Electrochemically Produced Copolymers of Pyrrole and Its Derivatives: A Plentitude of Material Properties Using “Simple” Heterocyclic Co-Monomers
Abstract
1. Introduction
2. Copolymerisation of Pyrrole
2.1. Copolymerisation of Pyrrole-Based Co-Monomers
2.2. Copolymerisation of Pyrrole with Non-Pyrrole Comonomers
2.2.1. Copolymerisation of Pyrrole with Thiophene Derivatives
2.2.2. Copolymerisation of Pyrrole with Other Heterocyclic Compounds
2.2.3. Copolymerisation of Pyrrole with Other Compounds
3. Application of Pyrrole Copolymers
3.1. Copolymers for Sensing Applications
3.2. Copolymers for Bio-Sensing Applications
3.3. Copolymers for Electrochromic Applications
3.4. Copolymers for Anticorrosive Applications
3.5. Other Applications
4. Conclusions
Author Contributions
Funding
Conflicts of Interest
References
- Ibanez, J.G.; Rincón, M.E.; Gutierrez-Granados, S.; Chahma, M.; Jaramillo-Quintero, O.A.; Frontana-Uribe, B.A. Conducting Polymers in the Fields of Energy, Environmental Remediation, and Chemical–Chiral Sensors. Chem. Rev. 2018, 118, 4731–4816. [Google Scholar] [CrossRef]
- Wang, X.; Gu, X.; Yuan, C.; Chen, S.; Zhang, P.; Zhang, T.; Yao, J.; Chen, F.; Chen, G. Evaluation of biocompatibility of polypyrrole in vitro and in vivo. J. Biomed. Mater. Res. Part A 2004, 68, 411–422. [Google Scholar] [CrossRef] [PubMed]
- Kang, H.; Geckeler, K. Enhanced electrical conductivity of polypyrrole prepared by chemical oxidative polymerisation: Effect of the preparation technique and polymer additive. Polymer (Guildf) 2000, 41, 6931–6934. [Google Scholar] [CrossRef]
- Istakova, O.I.; Konev, D.V.; Medvedeva, T.O.; Zolotukhina, E.V.; Vorotyntsev, M.A. Efficiency of Pyrrole Electropolymerisation under Various Conditions. Russ. J. Electrochem. 2018, 54, 1243–1251. [Google Scholar] [CrossRef]
- Jadoun, S.; Riaz, U. A review on the chemical and electrochemical copolymerisation of conducting monomers: Recent advancements and future prospects. Polym. Technol. Mater. 2020, 59, 484–504. [Google Scholar]
- Stauffer, W.R.; Cui, X.T. Polypyrrole doped with 2 peptide sequences from laminin. Biomaterials 2006, 27, 2405–2413. [Google Scholar] [CrossRef]
- Ateh, D.D.; Navsaria, H.A.; Vadgama, P. Polypyrrole-based conducting polymers and interactions with biological tissues. J. R. Soc. Interface 2006, 3, 741–752. [Google Scholar] [CrossRef]
- Liu, A.; Li, C.; Bai, H.; Shi, G. Electrochemical Deposition of Polypyrrole/Sulfonated Graphene Composite Films. J. Phys. Chem. C 2010, 114, 22783–22789. [Google Scholar] [CrossRef]
- Foschini, M.; Marletta, A.; Faria, R.C.; Leonard, D.; Bessueille, F.; Jaffrezic-Renault, N.; Goncalves, D. Electrochemically Prepared Polypyrrole-2-Carboxylic Acid Films: Synthesis Protocols and Studies on Biosensors. Electroanalysis 2013, 25, 741–749. [Google Scholar] [CrossRef]
- Cosnier, S.; Holzinger, M. Electrosynthesized polymers for biosensing. Chem. Soc. Rev. 2011, 40, 2146–2156. [Google Scholar] [CrossRef]
- Lv, H.; Pan, Q.; Song, Y.; Liu, X.-X.; Liu, T. A Review on Nano-/Microstructured Materials Constructed by Electrochemical Technologies for Supercapacitors. Nano-Micro Lett. 2020, 12, 118. [Google Scholar] [CrossRef]
- Kanazawa, K.K.; Diaz, A.F.; Geiss, R.H.; Gill, W.D.; Kwak, J.F.; Logan, J.A.; Rabolt, J.F.; Street, G.B. ‘Organic metals’: Polypyrrole, a stable synthetic ‘metallic’ polymer. J. Chem. Soc. Chem. Commun. 1979, 19, 854–855. [Google Scholar] [CrossRef]
- Sabouraud, G.; Sadki, S.; Brodie, N. The mechanisms of pyrrole electropolymerisation. Chem. Soc. Rev. 2000, 29, 283–293. [Google Scholar] [CrossRef]
- Zhou, M.; Heinze, J. Electropolymerisation of pyrrole and electrochemical study of polypyrrole: 1. Evidence for structural diversity of polypyrrole. Electrochim. Acta 1999, 44, 1733–1748. [Google Scholar] [CrossRef]
- Zhou, M.; Heinze, J. Electropolymerisation of Pyrrole and Electrochemical Study of Polypyrrole. 2. Influence of Acidity on the Formation of Polypyrrole and the Multipathway Mechanism. J. Phys. Chem. B 1999, 103, 8443–8450. [Google Scholar] [CrossRef]
- Zhou, M.; Heinze, J. Electropolymerisation of Pyrrole and Electrochemical Study of Polypyrrole. 3. Nature of “Water Effect” in Acetonitrile. J. Phys. Chem. B 1999, 103, 8451–8457. [Google Scholar] [CrossRef]
- Zhou, M.; Pagels, M.; Geschke, B.; Heinze, J. Electropolymerisation of Pyrrole and Electrochemical Study of Polypyrrole. 5. Controlled Electrochemical Synthesis and Solid-State Transition of Well-Defined Polypyrrole Variants. J. Phys. Chem. B 2002, 106, 10065–10073. [Google Scholar] [CrossRef]
- Kanazawa, K.K.; Diaz, A.F.; Krounbi, M.T.; Street, G.B. Electrical properties of pyrrole and its copolymers. Synth. Met. 1981, 4, 119–130. [Google Scholar] [CrossRef]
- Kesküla, A.; Heinmaa, I.; Tamm, T.; Aydemir, N.; Travas-Sejdic, J.; Peikolainen, A.-L.; Kiefer, R. Improving the Electrochemical Performance and Stability of Polypyrrole by Polymerizing Ionic Liquids. Polymers 2020, 12, 136. [Google Scholar] [CrossRef]
- Moon, D.K.; Yun, J.-Y.; Osakada, K.; Kambara, T.; Yamamoto, T. Synthesis of Random Copolymers of Pyrrole and Aniline by Chemical Oxidative Polymerisation. Mol. Cryst. Liq. Cryst. 2007, 464, 177/[759]–185/[767]. [Google Scholar] [CrossRef]
- Reynolds, J.R.; Poropatic, P.A.; Toyooka, R.L. The physical and electrical properties of copolymers of polypyrrole. Synth. Met. 1987, 18, 95–100. [Google Scholar] [CrossRef]
- Glidle, A.; Swann, M.J.; Hadyoon, C.S.; Cui, L.; Davis, J.; Ryder, K.S.; Cooper, J.M. XPS assaying of electrodeposited copolymer composition to optimise sensor materials. J. Electron Spectrosc. Relat. Phenom. 2001, 121, 131–148. [Google Scholar] [CrossRef]
- Arjomandi, J.; Holze, R. A spectroelectrochemical study of conducting pyrrole-N-methylpyrrole copolymers in nonaqueous solution. J. Solid State Electrochem. 2013, 17, 1881–1889. [Google Scholar] [CrossRef]
- González-Tejera, M.J.; García, M.V.; de la Blanca, E.S.; Redondo, M.I.; Raso, M.A.; Carrillo, I. Electrochemical synthesis of N-methyl and 3-methyl pyrrole perchlorate doped copolymer films. Thin Solid Film 2007, 515, 6805–6811. [Google Scholar] [CrossRef]
- Massoumi, B.; Isfahani, N.S.; Saraei, M.; Entezami, A. Investigation of the electroactivity, conductivity, and morphology of poly(pyrrole-co-N-alkyl pyrrole) prepared via electrochemical nanopolymerisation and chemical polymerization. J. Appl. Polym. Sci. 2012, 124, 3956–3962. [Google Scholar] [CrossRef]
- Yamamoto, T.; Yamagata, Y.; Yamashita, R.; Abla, M.; Fukumoto, H.; Koizumi, T. Copolymers of pyrrole with N-alkynylpyrroles. Synth. Met. 2012, 162, 2406–2413. [Google Scholar] [CrossRef]
- Reynolds, J.R.; Poropatic, P.A.; Toyooka, R.L. Electrochemical Copolymerisation of Pyrrole with N-Substituted Pyrroles. Effect of Composition on Electrical Conductivity. Macromolecules 1987, 20, 958–961. [Google Scholar] [CrossRef]
- Rosenthal, M.V.; Skotheim, T.A.; Melo, A.; Florit, M.I. Electrochemical synthesis of polypyrrole/poly-N-(p-nitrophenyl)pyrrole co-polymer. J. Electroanal. Chem. 1985, 185, 297–303. [Google Scholar] [CrossRef]
- Schneider, S.; Füser, M.; Bolte, M.; Terfort, A. Self-assembled monolayers of aromatic pyrrole derivatives: Electropolymerization and electrocopolymerization with pyrrole. Electrochim. Acta 2017, 246, 853–863. [Google Scholar] [CrossRef]
- Sundaresan, N.S.; Basak, S.; Pomerantz, M.; Reynolds, J.R. Electroactive Copolymers of Pyrrole Containing Covalently Bound Dopant Ions: Poly{pyrrole-co-[3-(pyrrol-1-yl)propanesulphonate]. J. Chem. Soc. Chem. Commun. 1987, 8, 621–622. [Google Scholar] [CrossRef]
- John, R.R.; Jose, P.R.; Wang, F.; Jolly, C.A.; Nayak, K.; Marynick, D.S. Electroactive and soluble polyheterocycles and transition metal complex polymers. Synth. Met. 1989, 28, 621–628. [Google Scholar]
- Gholami, M.; Nia, P.M.; Alias, Y. Morphology and electrical properties of electrochemically synthesized pyrrole–formyl pyrrole copolymer. Appl. Surf. Sci. 2015, 357, 806–813. [Google Scholar] [CrossRef]
- Chen-Yang, Y.W.; Li, J.L.; Wu, T.L.; Wang, W.S.; Hon, T.F. Electropolymerisation and electrochemical properties of (N-hydroxyalkyl)pyrrole/pyrrole copolymers. Electrochim. Acta 2004, 49, 2031–2040. [Google Scholar] [CrossRef]
- Zhang, L.; Zhang, Z. Electrical field directed electropolymerisation of free-standing film of polypyrrole and poly(1-(2-carboxyethyl)pyrrole at the air/liquid interface. Synth. Met. 2011, 161, 724–730. [Google Scholar] [CrossRef]
- Okner, R.; Domb, A.J.; Mandler, D. Electrochemical Formation and Characterization of Copolymers Based on N-Pyrrole Derivatives. Biomacromolecules 2007, 8, 2928–2935. [Google Scholar] [CrossRef]
- Ak, M.; Toppare, L. Synthesis of star-shaped pyrrole and thiophene functionalized monomers and optoelectrochemical properties of corresponding copolymers. Mater. Chem. Phys. 2009, 114, 789–794. [Google Scholar] [CrossRef]
- Baleg, A.A.; Jahed, N.; Yonkeu, A.L.D.; Njomo, N.; Mbambisa, G.; Molapo, K.M.; Fuku, X.G.; Fomo, G.; Makelane, H.; Tsegaye, A.; et al. Impedimetry and microscopy of electrosynthetic poly(propylene imine)-co-polypyrrole conducting dendrimeric star copolymers. Electrochim. Acta 2014, 128, 448–457. [Google Scholar] [CrossRef]
- Cihaner, A. Electrochemical synthesis of new conducting copolymers containing pseudo-polyether cages with pyrrole. J. Electroanal. Chem. 2007, 605, 8–14. [Google Scholar] [CrossRef]
- Wang, M.; Zhang, H.; Bai, R.; Ge, X. Electrochemical Copolymerisation and Stability of Crosslinked Bis[1,2-(pyrrol)ethoxy]ethane With Pyrrole. Polym. Compos. 2009, 30, 597–602. [Google Scholar] [CrossRef]
- Jin, S.; Liu, X.; Zhang, W.; Lu, Y.; Xue, G. Electrochemical Copolymerisation of Pyrrole and Styrene. Macromolecules 2000, 33, 4805–4808. [Google Scholar] [CrossRef]
- Park, Y.H.; Shin, H.C.; Lee, Y.; Son, Y.; Baik, D.H. Electrochemical Preparation of Polypyrrole Copolymer Films from PSPMS Precursor. Macromolecules 1999, 32, 4615–4618. [Google Scholar] [CrossRef]
- Tarkuc, S.; Sahin, E.; Toppare, L.; Colak, D.; Cianga, I.; Yagci, Y. Synthesis, characterization and electrochromic properties of a conducting copolymer of pyrrole functionalized polystyrene with pyrrole. Polymer 2006, 47, 2001–2009. [Google Scholar] [CrossRef]
- Inagaki, T.; Hunter, M.; Yang, X.Q.; Skotheim, T.A.; Okamoto, Y. Electrochemical Synthesis of Ferrocene-functionalized Polypyrrole Films. J. Chem. Soc. Chem. Commun. 1988, 2, 126–127. [Google Scholar] [CrossRef]
- Inagaki, T.; Skotheim, T.A.; Lee, H.S.; Okamoto, Y.; Samuelson, L.; Tripathy, S. Chemically modified polypyrrole. Synth. Met. 1989, 28, 245–250. [Google Scholar] [CrossRef]
- Kuwabata, S.; Ito, S.; Yoneyama, H. Copolymerization of Pyrrole and Thiophene by Electrochemical Oxidation and Electrochemical Behavior of the Resulting Copolymers. J. Electrochem. Soc. 1988, 135, 1691–1695. [Google Scholar]
- Li, X.; Lu, M.; Li, H. Electrochemical Copolymerisation of Pyrrole and Thiophene Nanofibrils Using Template-Synthesis Method. J. Appl. Polym. Sci. 2002, 86, 2403–2407. [Google Scholar]
- Lu, M.; Li, X.-H.; Li, H.-L. Synthesis and characterization of conducting copolymer nanofibrils of pyrrole and 3-methylthiophene using the template-synthesis method. Mater. Sci. Eng. 2002, A334, 291–297. [Google Scholar]
- Dang, X.D.; Intelmann, C.M.; Rammelt, U.; Plieth, W. Electrochemical copolymerisation of pyrrole and 2,2-bithiophene and semiconducting characterization of the resulting copolymer films by electrochemical impedance spectroscopy and photoelectrochemistry. J. Solid State Electrochem. 2004, 8, 727–734. [Google Scholar] [CrossRef]
- Ryder, K.S.; Schweiger, L.F.; Glidle, A.; Cooper, J.M. Strategies towards functionalised electronically conducting organic copolymers: Part 2. Copolymerisation. J. Mater. Chem. 2000, 10, 1785–1793. [Google Scholar]
- Yue, B.; Wang, C.; Wagner, P.; Yang, Y.; Ding, X.; Officer, D.L.; Wallace, G.G. Electrodeposition of pyrrole and 3-(4-tert-butylphenyl)thiophene copolymer for supercapacitor applications. Synth. Met. 2012, 162, 2216–2221. [Google Scholar] [CrossRef]
- Sezer, E.; Ustamehmetoglu, B.; Sarac, A.S. Chemical and electrochemical polymerisation of pyrrole in the presence of N-substituted carbazoles. Synth. Met. 1999, 107, 7–17. [Google Scholar] [CrossRef]
- Ates, M.; Sarac, A.S. Electrochemical impedance spectroscopy of poly[carbazole-co-N-p-tolylsulfonylpyrrole] on carbon fiber microelectrodes, equivalent circuits for modelling. Prog. Org. Coat. 2009, 65, 281–287. [Google Scholar] [CrossRef]
- Dhanalakshmi, K.; Saraswathi, R. Electrochemical preparation and characterization of conducting copolymers: Poly(pyrrole-co-indole). J. Mater. Sci. 2001, 36, 4107–4115. [Google Scholar] [CrossRef]
- Koleli, F.; Arslan, Y.; Dudukcu, M. Preparation and SEESR-spectroscopic investigations of indole/pyrrole copolymers in aprotic medium. Synth. Met. 2002, 129, 47–52. [Google Scholar] [CrossRef]
- Arjomandi, J.; Safdar, S.; Malmir, M. In Situ UV-Visible Spectroelectrochemistry and Cyclic Voltammetry of Conducting N-Methylpyrrole: Indole Copolymers on Gold Electrode. J. Electrochem. Soc. 2012, 159, E73–E81. [Google Scholar] [CrossRef]
- Wan, F.; Li, L.; Wan, X.; Xue, G. Modification of Polyindole by the Incorporation of Pyrrole Unit. J. Appl. Polym. Sci. 2002, 85, 814–820. [Google Scholar] [CrossRef]
- Wan, X.; Zhang, W.; Jin, S.; Xue, G.; You, Q.-D.; Che, B. The electrochemical copolymerisation of pyrrole and furan in a novel binary solvent system. J. Electroanal. Chem. 1999, 470, 23–30. [Google Scholar] [CrossRef]
- San, B.; Talu, M. Electrochemical copolymerisation of pyrrole and aniline. Synth. Met. 1998, 94, 221–227. [Google Scholar]
- Pandey, S.S.; Takashima, W.; Kaneto, K. Electrochemomechanical deformation in conducting copolymers containing pyrrole and anisidine moieties. React. Funct. Polym. 2004, 58, 103–110. [Google Scholar] [CrossRef]
- Nateghi, M.R.; Borhani, M. Preparation, characterization and application of polyanthranilic acid-co-pyrrole. React. Funct. Polym. 2008, 68, 153–160. [Google Scholar] [CrossRef]
- Sayyah, S.M.; El-Rabiey, M.M.; El-Rehim, S.S.A.; Azooz, R.E. Electropolymerisation Kinetics of a Binary Mixture of Pyrrole and O-Aminobenzoic Acid and Characterization of the Obtained Polymer Films. J. Appl. Polym. Sci. 2008, 109, 1643–1653. [Google Scholar] [CrossRef]
- Simitzis, J.; Soulis, S.; Triantou, D. Electrochemical Synthesis and Characterization of Conducting Copolymers of Biphenyl with Pyrrole. J. Appl. Polym. Sci. 2012, 125, 1928–1941. [Google Scholar] [CrossRef]
- Simitzis, J.; Triantou, D.; Soulis, S. Conducting Polymers: Synthesis, Properties and Applications. Int. Adv. Res. J. Sci. Eng. Technol. 2013, 2, 27–52. [Google Scholar]
- Mahmoudian, M.R.; Alias, Y.; Basirun, W.J. Electrodeposition of (pyrrole-co-phenol) on steel surfaces in mixed electrolytes of oxalic acid and DBSA. Mater. Chem. Phys. 2010, 124, 1022–1028. [Google Scholar] [CrossRef]
- Wolfart, F.; Hryniewicz, B.M.; Marchesi, L.F.; Orth, E.S.; Dubal, D.P.; Gómez-Romero, P.; Vidotti, M. Direct electrodeposition of imidazole modified poly(pyrrole) copolymers: Synthesis, characterization and supercapacitive properties. Electrochim. Acta 2017, 243, 260–269. [Google Scholar] [CrossRef]
- Shi, C.; Xue, H.; Shen, Z.; Li, Y.; Yang, C. Electrochemical Copolymerisation of Pyrrole and Propylene Oxide. J. Appl. Polym. Sci. 2003, 89, 2624–2627. [Google Scholar] [CrossRef]
- Shan, N.L.D.; Shi, C.; Xue, H. Electrochemical synthesis and characterization of poly(pyrrole-co-ε-caprolactone) conducting copolymer. J. Appl. Polym. Sci. 2009, 112, 1070–1075. [Google Scholar]
- Li, N.; Shan, D.; Xue, H. Electrochemical synthesis and characterization of poly(pyrrole-co-tetrahydrofuran) conducting copolymer. Eur. Polym. J. 2007, 43, 2532–2539. [Google Scholar] [CrossRef]
- Jain, R.; Jadon, N.; Pawaiya, A. Polypyrrole based next generation electrochemical sensors and biosensors: A review. Trac Trends Anal. Chem. 2017, 97, 363–373. [Google Scholar] [CrossRef]
- Aubert, P.-H.; Neudeck, A.; Dunsch, L.; Audebert, P.; Capdevielle, P.; Maumy, M. Electrochemical synthesis and structural studies of copolymers based on the electrooxidation of pyrrole and some salen compounds. J. Electroanal. Chem. 1999, 470, 77–88. [Google Scholar] [CrossRef]
- Ozel, A.D.; Dikici, E.; Bachas, L.G. Selectivity properties of corrin-doped polypyrrole film. Mon. Chem. 2013, 144, 781–791. [Google Scholar] [CrossRef]
- Walker, D.A.; D’Silva, C. Electrochemical and Physical properties of N-substituted arylmethylene pyrrole polymers and N-alkylmethine pyrrole copolymers. Electrochim. Acta 2014, 116, 175–182. [Google Scholar] [CrossRef]
- Shimomura, M.; Kuwahara, T.; Iizuka, K.; Kinoshita, T. Immobilization of Alcohol Dehydrogenase on Films Prepared by the Electrochemical Copolymerisation of Pyrrole and 1-(2-Carboxyethyl)pyrrole for Ethanol Sensing. J. Appl. Polym. Sci. 2010, 116, 2651–2657. [Google Scholar]
- Iyogun, A.A.; Kumar, M.R.; Freund, M.S. Chemically diverse sensor arrays based on electrochemically copolymerized pyrrole and styrene derivatives. Sens. Actuators B 2015, 215, 510–517. [Google Scholar] [CrossRef]
- Vaitkuviene, A.; Kaseta, V.; Voronovic, J.; Ramanauskaite, G.; Biziuleviciene, G.; Ramanaviciene, A.; Ramanavicius, A. Evaluation of cytotoxicity of polypyrrole nanoparticles synthesized by oxidative polymerization. J. Hazard. Mater. 2013, 250–251, 167–174. [Google Scholar] [CrossRef]
- Kim, S.; Jang, L.K.; Jang, M.; Lee, S.; Hardy, J.G.; Lee, J.Y. Electrically Conductive Polydopamine–Polypyrrole as High Performance Biomaterials for Cell Stimulation In Vitro and Electrical Signal Recording In Vivo. ACS Appl. Mater. Interfaces 2018, 10, 33032–33042. [Google Scholar] [CrossRef]
- Schuhmann, W.; Kranz, C.; Huber, J.; Wohlschlager, H. Conducting polymer-based amperometric enzyme electrodes. Towards the development of miniaturized reagentless biosensors. Synth. Met. 1993, 61, 31–35. [Google Scholar] [CrossRef]
- Schuhmann, W.; Kranz, C.; Wohlschlager, H.; Strohmeier, J. Pulse technique for the electrochemical deposition of polymer films on electrode surfaces. Biosens. Bioelectron. 1997, 12, 1157–1167. [Google Scholar] [CrossRef]
- Tsujimoto, M.; Yabutani, T.; Sano, A.; Tani, Y.; Murotani, H.; Mishima, Y.; Maruyama, K.; Yasuzawa, M.; Motonaka, J. Characterization of a Glucose Sensor Prepared by Electropolymerisation of Pyrroles Containing a Tris-bipyridine Osmium Complex. Anal. Sci. 2007, 23, 59–63. [Google Scholar] [CrossRef]
- Cosnier, S.; Galland, B.; Gondran, C.; Le Pellec, A. Electrogeneration of Biotinylated Functionalized Polypyrroles for the Simple Immobilization of Enzymes. Electroanalysis 1998, 10, 808–813. [Google Scholar] [CrossRef]
- Foster, K.; McCormac, T. Synthesis, Characterization and Electrochemical Polymerisation of a Ru2+ Functionalized Pyrrole Monomer. Electroanalysis 2007, 19, 1509–1515. [Google Scholar] [CrossRef]
- Molina, B.G.; Cianga, L.; Bendrea, A.-D.; Cianga, I.; del Valle, L.J.; Estrany, F.; Alemán, C.; Armelin, E. Amphiphilic polypyrrole-poly(Schiff base) copolymers with poly(ethylene glycol) side chains: Synthesis, properties and applications. Polym. Chem. 2018, 9, 4218–4232. [Google Scholar] [CrossRef]
- Shimomura, M.; Miyata, R.; Kuwahara, T.; Oshima, K.; Miyauchi, S. Immobilization of glucose oxidase on the films prepared by electrochemical copolymerisation of pyrrole and 1-(2-carboxyethyl)pyrrole for glucose sensing. Eur. Polym. J. 2007, 43, 388–394. [Google Scholar] [CrossRef]
- Sahmetlioglu, E.; Yuruk, H.; Toppare, L.; Cianga, I.; Yagci, Y. Immobilization of invertase and glucose oxidase in conducting copolymers of thiophene functionalized poly(vinyl alcohol) with pyrrole. React. Funct. Polym. 2006, 66, 365–371. [Google Scholar] [CrossRef]
- Bidan, G.; Billon, M.; Livache, T.; Mathis, G.; Roget, A.; Torres-Rodriguez, L.M. Conducting Polymers as a link between biomolecules and microelectronics. Synth. Met. 1999, 102, 1363–1365. [Google Scholar] [CrossRef]
- Booth, M.A.; Harbison, S.A.; Travas-Sejdic, J. Developing Polypyrrole-based Oligonucleotide Biosensors. Mater. Sci. Forum 2012, 700, 215–218. [Google Scholar] [CrossRef]
- Percec, S.; Skidd, G.; Zheng, M. DNA Binding to Electropolymerized N-Substituted Polypyrrole Surfaces. J. Polym. Sci. Part A Polym. Chem. 2009, 47, 6014–6024. [Google Scholar] [CrossRef]
- Szunerits, S.; Bouffier, L.; Calemczuk, R.; Corso, B.; Demeunynck, M.; Descamps, E.; Defontaine, Y.; Fiche, J.-B.; Fortin, E.; Livache, T.; et al. Comparison of Different Strategies on DNA Chip Fabrication and DNA-Sensing: Optical and Electrochemical Approaches. Electroanalysis 2005, 17, 2001–2017. [Google Scholar] [CrossRef]
- Grosjean, L.; Cherif, B.; Mercey, E.; Roget, A.; Levy, Y.; Marche, P.N.; Villiers, M.-B.; Livache, T. A polypyrrole protein microarray for antibody–antigen interaction studies using a label-free detection process. Anal. Biochem. 2005, 347, 193–200. [Google Scholar] [CrossRef]
- Puri, N.; Mishra, S.K.; Niazi, A.; Biradar, A.M.; Rajesh. Structural and impedance spectroscopic studies on biofunctionalized poly(pyrrole-co-pyrrolepropylic acid) film. Synth. Met. 2013, 169, 18–24. [Google Scholar] [CrossRef]
- Hu, W.; Li, C.M.; Dong, H. Poly(pyrrole-co-pyrrole propylic acid) film and its application in label-free surface plasmon resonance immunosensors. Anal. Chim. Acta 2008, 630, 67–74. [Google Scholar] [CrossRef] [PubMed]
- Mercey, E.; Sadir, R.; Maillart, E.; Roget, A.; Baleux, F.; Lortat-Jacob, H.; Livache, T. Polypyrrole Oligosaccharide Array and Surface Plasmon Resonance Imaging for the Measurement of Glycosaminoglycan Binding Interactions. Anal. Chem. 2008, 80, 3476–3482. [Google Scholar] [CrossRef] [PubMed]
- Hu, W.; Li, C.M.; Cui, X.; Dong, H.; Zhou, Q. In Situ Studies of Protein Adsorptions on Poly(pyrrole-co-pyrrolepropylic acid) Film by Electrochemical Surface Plasmon Resonance. Langmuir 2007, 23, 2761–2767. [Google Scholar] [CrossRef] [PubMed]
- Rajesh; Bisht, V.; Takashima, W.; Kaneto, K. An amperometric urea biosensor based on covalent immobilization of urease onto an electrochemically prepared copolymer poly(N-3-aminopropyl pyrrole-co-pyrrole) film. Biomaterials 2005, 26, 3683–3690. [Google Scholar] [CrossRef] [PubMed]
- Rajesh; Bisht, V.; Takashima, W.; Kaneto, K. A novel thin film urea biosensor based on copolymer poly(N-3-aminopropylpyrrole-co-pyrrole) film. Surf. Coat. Technol. 2005, 198, 231–236. [Google Scholar] [CrossRef]
- Rajesh; Takashima, W.; Kaneto, K. Amperometric phenol biosensor based on covalent immobilization of tyrosinase onto an electrochemically prepared novel copolymer poly (N-3-aminopropyl pyrrole-co-pyrrole) film. Sens. Actuators B 2004, 102, 271–277. [Google Scholar] [CrossRef]
- Arslan, A.; Kiralp, S.; Toppare, L.; Yagci, Y. Immobilization of tyrosinase in polysiloxane/polypyrrole copolymer matrices. Int. J. Biol. Macromol. 2005, 35, 163–167. [Google Scholar] [CrossRef]
- Soylemez, S.; Goker, S.; Toppare, L. A promising enzyme anchoring probe for selective ethanol sensing in beverages. Int. J. Biol. Macromol. 2019, 133, 1228–1235. [Google Scholar] [CrossRef]
- Gursoy, O.; Gursoy, S.S.; Cogal, S.; Cogal, G.C. Development of a New Two-Enzyme Biosensor Based on Poly(Pyrrole-Co-3,4-Ethylenedioxythiophene) for Lactose Determination in Milk. Polym. Eng. Sci. 2018, 58, 839–848. [Google Scholar] [CrossRef]
- Rüger, F.; Schäfer, J.; Bakowski, U.; Keusgen, M.; Vornicescu, D. A Novel N-Substituted Pyrrole Based Surface Modification for Biosensing. Phys. Status Solidi A 2018, 215, 1800030. [Google Scholar] [CrossRef]
- Yang, L.; Zhang, B.; Xu, B.; Zhao, F.; Zeng, B. Ionic liquid functionalized 3D graphene-carbon nanotubes—AuPd nanoparticles—Molecularly imprinted copolymer based paracetamol electrochemical sensor: Preparation, characterization and application. Talanta 2020, 224, 121845. [Google Scholar] [CrossRef] [PubMed]
- Lakey, A.; Ali, Z.; Scott, S.M.; Chebil, S.; Korri-Youssoufi, H.; Hunor, S.; Ohlander, A.; Kuphal, M.; Marti, J.S. Impedimetric array in polymer microfluidic cartridge for low cost point-of-care diagnostics. Biosens. Bioelectron. 2019, 129, 147–154. [Google Scholar] [CrossRef] [PubMed]
- Jeong, K.R.; Lee, I.; Park, J.Y.; Choi, C.S.; Cho, S.H.; Lee, J.L. Enhanced black state induced by spatial silver nanoparticles in an electrochromic device. NPG Asia Mater. 2017, 9, e362. [Google Scholar] [CrossRef]
- Soganci, T.; Soyleyici, S.; Soyleyici, H.C.; Ak, M. High contrast electrochromic polymer and copolymer materials based on amide-substituted poly (dithienyl pyrrole). J. Electrochem. Soc. 2017, 164, H11. [Google Scholar] [CrossRef]
- Jarosz, T.; Gebka, K.; Stolarczyk, A.; Domagala, W. Transparent to Black Electrochromism—The “Holy Grail” of Organic Optoelectronics. Polymers 2019, 11, 273. [Google Scholar] [CrossRef] [PubMed]
- Camurlu, P. Polypyrrole derivatives for electrochromic applications. RSC Adv. 2014, 4, 55832–55845. [Google Scholar] [CrossRef]
- Silva, A.J.C.; Ferreira, S.M.F.; Santos, D.P.; Navarro, M.; Tonholo, J.; Ribeiro, A.S. A multielectrochromic copolymer based on pyrrole and thiophene derivatives. Sol. Energy Mater. Sol. Cells 2012, 103, 108–113. [Google Scholar] [CrossRef]
- Zhang, C.; Hua, C.; Wang, G.; Ouyang, M.; Ma, C. A novel multichromic copolymer via electrochemical copolymerisation of (S)-1,1′-binaphthyl-2,2′-diyl bis(N-(6-hexanoic acid-1-yl)pyrrole) and 3,4-ethylenedioxythiophene. Electrochim. Acta 2010, 55, 4103–4111. [Google Scholar] [CrossRef]
- Tao, Y.-J.; Cheng, H.-F.; Zheng, W.-W.; Zhang, Z.-Y. Electrosynthesis and Characterizations of a Multielectrochromic Copolymer Based on Pyrrole and 3,4-Ethylenedioxythiophene. J. Appl. Polym. Sci. 2013, 127, 636–642. [Google Scholar]
- Camurlu, P.; Gultekin, C. Utilization of novel bithiazole based conducting polymers in electrochromic applications. Smart Mater. Struct. 2012, 21, 1–8. [Google Scholar] [CrossRef]
- Sonmez, G.; Sarac, A.S. Structural study of Pyrrole-EDOT copolymers on carbon fiber microelectrodes. Synth. Met. 2003, 135–136, 459–460. [Google Scholar] [CrossRef]
- Astratine, L.; Magner, E.; Cassidy, J.; Betts, A. Electrodeposition and Characterisation of Copolymers Based on Pyrrole and 3,4-Ethylenedioxythiophene in BMIM BF4 Using a Microcell Configuration. Electrochim. Acta 2014, 115, 440–448. [Google Scholar] [CrossRef]
- Tao, Y.-J.; Cheng, H.-F.; Zheng, W.-W.; Zhang, Z.-Y.; Liu, D.-Q. Electrosynthesises and characterizations of copolymers based on pyrrole and 3,4-ethylenedioxythiophene in aqueous micellar solution. Synth. Met. 2012, 162, 728–734. [Google Scholar] [CrossRef]
- Alkan, S.; Toppare, L.; Hepuzer, Y.; Yagci, Y. Block Copolymers of Thiophene-Capped Poly(methyl methacrylate) with Pyrrole. J. Polym. Sci. Part A: Polym. Chem. 1999, 37, 4218–4225. [Google Scholar] [CrossRef]
- Yildiz, H.B.; Kiralp, S.; Toppare, L.; Yagci, Y.; Ito, K. Synthesis of conducting copolymers of thiophene capped poly(ethylene oxide) with pyrrole and thiophene. Mater. Chem. Phys. 2006, 100, 124–127. [Google Scholar] [CrossRef]
- Kizilyar, N.; Toppare, L.; Önen, A.; Yagci, Y. Conducting copolymers of polypyrrole/polytetrahydrofuran. Polym. Bull. 1998, 40, 639–645. [Google Scholar] [CrossRef]
- Cirpan, A.; Alkan, S.; Toppare, L.; David, G.; Yagci, Y. Synthesis and electroactivity of pyrrole end-functionalized poly(2-methyl-2-oxazoline). Eur. Pol. J. 2001, 37, 2225–2229. [Google Scholar] [CrossRef]
- Tüken, T.; Tansuğ, G.; Yazıcı, B.; Erbil, M. Poly(N-methyl pyrrole) and its copolymer with pyrrole for mild steel protection. Surf. Coat. Technol. 2007, 202, 146–154. [Google Scholar] [CrossRef]
- Cakmakci, I.; Duran, B.; Bereket, G. Influence of electrochemically prepared poly(pyrrole-co-N-methyl pyrrole) and poly(pyrrole)/poly(N-methylpyrrole) composites on corrosion behavior of copper in acidic medium. Prog. Org. Coat. 2013, 76, 70–77. [Google Scholar] [CrossRef]
- Yalcinkaya, S.; Tüken, T.; Yazici, B.; Erbil, M. Electrochemical synthesis and characterization of poly(pyrrole-co-o-toluidine). Prog. Org. Coat. 2008, 63, 424–433. [Google Scholar] [CrossRef]
- Mahmoudian, M.R.; Alias, Y.; Basirum, W.J.; Ebadi, M. Poly (N-methyl pyrrole) and its copolymer with o-toluidine electrodeposited on steel in mixture of DBSA and oxalic acid electrolytes. Curr. Appl. Phys. 2011, 11, 368–375. [Google Scholar] [CrossRef]
- Sayyah, S.M.; El-Deeb, M.M. Electrocopolymerisation of a Binary Mixture of Pyrrole and 2-amino-4-phenylthiazole: Kinetic Studies, Copolymer Structure, and Applications as Corrosion Protection for Mild Steel in Acid Medium. J. Appl. Polym. Sci. 2007, 103, 4047–4058. [Google Scholar] [CrossRef]
- Moon, D.-K.; Padias, A.B.; Hall, H.K., Jr. Electroactive Polymeric Materials for Battery Electrodes: Copolymers of Pyrrole and Pyrrole Derivatives with Oligo(ethy1eneoxy) Chains at the 3-Position. Macromolecules 1995, 28, 6205–6210. [Google Scholar] [CrossRef]
- Roy, C.J.; Leprince, L.; de Boulard, A.; Landoulsi, J.; Callegari, V.; Jonas, A.M.; Demoustier-Champagne, S. Electrosynthesis of pyrrole 3-carboxylic acid copolymer films and nanotubes with tunable degree of functionalization for biomedical applications. Electrochim. Acta 2011, 56, 3641–3648. [Google Scholar] [CrossRef]









| Co-Monomers | Refs. | Co-Monomers | Refs. | ||
|---|---|---|---|---|---|
| A | B | A | B | ||
| Py | 1 | [18,23] | Py | 18 | [34] |
| 1 | 2 | [24] | 20 | 18 | [35] |
| Py | 3, 4, 5 | [25] | Py | 21 | [36] |
| Py | 6, 7 | [26] | Py | Py-dendrimer | [37] |
| Py | 1, 8, 9 | [21,27] | Py | 22 | [38] |
| Py | 10 | [28] | Py | 23 | [39] |
| Py | 11, 12 | [29] | Py | Styrene | [40] |
| Py | 13 | [30,31] | Py | 24 | [41] |
| Py | 14 | [32] | Py | 25 | [42] |
| Py | 15, 16 | [33] | Py | 26 | [43] |
| Py | 9, 17, 18, 19 | [22] | Py | 26, 27, 28 | [44] |
| Co-Monomers | Refs. | Co-Monomers | Refs. | ||
|---|---|---|---|---|---|
| A | B | A | B | ||
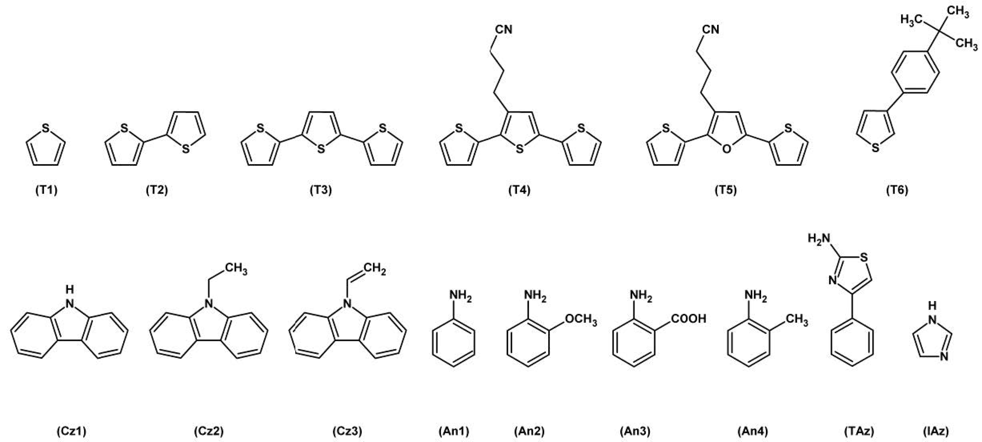
| Py | T1 | [45,46,47] | Py | An1 | [58] |
| Py | T2 | [48] | Py | An2 | [59] |
| 29 | T2, T3, T4, 30, 31 | [49] | Py | An3 | [60,61] |
| 32 | T2, T3, T4, T5, 31 | Py | Biphenyl | [62,63] | |
| Py | T6 | [50] | Py | Phenol | [64] |
| Py | Cz1, Cz2, Cz3 | [51] | Py | IAz | [65] |
| 33 | Cz1 | [52] | Py | Propylene oxide | [66] |
| Py | In | [53,54,56] | Py | ε-caprolactone | [67] |
| 1 | In | [55] | Py | Tetrahydrofuran | [68] |
| Py | Furan | [57] | |||
Publisher’s Note: MDPI stays neutral with regard to jurisdictional claims in published maps and institutional affiliations. |
© 2021 by the authors. Licensee MDPI, Basel, Switzerland. This article is an open access article distributed under the terms and conditions of the Creative Commons Attribution (CC BY) license (http://creativecommons.org/licenses/by/4.0/).
Share and Cite
Jarosz, T.; Ledwon, P. Electrochemically Produced Copolymers of Pyrrole and Its Derivatives: A Plentitude of Material Properties Using “Simple” Heterocyclic Co-Monomers. Materials 2021, 14, 281. https://doi.org/10.3390/ma14020281
Jarosz T, Ledwon P. Electrochemically Produced Copolymers of Pyrrole and Its Derivatives: A Plentitude of Material Properties Using “Simple” Heterocyclic Co-Monomers. Materials. 2021; 14(2):281. https://doi.org/10.3390/ma14020281
Chicago/Turabian StyleJarosz, Tomasz, and Przemyslaw Ledwon. 2021. "Electrochemically Produced Copolymers of Pyrrole and Its Derivatives: A Plentitude of Material Properties Using “Simple” Heterocyclic Co-Monomers" Materials 14, no. 2: 281. https://doi.org/10.3390/ma14020281
APA StyleJarosz, T., & Ledwon, P. (2021). Electrochemically Produced Copolymers of Pyrrole and Its Derivatives: A Plentitude of Material Properties Using “Simple” Heterocyclic Co-Monomers. Materials, 14(2), 281. https://doi.org/10.3390/ma14020281

