Space Maintainers Used in Pediatric Dentistry: An Insight of Their Biosecurity Profile by Applying In Vitro Methods
Abstract
:1. Introduction
2. Materials and Methods
2.1. SEM Analysis
2.2. Antimicrobial Assay
2.3. Cell Lines and Cell Culture Conditions
2.4. Cell Morphology Assessment
2.5. Cell Viability Assay by Means of Alamar Blue Test
2.6. Lactate Dehydrogenase Assay
2.7. RT–PCR Protocol
2.8. Statistical Analysis
3. Results
3.1. SEM Evaluation of Space Maintainers’ Surface
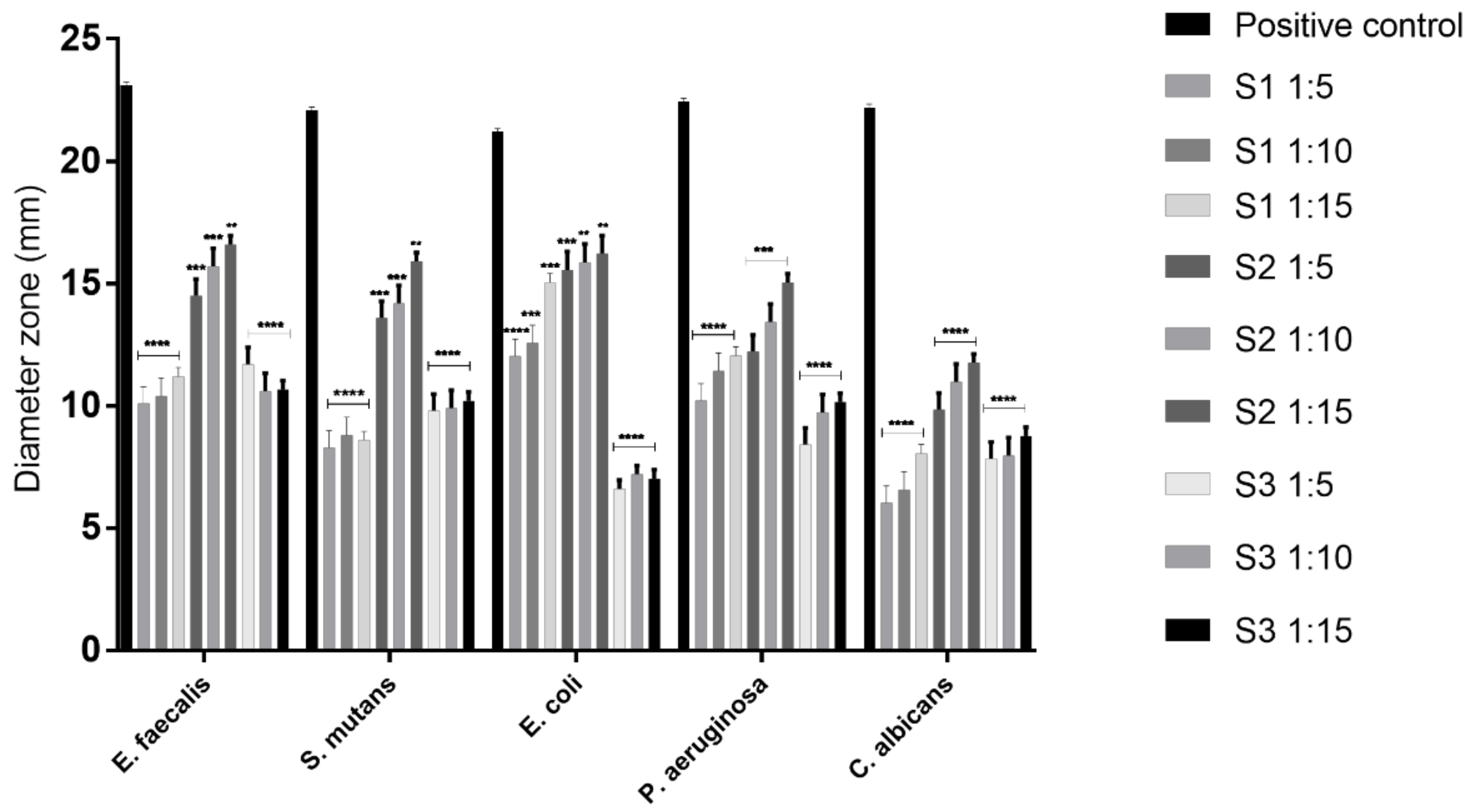
3.2. Antimicrobial Evaluation
3.3. Cell Morphology Assessment
3.4. Cell Viability Assesment
3.5. Evaluation of the Cytotoxic Effect through LDH Release Method
3.6. RT–PCR
4. Discussion
5. Conclusions
Author Contributions
Funding
Institutional Review Board Statement
Informed Consent Statement
Data Availability Statement
Acknowledgments
Conflicts of Interest
References
- Arikan, V.; Kizilci, E.; Ozalp, N.; Ozcelik, B. Effects of Fixed and Removable Space Maintainers on Plaque Accumulation, Periodontal Health, Candidal and Enterococcus Faecalis Carriage. Med. Princ. Pract. 2015, 24, 311–317. [Google Scholar] [CrossRef]
- Setia, V.; Pandit, I.K.; Srivastava, N.; Gugnani, N.; Sekhon, H.K. Space maintainers in dentistry: Past to present. J. Clin. Diagn. Res. 2013, 7, 2402–2405. [Google Scholar] [CrossRef]
- Valm, A.M. The Structure of Dental Plaque Microbial Communities in the Transition from Health to Dental Caries and Periodontal Disease. J. Mol. Biol. 2019, 431, 2957–2969. [Google Scholar] [CrossRef]
- Saloom, H.F.; Mohammed-Salih, H.S.; Rasheed, S.F. The influence of different types of fixed orthodontic appliance on the growth and adherence of microorganisms (in vitro study). J. Clin. Exp. Dent. 2013, 5, e36–e41. [Google Scholar] [CrossRef] [PubMed]
- Ireland, A.J.; Soro, V.; Sprague, S.V.; Harradine, N.W.; Day, C.; Al-Anezi, S.; Jenkinson, H.F.; Sherriff, M.; Dymock, D.; Sandy, J.R. The effects of different orthodontic appliances upon microbial communities. Orthod. Craniofacial Res. 2014, 17, 115–123. [Google Scholar] [CrossRef] [PubMed]
- Lucchese, A.; Bonini, C.; Noviello, M.; Lupo Stanghellini, M.T.; Greco, R.; Peccatori, J.; Biella, A.; Tassi, E.; Beretta, V.; Ciceri, F.; et al. The Effect of Removable Orthodontic Appliances on Oral Microbiota: A Systematic Review. Appl. Sci. 2021, 11, 2881. [Google Scholar] [CrossRef]
- Alghamdi, F.; Shakir, M. The Influence of Enterococcus faecalis as a Dental Root Canal Pathogen on Endodontic Treatment: A Systematic Review. Cureus 2020, 12, e7257. [Google Scholar] [CrossRef] [Green Version]
- Xiao, J.; Moon, Y.; Li, L.; Rustchenko, E.; Wakabayashi, H.; Zhao, X.; Feng, C.; Gill, S.R.; McLaren, S.; Malmstrom, H.; et al. Candida albicans Carriage in Children with Severe Early Childhood Caries (S-ECC) and Maternal Relatedness. PLoS ONE 2016, 11, e0164242. [Google Scholar] [CrossRef] [Green Version]
- Lupi, S.M.; Zaffe, D.; Rodriguez y Baena, R.; Rizzo, S.; Botticelli, A.R. Cytopathological and chemico-physical analyses of smears of mucosa surrounding oral piercing. Oral Dis. 2010, 16, 160–166. [Google Scholar] [CrossRef]
- Anand, A.; Sharma, A.; Kumar, P.; Sandhu, M.; Sachdeva, S.; Sachdev, V. A Comparative Study of Biodegradation of Nickel and Chromium from Space Maintainers: An in vitro Study. Int. J. Clin. Pediatr. Dent. 2015, 8, 37–41. [Google Scholar] [CrossRef]
- Satija, A.; Sidhu, M.S.; Grover, S.; Malik, V.; Yadav, P.; Diwakar, R. Evaluation of Salivary and Serum Concentration of Nickel and Chromium Ions in Orthodontic Patients and Their Possible Influence on Hepatic Enzymes: An in vivo Study. J. Ind. Orthod. Soc. 2014, 48, 518–524. [Google Scholar] [CrossRef]
- Ramakrishnan, M.; Dhanalakshmi, R.; Subramanian, E. Survival rate of different fixed posterior space maintainers used in Paediatric Dentistry—A systematic review. Saudi Dent. J. 2019, 31, 165–172. [Google Scholar] [CrossRef] [PubMed]
- Patano, A.; Cirulli, N.; Beretta, M.; Plantamura, P.; Inchingolo, A.D.; Inchingolo, A.M.; Bordea, I.R.; Malcangi, G.; Marinelli, G.; Scarano, A.; et al. Education Technology in Orthodontics and Paediatric Dentistry during the COVID-19 Pandemic: A Systematic Review. Int. J. Environ. Res. Public Health 2021, 18, 6056. [Google Scholar] [CrossRef]
- Bordea, I.R.; Sîrbu, A.; Lucaciu, O.; Ilea, A.; Câmpian, R.S.; Todea, D.A.; Alexescu, T.G.; Aluaș, M.; Budin, C.; Pop, A.S. Microleakage—The Main Culprit in Bracket Bond Failure? J. Mind Med. Sci. 2019, 6, 15. [Google Scholar] [CrossRef] [Green Version]
- Kettle, J.E.; Hyde, A.C.; Frawley, T.; Granger, C.; Longstaff, S.J.; Benson, P.E. Managing orthodontic appliances in everyday life: A qualitative study of young people’s experiences with removable functional appliances, fixed appliances and retainers. J. Orthod. 2020, 47, 47–54. [Google Scholar] [CrossRef]
- Ölschläger, V.; Schrader, A.; Hockertz, S. Comparison of Primary Human Fibroblasts and Keratinocytes with Immortalized Cell Lines Regarding their Sensitivity to SodiumDodecyl Sulfate in a Neutral Red Uptake Cytotoxicity Assay. Arzneimittelforschung 2009, 59, 146–152. [Google Scholar]
- Fabricky, M.M.C.; Gabor, A.G.; Milutinovici, R.A.; Watz, C.G.; Avram, S.; Drăghici, G.; Mihali, C.V.; Moacă, E.A.; Dehelean, C.A.; Galuscan, A.; et al. Scaffold-Type Structure Dental Ceramics with Different Compositions Evaluated through Physicochemical Characteristics and Biosecurity Profiles. Materials 2021, 14, 2266. [Google Scholar] [CrossRef]
- Szuhanek, C.A.; Watz, C.G.; Avram, Ș.; Moacă, E.-A.; Mihali, C.V.; Popa, A.; Campan, A.A.; Nicolov, M.; Dehelean, C.A. Comparative Toxicological In Vitro and In Ovo Screening of Different Orthodontic Implants Currently Used in Dentistry. Materials 2020, 13, 5690. [Google Scholar] [CrossRef]
- Popa, A.; Dehelean, C.; Calniceanu, H.; Watz, C.; Brad, S.; Sinescu, C.; Marcu, O.A.; Popa, C.S.; Avram, S.; Nicolov, M.; et al. A Custom-Made Orthodontic Mini-Implant—Effect of Insertion Angle and Cortical Bone Thickness on Stress Distribution with a Complex In Vitro and In Vivo Biosafety Profile. Materials 2020, 13, 4789. [Google Scholar] [CrossRef]
- Dumbrava, D.; Popescu, L.A.; Soica, C.M.; Nicolin, A.; Cocan, I.; Negrea, M.; Alexa, E.; Obistioiu, D.; Radulov, I.; Popescu, S.; et al. Nutritional, Antioxidant, Antimicrobial, and Toxicological Profile of Two Innovative Types of Vegan, Sugar-Free Chocolate. Foods 2020, 9, 1844. [Google Scholar] [CrossRef]
- Pop, D.; Buzatu, R.; Moacă, E.A.; Watz, C.G.; Cîntă-Pînzaru, S.; Barbu Tudoran, L.; Nekvapil, F.; Avram, Ș.; Dehelean, C.A.; Crețu, M.O.; et al. Development and Characterization of Fe3O4@Carbon Nanoparticles and Their Biological Screening Related to Oral Administration. Materials 2021, 14, 3556. [Google Scholar] [CrossRef]
- De Andrade Lima Chaves, C.; de Souza Costa, C.A.; Vergani, C.E.; Chaves de Souza, P.P.; Machado, A.L. Effects of soft denture liners on L929 fibroblasts, HaCaT keratinocytes, and RAW 264.7 macrophages. Biomed. Res. Int. 2014, 840613. [Google Scholar] [CrossRef]
- ISO 10993-5:2009. Reviewed and Confirmed in 2017, Biological Evaluation of Medical Devices—Part 5: Tests for In Vitro Cytotoxicity. ISO Catalogue, Edition 3. Available online: https://www.iso.org/standard/36406.html (accessed on 11 June 2021).
- Performance Standards for Antimicrobial Susceptibility Testing, 30th ed.; CLSI Sup-Plement M100; Clinical and Laboratory Standards Institute: Wayne, PA, USA, 2020.
- Popovici, R.A.; Vaduva, D.; Pinzaru, I.; Dehelean, C.A.; Farcas, C.G.; Coricovac, D.; Danciu, C.; Popescu, I.; Alexa, E.; Lazureanu, V.; et al. A comparative study on the biological activity of essential oil and total hydro-alcoholic extract of Satureja hortensis L. Exp. Ther. Med. 2019, 18, 932–942. [Google Scholar] [CrossRef]
- Guran, K.; Buzatu, R.; Pinzaru, I.; Boruga, M.; Marcovici, I.; Coricovac, D.; Avram, S.; Poenaru, M.; Susan, M.; Susan, R.; et al. In Vitro Pharmaco-Toxicological Characterization of Melissa officinalis Total Extract Using Oral, Pharynx and Colorectal Carcinoma Cell Lines. Processes 2021, 9, 850. [Google Scholar] [CrossRef]
- Coricovac, D.; Farcas, C.; Nica, C.; Pinzaru, I.; Simu, S.; Stoian, D.; Soica, C.; Proks, M.; Avram, S.; Navolan, D.; et al. Ethinylestradiol and Levonorgestrel as Active Agents in Normal Skin, and Pathological Conditions Induced by UVB Exposure: In Vitro and In Ovo Assessments. Int. J. Mol. Sci. 2018, 19, 3600. [Google Scholar] [CrossRef] [PubMed] [Green Version]
- Maghiari, A.L.; Coricovac, D.; Pinzaru, I.A.; Macașoi, I.G.; Marcovici, I.; Simu, S.; Navolan, D.; Dehelean, C. High Concentrations of Aspartame Induce Pro-Angiogenic Effects in Ovo and Cytotoxic Effects in HT-29 Human Colorectal Carcinoma Cells. Nutrients 2020, 12, 3600. [Google Scholar] [CrossRef] [PubMed]
- Chen, Z.; Patwari, M.; Liu, D. Cytotoxicity of orthodontic temporary anchorage devices on hu-man periodontal ligament fibroblasts in vitro. Clin. Exp. Dent. Res. 2019, 5, 648–654. [Google Scholar] [CrossRef] [PubMed] [Green Version]
- Mikulewicz, M.; Chojnacka, K.; Wołowiec, P. Release of metal ions from fixed orthodontic appliance: An in vitro study in continuous flow system. Angle Orthod. 2014, 84, 140–148. [Google Scholar] [CrossRef] [PubMed] [Green Version]
- Hanawa, T. Overview of metals and applications. In Biomaterials, Metals for Biomedical Devices, 2nd ed.; Ni-inomi, M., Ed.; Publisher Woodhead Publishing Series; Woodhead Publishing: Sawston, UK, 2019; pp. 3–29. ISBN 9780081026663. [Google Scholar]
- Fernández-Miñano, E.; Ortiz, C.; Vicente, A.; Calvo Guirado, J.L.; Ortiz, A.J. Metallic ion content and damage to the DNA in oral mucosa cells of children with fixed orthodontic appliances. Biometals 2011, 24, 935. [Google Scholar] [CrossRef] [PubMed]
- Matusiewicz, H. Potential release of in vivo trace metals from metallic medical im-plants in the human body: From ions to nanoparticles--a systematic analytical review. Acta Biomater. 2014, 10, 2379–2403. [Google Scholar] [CrossRef]
- Martin-Camean, A.; Jos, A.; Puerto, M.; Calleja, A.; Iglesias-Linares, A.; Solano, E.; Camean, A.M. In vivo determination of Aluminum, Cobalt, Chromium, Copper, Nick-el, Titanium and Vanadium in oral mucosa cells from orthodontic patients with mini-implants by Inductively coupled plasma-mass spectrometry (ICP-MS). J. Trace Elem. Med. Biol. 2015, 32, 13–20. [Google Scholar] [CrossRef]
- Malkoc, S.; Ozturk, F.; Corekci, B.; Bozkurt, B.S.; Hakki, S.S. Real-time cell analysis of the cytotoxicity of orthodontic mini-implants on human gingival fibroblasts and mouse osteoblasts. Am. J. Orthod. Dentofacial. Orthop. 2012, 141, 419–426. [Google Scholar] [CrossRef]
- Pillai, A.R.; Gangadharan, A.; Gangadharan, J.; Kumar, N.V. Cytotoxic effects of the nickel release from the stainless steel brackets: An in vitro study. J. Pharm. Bioall. Sci. 2013, 5, S1–S4. [Google Scholar] [CrossRef] [PubMed]
- Hafez, H.S.; Selim, E.M.N.; Eid, F.H.K.; Tawfik, W.A.; Al-Ashkar, E.A.; Mostafa, Y.A. Cytotoxicity, genotoxicity, and metal release in patients with fixed orthodontic appli-ances: A longitudinal in-vivo study. Am. J. Orthod. Dentofac. Orthop. 2011, 140, 298–308. [Google Scholar] [CrossRef]
- Kilian, M.; Chapple, I.L.; Hannig, M.; Marsh, P.D.; Meuric, V.; Pedersen, A.M.L.; Tonetti, M.S.; Wade, W.G.; Zaura, E. The oral microbiome—An update for oral healthcare professionals. Br. Dent. J. 2016, 221, 657–666. [Google Scholar] [CrossRef] [PubMed]
- Vila, T.; Rizk, A.M.; Sultan, A.S.; Jabra-Rizk, M.A. The power of saliva: Antimicrobial and beyond. PLoS Pathog. 2019, 15, e1008058. [Google Scholar] [CrossRef] [PubMed]
- Farronato, G.; Giannini, L.; Galbiati, G.; Cannalire, P.; Martinelli, G.; Tubertini, I.; Maspero, C. Oral tissues and orthodontic treatment: Common side effects. Minerva Stomatol. 2013, 62, 431–446. [Google Scholar]
- Imazato, S.; Kuramoto, A.; Takahashi, Y.; Ebisu, S.; Peters, M.C. In vitro antibacterial effects of the dentin primer of Clearfil Protect Bond. Dent Mater. 2006, 22, 527–532. [Google Scholar] [CrossRef] [PubMed]
- Brambilla, E.; Cagetti, M.G.; Gagliani, M.; Fadini, L.; García-Godoy, F.; Strohmenger, L. Influence of different adhesive restorative materials on mutans streptococci colonization. Am. J. Dent. 2005, 18, 173–176. [Google Scholar]
- Gurcan, A.T.; Koruyucu, M.; Kuru, S.; Sepet, E.; Seymen, F. Effects of Fixed and Removable Space Maintainers on DentalPlaque and DMFT/dft Values. Int. J. Dent. Sci. 2021, 23, 137–147. [Google Scholar] [CrossRef]
- Turabelidze, A.; Guo, S.; Chung, A.Y.; Chen, L.; Dai, Y.; Marucha, P.T.; DiPietro, L.A. Intrinsic differences between oral and skin keratinocytes. PLoS ONE 2014, 9, e101480. [Google Scholar] [CrossRef] [PubMed]
- Chen, L.; Gajendrareddy, P.K.; DiPietro, L.A. Differential expression of HIF-1α in skin and mucosal wounds. J. Dent. Res. 2012, 91, 871–876. [Google Scholar] [CrossRef] [Green Version]
- Szpaderska, A.M.; Walsh, C.G.; Steinberg, M.J.; DiPietro, L.A. Distinct Patterns of Angiogenesis in Oral and Skin Wounds. J. Dent. Res. 2005, 84, 309–314. [Google Scholar] [CrossRef]
- Misra, A.; Rai, S.; Misra, D. Functional role of apoptosis in oral diseases: An update. J. Oral Maxillofac. Pathol. 2016, 20, 491–496. [Google Scholar] [CrossRef] [PubMed]
- Jain, M.; Kasetty, S.; Sridhara, S.U.; Jain, N.; Khan, S.; Desai, A. Apoptosis and Its Significance in Oral Diseases: An Update. J. Oral Dis. 2013, 2013, 401049. [Google Scholar] [CrossRef] [Green Version]
- Lippens, S.; Denecker, G.; Ovaere, P.; Vandenabeele, P.; Declercq, W. Death penalty for keratinocytes: Apoptosis versus cornification. Cell Death Differ. 2005, 12, 1497–1508. [Google Scholar] [CrossRef] [PubMed]








| Microorganisms | Code |
|---|---|
| Enterococcus faecalis | ATCC® 51299™ |
| Streptococcus mutans | ATCC® 25175™ |
| Escherichia coli | ATCC® 25922™ |
| Pseudomonas aeruginosa | ATCC® 27853™ |
| Candida albicans | ATCC® 10231™ |
| Genes | Forward Primer Sequence | Reverse Primer Sequence |
|---|---|---|
| 18 S | 5′ GTAACCCGTTGAACCCCATT 3′ | 5′CCA-TCC-AAT-CGG-TAGTAG-CG 3′ |
| BCL-XL | 5′GATCCCCATGGCAGCAGTAAAGCAAG3′ | 5′CCCCATCCCGGAAGAGTTCATTCACT 3′ |
| Bcl-2 | 5′CGGGAGATGTCGCCCCTGGT 3′ | 5′-GCATGCTGGGGCCGTACAGT-3′ |
| Bad | 5′ CCCAGAGTTTGAGCCGAGTG 3′ | 5′CCCATCCCTTCGTCCT3′ |
Publisher’s Note: MDPI stays neutral with regard to jurisdictional claims in published maps and institutional affiliations. |
© 2021 by the authors. Licensee MDPI, Basel, Switzerland. This article is an open access article distributed under the terms and conditions of the Creative Commons Attribution (CC BY) license (https://creativecommons.org/licenses/by/4.0/).
Share and Cite
Luca, M.M.; Popa, M.; Watz, C.G.; Pinzaru, I.; Draghici, G.A.; Mihali, C.V.; Dehelean, C.A.; Buzatu, R.; Szuhanek, C. Space Maintainers Used in Pediatric Dentistry: An Insight of Their Biosecurity Profile by Applying In Vitro Methods. Materials 2021, 14, 6215. https://doi.org/10.3390/ma14206215
Luca MM, Popa M, Watz CG, Pinzaru I, Draghici GA, Mihali CV, Dehelean CA, Buzatu R, Szuhanek C. Space Maintainers Used in Pediatric Dentistry: An Insight of Their Biosecurity Profile by Applying In Vitro Methods. Materials. 2021; 14(20):6215. https://doi.org/10.3390/ma14206215
Chicago/Turabian StyleLuca, Magda Mihaela, Malina Popa, Claudia G. Watz, Iulia Pinzaru, George Andrei Draghici, Ciprian V. Mihali, Cristina Adriana Dehelean, Roxana Buzatu, and Camelia Szuhanek. 2021. "Space Maintainers Used in Pediatric Dentistry: An Insight of Their Biosecurity Profile by Applying In Vitro Methods" Materials 14, no. 20: 6215. https://doi.org/10.3390/ma14206215
APA StyleLuca, M. M., Popa, M., Watz, C. G., Pinzaru, I., Draghici, G. A., Mihali, C. V., Dehelean, C. A., Buzatu, R., & Szuhanek, C. (2021). Space Maintainers Used in Pediatric Dentistry: An Insight of Their Biosecurity Profile by Applying In Vitro Methods. Materials, 14(20), 6215. https://doi.org/10.3390/ma14206215

