6 | 1.133 | ||||
| CSS5 | 0.85 | 14.05 | 11.31 | 1.242 | ||||
| CSM2 | 114 × 4.5 × 1480 | 301.9 | 20.9 | 0.25 | 17.5 | 15.34 | 1.141 | |
| CSM3 | 0.5 | 16.35 | 14.64 | 1.117 | ||||
| CSM4 | 0.75 | 15.84 | 12.46 | 1.271 | ||||
| CSM5 | 0.85 | 14.6 | 10.89 | 1.341 | ||||
| CSL2 | 114 × 4.5 × 2280 | 301.9 | 21.9 | 0.25 | 17.31 | 16.52 | 1.048 | |
| CSL3 | 0.5 | 16.71 | 15.83 | 1.056 | ||||
| CSL4 | 0.75 | 15.36 | 14.54 | 1.056 | ||||
| CSL5 | 0.85 | 14.25 | 14.1 | 1.011 | ||||
| C2-1 | 220 × 6 × 1100 | 336 | 49.4 | 0.2 | 125.1 | 117.6 | 1.064 | [14] |
| Average value | 1.085 | |||||||
| CV | 0.106 |
| No. | Equations | References | |
|---|---|---|---|
| 1 | (5) | [23] | |
| 2 | (6) | [29] | |
| 3 | (7) | [34] |
| Specimen | FE | Equation (3) | Equation (5) | Equation (6) | Equation (7) | Ref. |
|---|---|---|---|---|---|---|
| CS2 | 0.953 | 0.861 | 0.915 | 0.925 | 1.089 | [29] |
| CS3 | 0.957 | 0.769 | 0.977 | 1.015 | 0.953 | |
| CS4 | 0.916 | 0.843 | 1.082 | 1.165 | 0.965 | |
| CS5 | 0.854 | 0.983 | 1.11 | 1.213 | 0.874 | |
| CS2-114 | 1.105 | 1.053 | 1.119 | 1.131 | 1.045 | [29] |
| CS114 | 1.114 | 0.874 | 1.109 | 1.152 | 1.01 | |
| CS4-114 | 1.179 | 0.977 | 1.254 | 1.35 | 0.963 | |
| CS5-114 | 1.077 | 1.059 | 1.196 | 1.307 | 0.992 | |
| CSS2 | 1.088 | 1.010 | 1.074 | 1.085 | 0.995 | [35] |
| CSS3 | 1.079 | 0.845 | 1.073 | 1.114 | 0.994 | |
| CSS4 | 1.133 | 0.903 | 1.16 | 1.249 | 0.903 | |
| CSS5 | 1.242 | 1.146 | 1.294 | 1.415 | 0.851 | |
| CSM2 | 1.141 | 0.954 | 1.014 | 1.025 | 1.073 | |
| CSM3 | 1.117 | 0.792 | 1.005 | 1.044 | 1.08 | |
| CSM4 | 1.271 | 0.933 | 1.198 | 1.29 | 0.964 | |
| CSM5 | 1.341 | 1.197 | 1.352 | 1.477 | 0.874 | |
| CSL2 | 1.048 | 0.939 | 0.999 | 1.009 | 1.06 | |
| CSL3 | 1.056 | 0.805 | 1.022 | 1.062 | 1.031 | |
| CSL4 | 1.056 | 0.900 | 1.156 | 1.245 | 0.946 | |
| CSL5 | 1.011 | 1.163 | 1.313 | 1.435 | 0.745 | |
| C2-1 | 1.064 | 1.116 | 1.148 | 1.155 | 0.896 | [14] |
| Average | 1.085 | 0.958 | 1.122 | 1.184 | 0.967 | |
| CV | 0.106 | 0.132 | 0.104 | 0.129 | 0.090 |
Publisher’s Note: MDPI stays neutral with regard to jurisdictional claims in published maps and institutional affiliations. |
© 2021 by the authors. Licensee MDPI, Basel, Switzerland. This article is an open access article distributed under the terms and conditions of the Creative Commons Attribution (CC BY) license (https://creativecommons.org/licenses/by/4.0/).
Share and Cite
Gong, Y.; Ding, F.; Wang, L.; Huang, B.; Shan, Y.; Lyu, F. Finite Model Analysis and Practical Design Equations of Circular Concrete-Filled Steel Tube Columns Subjected to Compression-Torsion Load. Materials 2021, 14, 5564. https://doi.org/10.3390/ma14195564
Gong Y, Ding F, Wang L, Huang B, Shan Y, Lyu F. Finite Model Analysis and Practical Design Equations of Circular Concrete-Filled Steel Tube Columns Subjected to Compression-Torsion Load. Materials. 2021; 14(19):5564. https://doi.org/10.3390/ma14195564
Chicago/Turabian StyleGong, Yongzhi, Faxing Ding, Liping Wang, Borong Huang, Yingjie Shan, and Fei Lyu. 2021. "Finite Model Analysis and Practical Design Equations of Circular Concrete-Filled Steel Tube Columns Subjected to Compression-Torsion Load" Materials 14, no. 19: 5564. https://doi.org/10.3390/ma14195564
APA StyleGong, Y., Ding, F., Wang, L., Huang, B., Shan, Y., & Lyu, F. (2021). Finite Model Analysis and Practical Design Equations of Circular Concrete-Filled Steel Tube Columns Subjected to Compression-Torsion Load. Materials, 14(19), 5564. https://doi.org/10.3390/ma14195564

