Structure and Dielectric Behavior of Yb2O3-MgO Co-Doped 0.92BaTiO3-0.08(Na0.5Bi0.5)TiO3 Ferroelectric Relaxor
Abstract
:1. Introduction
2. Materials and Methods
3. Results and Discussion
3.1. XRD and the Phase
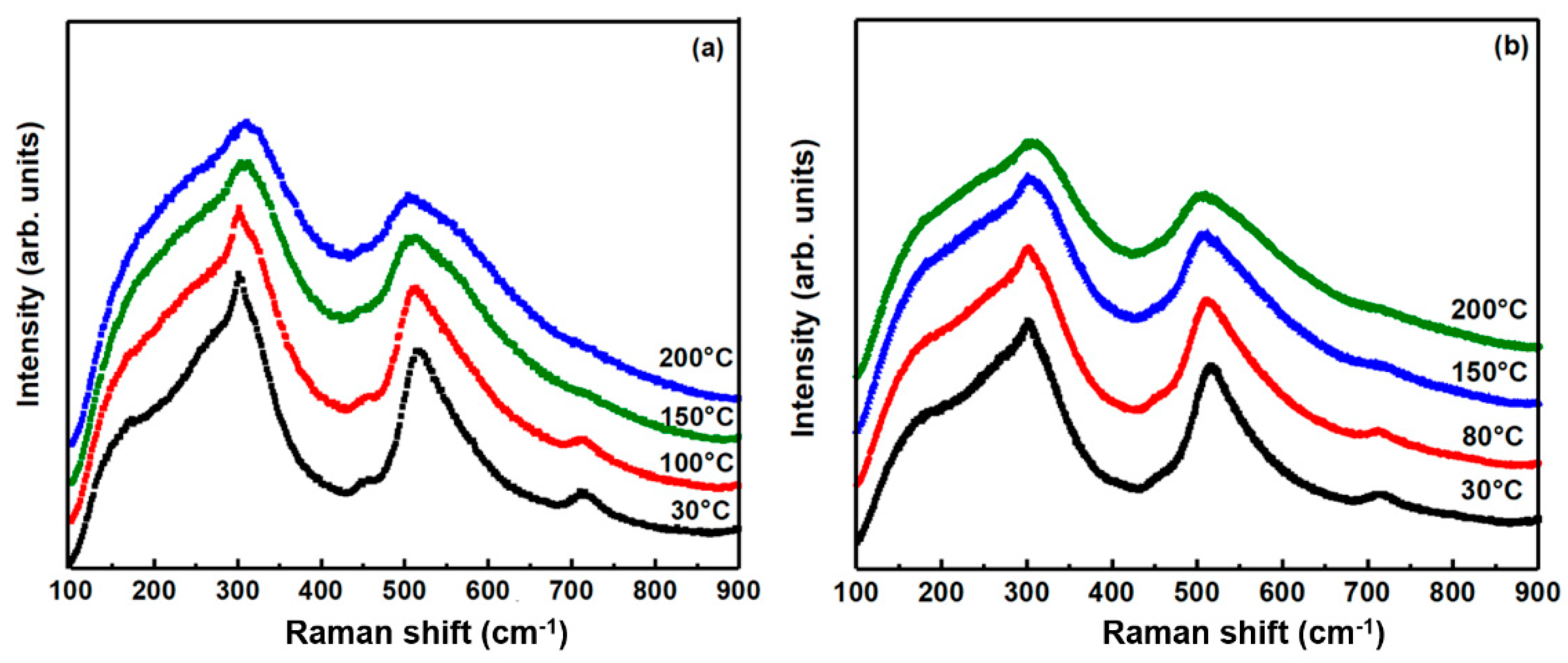
3.2. Raman Spectra
3.3. TEM Analysis
3.4. Dielectric Parameters
4. Conclusions
Supplementary Materials
Author Contributions
Funding
Institutional Review Board Statement
Informed Consent Statement
Conflicts of Interest
References
- Haertling, G.H. Ferroelectric Ceramics: History and Technology. J. Am. Ceram. Soc. 1999, 82, 797–818. [Google Scholar] [CrossRef]
- Pan, M.; Randall, C.A. A brief introduction to ceramic capacitors. IEEE Electr. Insul. Mag. 2010, 26, 44–50. [Google Scholar] [CrossRef]
- Yuan, Y.; Du, M.; Zhang, S.; Pei, Z. Effects of BiNbO4 on the microstructure and dielectric properties of BaTiO3-based ceramics. J. Mater. Sci. Mater. Electron. 2009, 20, 157–162. [Google Scholar] [CrossRef]
- Tian, H.Y.; Qi, J.Q.; Wang, Y.; Wang, J.; Chan, H.L.W.; Choy, C.L. Core-shell structure of nanoscaled Ba0.5Sr0.5TiO3 self-wrapped by MgO derived from a direct solution synthesis at room temperature. Nanotechnology 2004, 16, 47–52. [Google Scholar] [CrossRef]
- Park, J.S.; Han, Y.H. Effects of MgO coating on microstructure and dielectric properties of BaTiO3. J. Eur. Ceram. Soc. 2007, 27, 1077–1082. [Google Scholar] [CrossRef]
- Li, L.-X.; Han, Y.-M.; Zhang, P.; Ming, C.; Wei, X. Synthesis and characterization of BaTiO3-based X9R ceramics. J. Mater. Sci. 2009, 44, 5563–5568. [Google Scholar] [CrossRef]
- Kim, C.-H.; Park, K.-J.; Yoon, Y.-J.; Hong, M.-H.; Hong, J.-O.; Hur, K.-H. Role of yttrium and magnesium in the formation of core-shell structure of BaTiO3 grains in MLCC. J. Eur. Ceram. Soc. 2008, 28, 1213–1219. [Google Scholar] [CrossRef]
- Chazono, H.; Kishi, H. Sintering Characteristics in the BaTiO3–Nb2O5–Co3O4 Ternary System: II, Stability of So-called “Core–Shell” Structure. J. Am. Ceram. Soc. 2008, 83, 101–106. [Google Scholar] [CrossRef]
- Hennings, D.F.K.; Schreinemacher, B.S. Temperature-stable dielectric materials in the system BaTiO3-Nb2O5-Co3O4. J. Eur. Ceram. Soc. 1994, 14, 463–471. [Google Scholar] [CrossRef]
- Park, Y.; Song, S.A. Influence of core-shell structured grain on dielectric properties of cerium-modified barium titanate. J. Mater. Sci. Mater. Electron. 1995, 6, 380–388. [Google Scholar] [CrossRef]
- Tian, Z.; Wang, X.; Zhang, Y.; Fang, J.; Song, T.-H.; Hur, K.H.; Lee, S.; Li, L. Formation of Core-Shell Structure in Ultrafine-Grained BaTiO3-Based Ceramics Through Nanodopant Method. J. Am. Ceram. Soc. 2010, 93, 171–175. [Google Scholar] [CrossRef]
- Yasukawa, K.; Nishimura, M.; Nishihata, Y.; Mizuki, J.I. Core–Shell Structure Analysis of BaTiO3 Ceramics by Synchrotron X-Ray Diffraction. J. Am. Ceram. Soc. 2007, 90, 1107–1111. [Google Scholar] [CrossRef]
- Hennings, D.; Rosenstein, G. Temperature-Stable Dielectrics Based on Chemically Inhomogeneous BaTiO3. J. Am. Ceram. Soc. 1984, 67, 249–254. [Google Scholar] [CrossRef]
- Hsiang, H.-I.; Mei, L.-T.; Chun, Y.-J. Dielectric Properties and Microstructure of Nb-Co Codoped BaTiO3–(Bi0.5Na0.5)TiO3 Ceramics. J. Am. Ceram. Soc. 2009, 92, 2768–2771. [Google Scholar] [CrossRef]
- Shen, Z.; Wang, X.; Li, L. Dielectric properties and microstructures of Ta-doped BaTiO3–(Bi0.5Na0.5)TiO3 ceramics for X9R applications. J. Mater. Sci. Mater. Electron. 2017, 28, 3768–3773. [Google Scholar] [CrossRef]
- Datta, K.; Thomas, P.; Roleder, K. Anomalous Phase Transitions of Lead-Free Piezoelectric xNa0.5Bi0.5TiO3-(1-x)BaTiO3 Solid Solutions With Enhanced Phase Transition Temperatures. Phys. Rev. B 2010, 82, 224105. [Google Scholar] [CrossRef]
- Gao, L.; Huang, Y.; Hu, Y.; Du, H. Dielectric and ferroelectric properties of (1−x)BaTiO3–xBi0.5Na0.5TiO3 ceramics. Ceram. Int. 2007, 33, 1041–1046. [Google Scholar] [CrossRef]
- Chen, L.; Hui, K.; Wang, H.; Zhao, P.; Li, L.; Wang, X. Effects of Ho2O3 doping and sintering temperature on the core-shell structure of X9R Nb-modified BaTiO3-(Bi0.5Na0.5)TiO3 ceramics. J. Eur. Ceram. Soc. 2019, 39, 3710–3715. [Google Scholar] [CrossRef]
- Wang, H.; Li, Q.; Jia, Y.; Yadav, A.K.; Yan, B.; Shen, Q.; Li, M.; Quan, Q.; Fan, H. Enhanced dielectric temperature stability and energy-storage properties of (Y0.5Nb0.5)4+ co-doped (Bi0.5Na0.5)0.94Ba0.06TiO3 lead-free relaxor ceramics. J. Mater. Sci. 2021, 56, 14672–14683. [Google Scholar] [CrossRef]
- Dobal, P.S.; Dixit, A.; Katiyar, R.S.; Yu, Z.; Guo, R.; Bhalla, A.S. Micro-Raman scattering and dielectric investigations of phase transition behavior in the BaTiO3–BaZrO3 system. J. Appl. Phys. 2001, 89, 8085–8091. [Google Scholar] [CrossRef]
- Kumar, A.; Rivera, I.; Katiyar, R.S. Investigation of local structure of lead-free relaxor Ba(Ti0.70Sn0.30)O3 by Raman spectroscopy. J. Raman. Spectrosc. 2009, 40, 459–462. [Google Scholar] [CrossRef]
- Begg, B.D.; Finnie, K.S.; Vance, E.R. Raman study of the relationship between room-temperature tetragonality and the Curie point of barium titanate. J. Am. Ceram. Soc. 1996, 79, 2666–2672. [Google Scholar] [CrossRef]
- Jeon, S.-C.; Lee, C.-S.; Kang, S.-J.L. The Mechanism of Core/Shell Structure Formation during Sintering of BaTiO3-Based Ceramics. J. Am. Ceram. Soc. 2012, 95, 2435–2438. [Google Scholar] [CrossRef]





Publisher’s Note: MDPI stays neutral with regard to jurisdictional claims in published maps and institutional affiliations. |
© 2021 by the authors. Licensee MDPI, Basel, Switzerland. This article is an open access article distributed under the terms and conditions of the Creative Commons Attribution (CC BY) license (https://creativecommons.org/licenses/by/4.0/).
Share and Cite
Ren, X.-H.; Gui, D.-Y. Structure and Dielectric Behavior of Yb2O3-MgO Co-Doped 0.92BaTiO3-0.08(Na0.5Bi0.5)TiO3 Ferroelectric Relaxor. Materials 2021, 14, 6802. https://doi.org/10.3390/ma14226802
Ren X-H, Gui D-Y. Structure and Dielectric Behavior of Yb2O3-MgO Co-Doped 0.92BaTiO3-0.08(Na0.5Bi0.5)TiO3 Ferroelectric Relaxor. Materials. 2021; 14(22):6802. https://doi.org/10.3390/ma14226802
Chicago/Turabian StyleRen, Xiao-Hu, and Dong-Yun Gui. 2021. "Structure and Dielectric Behavior of Yb2O3-MgO Co-Doped 0.92BaTiO3-0.08(Na0.5Bi0.5)TiO3 Ferroelectric Relaxor" Materials 14, no. 22: 6802. https://doi.org/10.3390/ma14226802
APA StyleRen, X.-H., & Gui, D.-Y. (2021). Structure and Dielectric Behavior of Yb2O3-MgO Co-Doped 0.92BaTiO3-0.08(Na0.5Bi0.5)TiO3 Ferroelectric Relaxor. Materials, 14(22), 6802. https://doi.org/10.3390/ma14226802
