Influence of Stress Intensity Factor on Rail Fatigue Crack Propagation by Finite Element Method
Abstract
:1. Introduction
2. Model Establishment
3. Influence of Different Factors on Rail Fatigue Contact
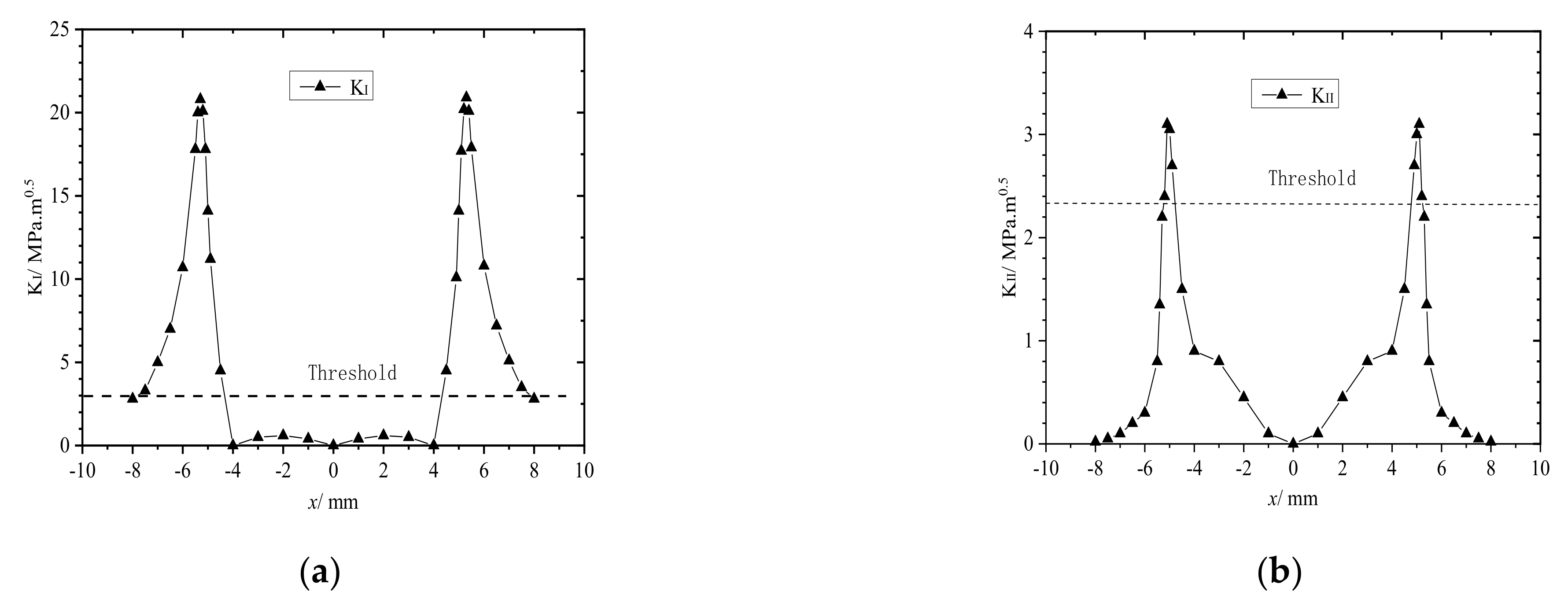
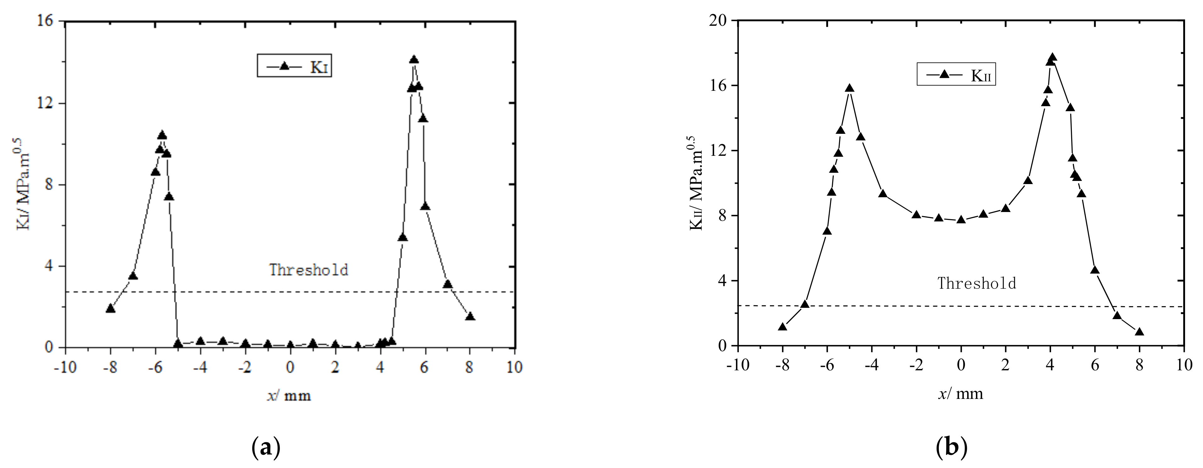
3.1. Effect of Crack Length on Rail Fatigue Contact
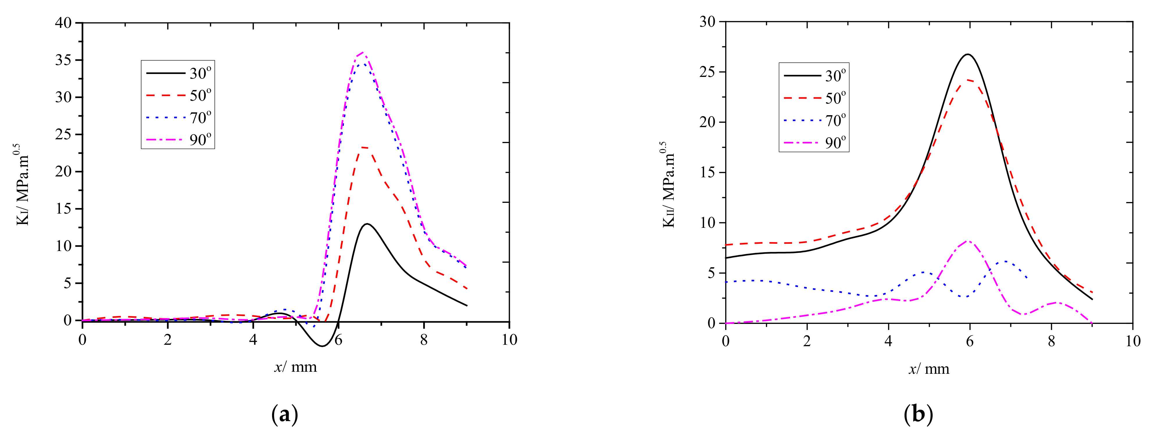
3.2. Effect of Rail Crack Propagation Angle on Wheel-Rail Contact Fatigue
4. Conclusions
- When the rail crack length was less than 0.3 mm, mode I crack propagation was dominant. When the rail crack length was more than 0.3 mm, mode II crack propagation was dominant. When the rail crack length was between 0.3 and 0.5 mm, the rail tread material peeled and broke off.
- Regardless of the crack propagation angle and contact conditions, the rail cracks were mainly mode I–II cracks. However, the main crack modes were different. When the crack propagation angle was less than 30°, mode II cracks were dominant. When the crack propagation angle was between 30 and 70°, the cracks were mainly mode I–II cracks. When the crack propagation angle was more than 70°, mode I cracks were dominant. Regardless of the motion conditions, the maximum equivalent stress intensity factor was at 60°. Therefore, when the crack propagation angle was 60°, the rail cracks propagated the fastest.
Author Contributions
Funding
Institutional Review Board Statement
Informed Consent Statement
Data Availability Statement
Conflicts of Interest
References
- Zhu, Y.; Wang, W.; Lewis, R.; Yan, W.; Lewis, S.R.; Ding, H. A Review on Wear Between Railway Wheels and Rails Under Environmental Conditions. J. Tribol. 2019, 141, 120801. [Google Scholar] [CrossRef]
- Li, X.; Sheng, Y.; Yang, H.; Jiang, X. Micromechanisms of a macrocrack propagation behavior affected by short to long fatigue microcracks. Mech. Adv. Mater. Struct. 2021, 1–23. [Google Scholar] [CrossRef]
- Zhang, S.Y.; Zhao, X.J.; Ding, H.H.; Spiryagin, M.; Guo, J.; Liu, Q.Y.; Wang, W.J.; Zhou, Z.R. Effects of dent size on the evolution process of rolling contact fatigue damage on defective rail. Wear 2021, 477, 203894. [Google Scholar] [CrossRef]
- Osnes, K.; Hopperstad, O.S.; Børvik, T. Rate dependent fracture of monolithic and laminated glass: Experiments and simulations. Eng. Struct. 2020, 212, 110516. [Google Scholar] [CrossRef]
- Irwin, G.R. Analysis of stresses and strains near end of a crack traversing a plate. J. Appl. Mech. 1956, 24, 361–364. [Google Scholar] [CrossRef]
- Wang, J.; Liu, J.; Ouyang, X.; Zou, H. Analysis of the Fracture Characteristics and the Stress Intensity Factor of the Symmetric Coalescence Crack in Rock. Geotech. Geol. Eng. 2019, 37, 2535–2544. [Google Scholar] [CrossRef]
- Funari, M.F.; Spadea, S.; Lonetti, P.; Lourenço, P.B. On the elastic and mixed-mode fracture properties of PVC foam. Theor. Appl. Fract. Mech. 2021, 112, 102924. [Google Scholar] [CrossRef]
- Zan, X. Analysis of Crack Initiation and Propagation of Rail under Rolling Contact Fatigue. Master’s Thesis, Southwest Jiaotong University, Sichuan, China, 2019. [Google Scholar]
- Elsayed, H.; Lotfy, M.; Youssef, H.; Sobhy, H. Assessment of degradation of railroad rails: Finite element analysis of insu-lated joints and unsupported sleepers. J. Mech. Mater. Struct. 2019, 14, 429–448. [Google Scholar] [CrossRef]
- Ma, X.; Xu, J.; Liu, L.; Wang, P.; Feng, Q.; Xu, J. A 2D peridynamic model for fatigue crack initiation of railheads. Int. J. Fatigue 2020, 135, 105536. [Google Scholar] [CrossRef]
- Zhang, Q.; Wang, Q.; Li, W.; Zhang, X.; Jiang, X. Research on 3D Crack Propagation under Complex Load. J. Sichuan Univ. Light Chem. Technol. 2020, 33, 65–70. [Google Scholar]
- Li, S. Development Trend of Computer Network Security Technology Based on the Big Data Era. J. Phys. Conf. Ser. 2021, 1744, 42223. [Google Scholar] [CrossRef]
- Ruggiero, A.; D’Amato, R.; Affatato, S. Comparison of Meshing Strategies in THR Finite Element Modelling. Materials 2019, 12, 2332. [Google Scholar] [CrossRef] [PubMed] [Green Version]
- Duhan, N.R.; Srivastava, J.P.; Aquib Anis, M.; Sarkar, P.K. Stress intensity factor for a semi-elliptical rail head crack under traction. IOP Conf. Ser. Mater. Sci. Eng. 2018, 402, 12132. [Google Scholar] [CrossRef]
- Gao, R.; Fan, S. Research on the Propagation Characteristics of Fatigue Cracks on Rail Surfaces. Int. J. Appl. Mech. 2020, 12, 2050121. [Google Scholar] [CrossRef]
- Li, D.; Du, W.; Wu, X. Safety Assessment of Penstock in Power Station Based on Stress Intensity Factor Using ANSYS. J. Yangtze River Sci. Res. Inst. 2021, 38, 55–60. [Google Scholar]
- Prokopev, V.; Zhdanova, T.; Kuschov, B. Modeling of the Stress-Strain State of Railway Wheel and Rail in Contact. In International Scientific Conference Energy Management of Municipal Facilities and Sustainable Energy Technologies EMMFT 2018; Murgul, V., Pasetti, M., Eds.; Springer International Publishing: Cham, Switzerland, 2020; pp. 603–614. ISBN 978-3-030-19755-1. [Google Scholar]
- Gupta, A.; Pradhan, S.K.; Bajpai, L.; Jain, V. Numerical simulation of contact behavior between rail wheel and rails of a new road cum rail vehicle. Mater. Today Proc. 2021, 46, 3966–3974. [Google Scholar] [CrossRef]
- Tanaka, K. Fatigue crack propagation from a crack inclined to the cyclic tensile axis. Eng. Fract. Mech. 1974, 6, 493–507. [Google Scholar] [CrossRef]













| Material | Elastic Modulus MPa | Poisson’s Ratio | Yield Limit MPa | Tangential Modulus MPa | Threshold MPa.m0.5 | Fracture Toughness MPa.m0.5 |
|---|---|---|---|---|---|---|
| U71Mn | 210,000 | 0.3 | 550 | 21,000 | 2.2 | 47 |
| SMA490B | 210,000 | 0.3 | 365 | - | - | - |
Publisher’s Note: MDPI stays neutral with regard to jurisdictional claims in published maps and institutional affiliations. |
© 2021 by the authors. Licensee MDPI, Basel, Switzerland. This article is an open access article distributed under the terms and conditions of the Creative Commons Attribution (CC BY) license (https://creativecommons.org/licenses/by/4.0/).
Share and Cite
Gao, R.; Liu, M.; Wang, B.; Wang, Y.; Shao, W. Influence of Stress Intensity Factor on Rail Fatigue Crack Propagation by Finite Element Method. Materials 2021, 14, 5720. https://doi.org/10.3390/ma14195720
Gao R, Liu M, Wang B, Wang Y, Shao W. Influence of Stress Intensity Factor on Rail Fatigue Crack Propagation by Finite Element Method. Materials. 2021; 14(19):5720. https://doi.org/10.3390/ma14195720
Chicago/Turabian StyleGao, Ruipeng, Mengmeng Liu, Bing Wang, Yiran Wang, and Wei Shao. 2021. "Influence of Stress Intensity Factor on Rail Fatigue Crack Propagation by Finite Element Method" Materials 14, no. 19: 5720. https://doi.org/10.3390/ma14195720
APA StyleGao, R., Liu, M., Wang, B., Wang, Y., & Shao, W. (2021). Influence of Stress Intensity Factor on Rail Fatigue Crack Propagation by Finite Element Method. Materials, 14(19), 5720. https://doi.org/10.3390/ma14195720

