Understanding the Microstructure of Mortars for Cultural Heritage Using X-ray CT and MIP
Abstract
1. Introduction
2. Materials and Methods
2.1. Mock-Up Preparation
2.2. Mercury Intrusion Porosimetry (MIP)
2.3. X-ray Micro-Computed Tomography (µCT)
2.4. Environmental Scanning Electron Microscope (ESEM)
3. Results
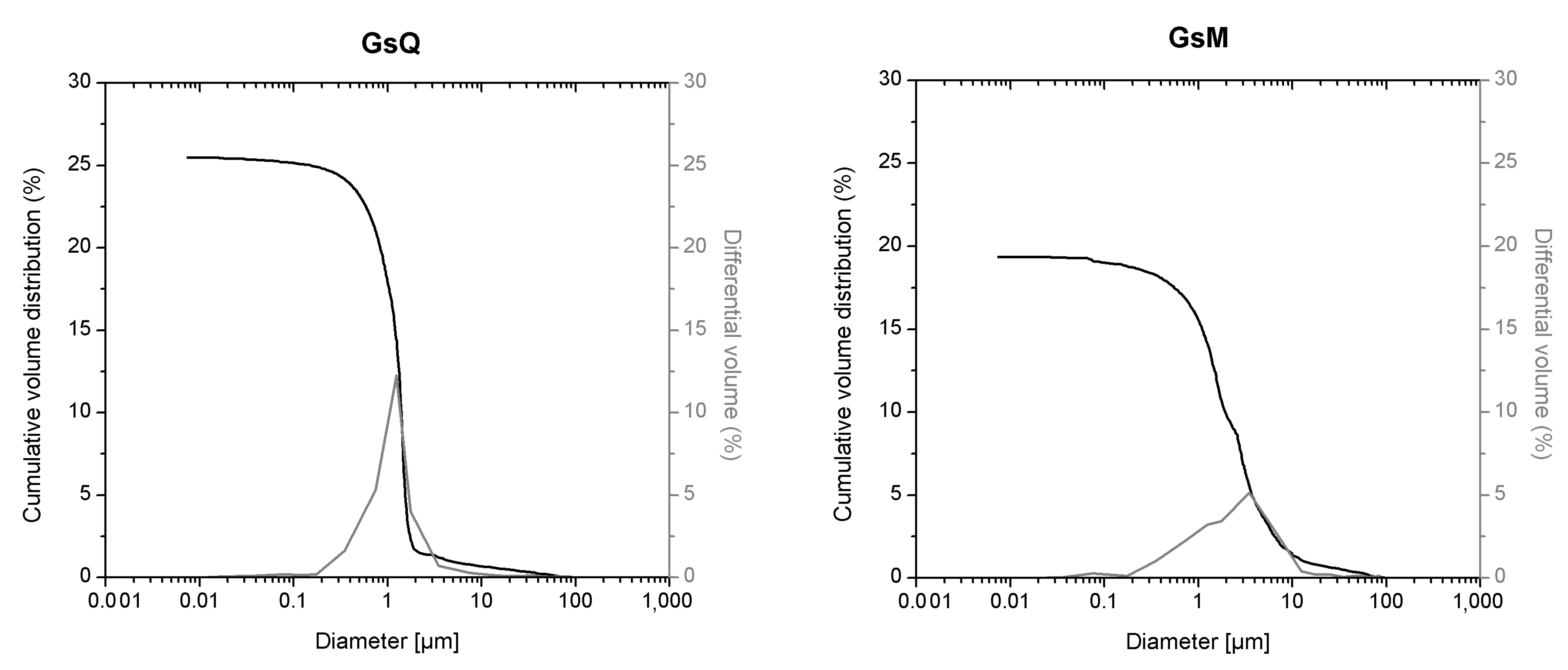
3.1. Mercury Intrusion Porosity (MIP)
- between 0.01 µm and 0.1 µm;
- between 0.1 µm and 1 µm;
- between 1 µm and 10 µm.
3.2. X-ray Computed Tomography Porosity
3.3. Comparison of MIP and µCT Porosity Results
4. Discussion
5. Conclusions
Author Contributions
Funding
Informed Consent Statement
Data Availability Statement
Acknowledgments
Conflicts of Interest
References
- Miriello, D.; Crisci, G.M. Image analysis and flatbed scanners. A visual procedure in order to study the macro-porosity of the archaeological and historical mortars. J. Cult. Herit. 2006, 7, 186–192. [Google Scholar] [CrossRef]
- Marinoni, N.; Pavese, A.; Foi, M.; Trombino, L. Characterisation of mortar morphology in thin sections by digital image processing. Cem. Concr. Res. 2005, 35, 1613–1619. [Google Scholar] [CrossRef]
- Mora, C.F.; Kwan, A.K.H. Sphericity, shape factor, and convexity measurement of coarse aggregate for concrete using digital image processing. Cem. Concr. Res. 2000, 30, 351–358. [Google Scholar] [CrossRef]
- Kwan, A.K.; Mora, C.; Chan, H. Particle shape analysis of coarse aggregate using digital image processing. Cem. Concr. Res. 1999, 29, 1403–1410. [Google Scholar] [CrossRef]
- Taylor, H.F.W. Cement Chemistry, 2nd ed.; Thomas Telford Publishing, Thomas Telford Services Ltd.: London, UK, 1997; Volume 20, 459p. [Google Scholar]
- Hemes, S.; Desbois, G.; Urai, J.L.; Schröppel, B.; Schwarz, J.-O. Multi-scale characterization of porosity in Boom Clay (HADES-level, Mol, Belgium) using a combination of X-ray μ-CT, 2D BIB-SEM and FIB-SEM tomography. Microporous Mesoporous Mater. 2015, 208, 1–20. [Google Scholar] [CrossRef]
- Mosquera, M.J.; Silva, B.; Prieto, B.; Ruiz-Herrera, E. Addition of cement to lime-based mortars: Effect on pore structure and vapor transport. Cem. Concr. Res. 2006, 36, 1635–1642. [Google Scholar] [CrossRef]
- Anovitz, L.M.; Cole, D.R. Characterization and Analysis of Porosity and Pore Structures. Rev. Mineral. Geochem. 2015, 80, 61–164. [Google Scholar] [CrossRef]
- Arandigoyen, M.; Alvarez, J.I. Pore structure and mechanical properties of cement–lime mortars. Cem. Concr. Res. 2007, 37, 767–775. [Google Scholar] [CrossRef]
- Andriani, G.F.; Walsh, N. Physical properties and textural parameters of calcarenitic rocks: Qualitative and quantitative evaluations. Eng. Geol. 2002, 67, 5–15. [Google Scholar] [CrossRef]
- Korat, L.; Ducman, V.; Legat, A.; Mirtič, B. Characterisation of the pore-forming process in lightweight aggregate based on silica sludge by means of X-ray micro-tomography (micro-CT) and mercury intrusion porosimetry (MIP). Ceram. Int. 2013, 39, 6997–7005. [Google Scholar] [CrossRef]
- Cnudde, V.; Cwirzen, A.; Masschaele, B.; Jacobs, P.J.S. Porosity and microstructure characterization of building stones and concretes. Eng. Geol. 2009, 103, 76–83. [Google Scholar] [CrossRef]
- Beaudoin, J.J. Porosity measurement of some hydrated cementitious systems by high pressure mercury intrusion-microstructural limitations. Cem. Concr. Res. 1979, 9, 771–781. [Google Scholar] [CrossRef]
- Cheng-yi, H.; Feldman, R.F. Influence of silica fume on the microstructural development in cement mortars. Cem. Concr. Res. 1985, 15, 285–294. [Google Scholar] [CrossRef]
- Shi, D.; Winslow, D.N. Contact angle and damage during mercury intrusion into cement paste. Cem. Concr. Res. 1985, 15, 645–654. [Google Scholar] [CrossRef]
- Olson, R.A.; Neubauer, C.M.; Jennings, H.M. Damage to the Pore Structure of Hardened Portland Cement Paste by Mercury Intrusion. J. Am. Ceram. Soc. 2005, 80, 2454–2458. [Google Scholar] [CrossRef]
- Odler, I.; Köster, H. Investigations on the structure of fully hydrated Portland cement and tricalcium silicate pastes. II. Total porosity and pore size distribution. Cem. Concr. Res. 1986, 16, 893–901. [Google Scholar] [CrossRef]
- Lange, D.A.; Jennings, H.M.; Shah, S.P. Image analysis techniques for characterization of pore structure of cement-based materials. Cem. Concr. Res. 1994, 24, 841–853. [Google Scholar] [CrossRef]
- Cook, R.A.; Hover, K.C. Mercury porosimetry of hardened cement pastes. Cem. Concr. Res. 1999, 29, 933–943. [Google Scholar] [CrossRef]
- Arandigoyen, M.; Alvarez, J.I. Blended pastes of cement and lime: Pore structure and capillary porosity. Appl. Surf. Sci. 2006, 252, 8077–8085. [Google Scholar] [CrossRef]
- Münch, B.; Holzer, L. Contradicting geometrical concepts in pore size analysis attained with electron microscopy and mercury intrusion. J. Am. Ceram. Soc. 2008, 91, 4059–4067. [Google Scholar] [CrossRef]
- Johannesson, B.; Utgenannt, P. Microstructural changes caused by carbonation of cement mortar. Cem. Concr. Res. 2001, 31, 925–931. [Google Scholar] [CrossRef]
- Klobes, P.; Riesemeier, H.; Meyer, K.; Goebbels, J.; Hellmuth, K.-H. Rock porosity determination by combination of X-ray computerized tomography with mercury porosimetry. Fresenius’ J. Anal. Chem. 1997, 357, 543–547. [Google Scholar] [CrossRef]
- Lu, S.; Landis, E.N.; Keane, D.T. X-ray microtomographic studies of pore structure and permeability in Portland cement concrete. Mater. Struct. 2007, 39, 611–620. [Google Scholar] [CrossRef]
- Wan, K.; Xu, Q. Local porosity distribution of cement paste characterized by X-ray micro-tomography. Sci. China Technol. Sci. 2014, 57, 953–961. [Google Scholar] [CrossRef]
- du Plessis, A.; Olawuyi, B.J.; Boshoff, W.P.; le Roux, S.G. Simple and fast porosity analysis of concrete using X-ray computed tomography. Mater. Struct. 2016, 49, 553–562. [Google Scholar] [CrossRef]
- Lanzón, M.; Cnudde, V.; de Kock, T.; Dewanckele, J. X-ray microtomography (μ-CT) to evaluate microstructure of mortars containing low density additions. Cem. Concr. Compos. 2012, 34, 993–1000. [Google Scholar] [CrossRef]
- Cnudde, V.; Dewanckele, J.; Boone, M.; de Kock, T.; Boone, M.; Brabant, L.; Dusar, M.; de Ceukelaire, M.; de Clercq, H.; Hayen, R.; et al. High-resolution X-ray CT for 3D petrography of ferruginous sandstone for an investigation of building stone decay. Microsc. Res. Tech. 2011, 74, 1006–1017. [Google Scholar] [CrossRef]
- Lanzón, M.; Cnudde, V.; de Kock, T.; Dewanckele, J.; Piñero, A. X-ray tomography and chemical-physical study of a calcarenite extracted from a Roman quarry in Cartagena (Spain). Eng. Geol. 2014, 171, 21–30. [Google Scholar] [CrossRef]
- Peng, S.; Hu, Q.; Dultz, S.; Zhang, M. Using X-ray computed tomography in pore structure characterization for a Berea sandstone: Resolution effect. J. Hydrol. 2012, 472, 254–261. [Google Scholar] [CrossRef]
- Brabant, L.; Vlassenbroeck, J.; de Witte, Y.; Cnudde, V.; Boone, M.N.; Dewanckele, J.; Van Hoorebeke, L. Three-Dimensional Analysis of High-Resolution X-Ray Computed Tomography Data with Morpho+. Microsc. Microanal. 2011, 17, 252–263. [Google Scholar] [CrossRef]
- Pauli, J.; Scheying, G.; Mügge, C.; Zschunke, A.; Lorenz, P. Determination of the pore widths of highly porous materials with NMR microscopy. Fresenius’ J. Anal. Chem. 1997, 357, 508–513. [Google Scholar] [CrossRef]
- Brai, M.; Casieri, C.; De Luca, F.; Fantazzini, P.; Gombia, M.; Terenzi, C. Validity of NMR pore-size analysis of cultural heritage ancient building materials containing magnetic impurities. Solid State Nucl. Magn. Reson. 2007, 32, 129–135. [Google Scholar] [CrossRef] [PubMed]
- Muller, A.C.A.; Scrivener, K.L. A reassessment of mercury intrusion porosimetry by comparison with 1H NMR relaxometry. Cem. Concr. Res. 2017, 100, 350–360. [Google Scholar] [CrossRef]
- Zuena, M.; Tomasin, P.; Alberghina, M.F.; Longo, A.; Marrale, M.; Gallo, S.; Zendri, E. Comparison between mercury intrusion porosimetry and nuclear magnetic resonance relaxometry to study the pore size distribution of limestones treated with a new consolidation product. Measurement 2019, 143, 234–245. [Google Scholar] [CrossRef]
- Coppola, R.; Lapp, A.; Magnani, M.; Valli, M. Non-destructive investigation of microporosity in marbles by means of small angle neutron scattering. Constr. Build. Mater. 2002, 16, 223–227. [Google Scholar] [CrossRef]
- Thomson, M. 2.5 Porosity of mortars. In Characterisation of Old Mortars with Respect to their Repair—Final Report of RILEM TC 167–COM; Groot, C., Ashall, G., Hughes, J., Eds.; RILEM Publications SARL: Bagneux, France, 2004; pp. 77–106. [Google Scholar]
- Papayianni, I.; Stefanidou, M. Strength-porosity relationships in lime-pozzolan mortars. Constr. Build. Mater. 2006, 20, 700–705. [Google Scholar] [CrossRef]
- Gulotta, D.; Goidanich, S.; Tedeschi, C.; Nijland, T.G.; Toniolo, L. Commercial NHL-containing mortars for the preservation of historical architecture. Part 1: Compositional and mechanical characterisation. Constr. Build. Mater. 2013, 38, 31–42. [Google Scholar] [CrossRef]
- Stefanidou, M. Methods for porosity measurement in lime-based mortars. Constr. Build. Mater. 2010, 24, 2572–2578. [Google Scholar] [CrossRef]
- Tedeschi, C.; Garavaglia, E. A probabilistic approach to investigate the physical compatibility between bedding and re-pointing mortars. In Proceedings of the International Conference on Sustainable Materials, Systems and Structures (SMSS2019) Durability, Monitoring and Repair of Structures (PRO 128), Rovinj, Croatia, 18–22 March 2019; Baričević, A., Rukavina, M.J., Damjanović, D., Guadagnini, M., Eds.; RILEM Publications SARL: Rovinj, Croatia, 2019; pp. 700–707. [Google Scholar]
- Moro, F.; Böhni, H. Ink-Bottle Effect in Mercury Intrusion Porosimetry of Cement-Based Materials. J. Colloid Interface Sci. 2002, 246, 135–149. [Google Scholar] [CrossRef]
- Abell, A.B.; Willis, K.L.; Lange, D.A. Mercury intrusion porosimetry and image analysis of cement-based materials. J. Colloid Interface Sci. 1999, 211, 39–44. [Google Scholar] [CrossRef]
- Diamond, S. A critical comparison of mercury porosimetry and capillary condensation pore size distributions of Portland cement pastes. Cem. Concr. Res. 1971, 1, 531–545. [Google Scholar] [CrossRef]
- Diamond, S. Mercury porosimetry: An inappropriate method for the measurement of pore size distributions in cement-based materials. Cem. Concr. Res. 2000, 30, 1517–1525. [Google Scholar] [CrossRef]
- Tariq, F.; Haswell, R.; Lee, P.D.; McComb, D.W. Characterization of hierarchical pore structures in ceramics using multiscale tomography. Acta Mater. 2011, 59, 2109–2120. [Google Scholar] [CrossRef]
- Winslow, D.; Diamond, S. A mercury porosimetry study of the evolution of porosity in Portland cement. J. Mater. 1970, 5, 564–585. [Google Scholar] [CrossRef]
- Diamond, S.; Bonen, D. Microstructure of Hardened Cement Paste—A New Interpretation. J. Am. Ceram. Soc. 1993, 76, 2993–2999. [Google Scholar] [CrossRef]
- Diamond, S. Aspects of concrete porosity revisited. Cem. Concr. Res. 1999, 29, 1181–1188. [Google Scholar] [CrossRef]
- Maire, E. X-Ray Tomography Applied to the Characterization of Highly Porous Materials. Annu. Rev. Mater. Res. 2012, 42, 163–178. [Google Scholar] [CrossRef]
- Cnudde, V.; Jacobs, P. Preliminary results of X-ray micro-tomography applied in conservation and restoration of natural building stones. In Proceedings of the X-ray CT for Geomaterials: Soils, Concrete, Rocks, Kumamoto, Japan, 6–7 November 2003; Otani, J., Obara, Y., Eds.; AA Balkema Publishers: Lisse, The Netherlands, 2004; pp. 363–371. [Google Scholar]
- du Plessis, A.; Boshoff, W.P. A review of X-ray computed tomography of concrete and asphalt construction materials. Constr. Build. Mater. 2019, 199, 637–651. [Google Scholar] [CrossRef]
- Du Plessis, A.; Yadroitsev, I.; Yadroitsava, I.; Le Roux, S.G. X-Ray Microcomputed Tomography in Additive Manufacturing: A Review of the Current Technology and Applications. 3D Print. Addit. Manuf. 2018, 5, 227–247. [Google Scholar] [CrossRef]
- Tedeschi, C.; Binda, L.; Garavaglia, E. Probabilistic Evaluation of the Durability of Ready Mix Mortars on the Maintenance of Historic Masonry. In Proceedings of the 12th International Conference on Durability of Building Materials and Components XII DBMC, Porto, Portugal, 12–15 April 2011; Peixoto de Freitas, V., Corvacho, H., Lacasse, M., Eds.; FEUP Ediçoes: Porto, Portugal, 2011; pp. 1–9. [Google Scholar]
- Gulotta, D.; Goidanich, S.; Tedeschi, C.; Toniolo, L. Commercial NHL-containing mortars for the preservation of historical architecture. Part 2: Durability to salt decay. Constr. Build. Mater. 2015, 96, 198–208. [Google Scholar] [CrossRef]
- Stefanigou, M. Microstructure aspects related to durable lime mortars. In Proceedings of the International Conference on Sustainable Materials, Systems and Structures (SMSS2019) Durability, Monitoring and Repair of Structures (PRO 128), Rovinj, Croatia, 18–22 March 2019; Baričević, A., Rukavina, M.J., Damjanović, D., Guadagnini, M., Eds.; RILEM Publications, SARL: Rovinj, Croatia, 2019; pp. 637–643. [Google Scholar]
- Igea Romera, J.; Martínez-Ramírez, S.; Lapuente, P.; Blanco-Varela, M.T. Assessment of the physico-mechanical behaviour of gypsum-lime repair mortars as a function of curing time. Environ. Earth Sci. 2013, 70, 1605–1618. [Google Scholar] [CrossRef][Green Version]
- Cnudde, V.; Boone, M.N. High-resolution X-ray computed tomography in geosciences: A review of the current technology and applications. Earth-Sci. Rev. 2013, 123, 1–17. [Google Scholar] [CrossRef]
- Brunello, V.; Corti, C.; Sansonetti, A.; Tedeschi, C.; Rampazzi, L. Non-invasive FTIR study of mortar model samples: Comparison among innovative and traditional techniques. Eur. Phys. J. Plus 2019, 134, 270. [Google Scholar] [CrossRef]
- Brunello, V. Mortars: A complex material in cultural heritage A multi-analytical procedure to characterize historical mortars. Ph.D. Thesis, Università dell’Insubria, Varese, Italia, 2020. [Google Scholar]
- Ente Italiano di Normazione UNI EN 459-1:2015 Building Lime—Part 1: Definitions, Specifications and Conformity Criteria. 2015. Available online: https://standards.iteh.ai/catalog/standards/cen/588081bb-ff4e-4421-997c-2d7dcab1b6ac/en-459-1-2015 (accessed on 29 August 2021).
- EN 1015-11: 1999—Methods of Test for Mortar for Masonry. 1999. Available online: https://standards.iteh.ai/catalog/standards/cen/7a575e90-4735-4c98-8034-9ec96633f0d2/en-1015-11-1999 (accessed on 29 August 2021).
- EN 196—Methods of Testing Cement—Part I. 2005, Volume 1. Available online: https://standards.iteh.ai/catalog/standards/cen/37b8816e-4085-4dcc-a642-a383d9bddd6c/en-196-1-2016 (accessed on 29 August 2021).
- Masschaele, B.; Dierick, M.; van Loo, D.; Boone, M.N.; Brabant, L.; Pauwels, E.; Cnudde, V.; van Hoorebeke, L. HECTOR: A 240kV micro-CT setup optimized for research. J. Phys. Conf. Ser. 2013, 463, 012012. [Google Scholar] [CrossRef]
- Vlassenbroeck, J.; Dierick, M.; Masschaele, B.; Cnudde, V.; Van Hoorebeke, L.; Jacobs, P. Software tools for quantification of X-ray microtomography at the UGCT. Nucl. Instrum. Methods Phys. Res. Sect. A Accel. Spectrometers Detect. Assoc. Equip. 2007, 580, 442–445. [Google Scholar] [CrossRef]
- Software manual of “Inside Matters Octopus Analysis 1.1.1.3” 2015, 32.
- Brunello, V.; Bersani, D.; Rampazzi, L.; Sansonetti, A.; Tedeschi, C. Gypsum based mixes for conservation purposes: Evaluation of microstructural and mechanical features. Mater. Construcción 2020, 70, 207. [Google Scholar] [CrossRef]
- Jroundi, F.; Gonzalez-Muñoz, M.T.; Garcia-Bueno, A.; Rodriguez-Navarro, C. Consolidation of archaeological gypsum plaster by bacterial biomineralization of calcium carbonate. Acta Biomater. 2014, 10, 3844–3854. [Google Scholar] [CrossRef]
- Papayianni, I.; Stefanidou, M. The Evolution of Porosity in Lime Based Mortars. In Proceedings of the 8th Euroseminar on Microscopy Applied to Building Materials, Athens, Greece, 4–7 September 2001. [Google Scholar]
- Hayen, R.; Van Balen, K.; Van Gemert, D. The Influence Of Production Processes And Mortar Compositions On The Properties Of Historical Mortars. In Proceedings of the 9th Canadian Masonry Symposium, Fredericton, NB, Canada, June 2001; Available online: http://canadamasonrydesigncentre.com/download/9th_symposium/MORTAR06.pdf (accessed on 29 August 2021).
- Schäfer, J.; Hilsdorf, H.K. Ancient and New Lime Mortars—The correlation between their composition, structure and properties. In Conservation of Stone and Other Materials, Proceedings of the International RILEM/UNESCO Congress Held at the UNESCO Headquarters, Paris, France, 29 June–1 July 1992; E. & F.N. Spon: New York, NY, USA, 1993; Volume 2, pp. 605–612. [Google Scholar]
- Zhu, J.; Zhang, R.; Zhang, Y.; He, F. The fractal characteristics of pore size distribution in cement-based materials and its effect on gas permeability. Sci. Rep. 2019, 9, 1–12. [Google Scholar] [CrossRef]
- Freire, T.; Veiga, M.R.; Silva, A.S.; Brito, J. Improving the Durability of Portuguese Historical Gypsum Plasters Using Compatible Restoration Products. In Proceedings of the 12th International Conference on Durability of Building Materials and Components XII DBMC, Porto, Portugal, 12–15 April 2011; Peixoto de Freitas, V., Corvacho, H., Lacasse, M., Eds.; FEUP Ediçoes: Porto, Portugal, 2011; pp. 905–913. [Google Scholar]













| Mortars | ||||
|---|---|---|---|---|
| Binder | Aggregate | Water/Binder (w/w) | B/A (w/w) | Label |
| Lime putty | quartz sand | - | 1:3 | GQ |
| Hydrated lime | quartz sand | 67:100 | 1:3 | CQ |
| CEM I | quartz sand | 50:100 | 1:3 | CIQ |
| CEM IV | quartz sand | 50:100 | 1:3 | CIVQ |
| Gypsum | quartz sand | 55:100 | 1:3 | GsQ |
| NHL 3.5 | quartz sand | 55:100 | 1:3 | NQ |
| Lime putty | crushed limestone aggregate | - | 1:3 | GM |
| Hydrated lime | crushed limestone aggregate | 67:100 | 1:3 | CM |
| CEM I | crushed limestone aggregate | 50:100 | 1:3 | CIM |
| CEM IV | crushed limestone aggregate | 50:100 | 1:3 | CIVM |
| Gypsum | crushed limestone aggregate | 55:100 | 1:3 | GsM |
| NHL 3.5 | crushed limestone aggregate | 55:100 | 1:3 | NM |
| MIP Results | ||||
|---|---|---|---|---|
| Binder Type | Sample Label | Total Cumulative Volume (mm3/g) | Average Pore Radius (μm) | Total Porosity (%) |
| Lime putty | GQ | 126.4 | 4.35 | 21.8 |
| GM | 134.0 | 2.42 | 24.7 | |
| Hydrated lime | CQ | 133.3 | 0.58 | 22 |
| CM | 133.2 | 0.44 | 25 | |
| CEM I | CIQ | 49.3 | 0.02 | 8.8 |
| CIM | 46.1 | 0.03 | 9.4 | |
| CEM IV | CIVQ | 45.5 | 0.02 | 8.7 |
| CIVM | 60.7 | 0.09 | 12 | |
| Gypsum | GsQ | 146.5 | 0.65 | 25.5 |
| GsM | 109.9 | 0.92 | 19 | |
| NHL3.5 | NQ | 121.0 | 0.34 | 21.9 |
| NM | 125.5 | 0.13 | 22 | |
| µCT Results | |||||
|---|---|---|---|---|---|
| Binder Type | Sample Label | Porosity Total Volume (%) | Equivalent Diameter (µm) | Maximum Opening (µm) | Sphericity |
| Lime putty | GQ | 18 | 50.6 | 28.8 | 0.52 |
| GM | 12.9 | 59.8 | 28 | 0.47 | |
| Hydrated lime | CQ | 5.6 | 43.7 | 25 | 0.54 |
| CM | 6 | 37.1 | 20 | 0.49 | |
| CEM I | CIQ | 7 | 46 | 32.2 | 0.67 |
| CIM | 7.45 | 93.4 | 58.5 | 0.57 | |
| CEM IV | CIVQ | 3.5 | 90.5 | 65.7 | 0.59 |
| CIVM | 5.9 | 33.9 | 19.5 | 0.46 | |
| Gypsum | GsQ | 2 | 45.9 | 28.1 | 0.56 |
| GsM | 12 | 26 | 14.5 | 0.48 | |
| NHL 3.5 | NQ | 6 | 62.4 | 46.7 | 0.63 |
| NM | 7 | 21.7 | 13.95 | 0.47 | |
| MIP | µCT | |
|---|---|---|
| Sample Label | Total Porosity (%) | Total Porosity (%) |
| CIQ | 8.8 | 7 |
| CIM | 9.4 | 7 |
| CIVQ | 8.7 | 3.5 |
| CIVM | 12 | 5.9 |
| CQ | 22 | 5.6 |
| CM | 25 | 6 |
| GQ | 21.8 | 18 |
| GM | 24.7 | 12.9 |
| GsQ | 25.5 | 2 |
| GsM | 19 | 12 |
| NQ | 21.9 | 6 |
| NM | 22 | 7 |
Publisher’s Note: MDPI stays neutral with regard to jurisdictional claims in published maps and institutional affiliations. |
© 2021 by the authors. Licensee MDPI, Basel, Switzerland. This article is an open access article distributed under the terms and conditions of the Creative Commons Attribution (CC BY) license (https://creativecommons.org/licenses/by/4.0/).
Share and Cite
Brunello, V.; Canevali, C.; Corti, C.; De Kock, T.; Rampazzi, L.; Recchia, S.; Sansonetti, A.; Tedeschi, C.; Cnudde, V. Understanding the Microstructure of Mortars for Cultural Heritage Using X-ray CT and MIP. Materials 2021, 14, 5939. https://doi.org/10.3390/ma14205939
Brunello V, Canevali C, Corti C, De Kock T, Rampazzi L, Recchia S, Sansonetti A, Tedeschi C, Cnudde V. Understanding the Microstructure of Mortars for Cultural Heritage Using X-ray CT and MIP. Materials. 2021; 14(20):5939. https://doi.org/10.3390/ma14205939
Chicago/Turabian StyleBrunello, Valentina, Carmen Canevali, Cristina Corti, Tim De Kock, Laura Rampazzi, Sandro Recchia, Antonio Sansonetti, Cristina Tedeschi, and Veerle Cnudde. 2021. "Understanding the Microstructure of Mortars for Cultural Heritage Using X-ray CT and MIP" Materials 14, no. 20: 5939. https://doi.org/10.3390/ma14205939
APA StyleBrunello, V., Canevali, C., Corti, C., De Kock, T., Rampazzi, L., Recchia, S., Sansonetti, A., Tedeschi, C., & Cnudde, V. (2021). Understanding the Microstructure of Mortars for Cultural Heritage Using X-ray CT and MIP. Materials, 14(20), 5939. https://doi.org/10.3390/ma14205939

