SiC Fin-Shaped Gate Trench MOSFET with Integrated Schottky Diode
Abstract
:1. Introduction
2. Structure and Mechanism
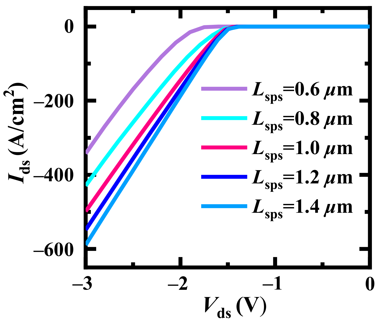
3. Results and Discussion
4. Conclusions
Author Contributions
Funding
Institutional Review Board Statement
Informed Consent Statement
Data Availability Statement
Conflicts of Interest
References
- Kimoto, T.; Cooper, J.A. Fundamentals of Silicon Carbide Technology: Growth, Characterization, Devices and Application; Wiley: Singapore, 2014. [Google Scholar]
- She, X.; Huang, A.Q.; Lucia, O.; Ozpineci, B. Review of Silicon Carbide Power Devices and Their Applications. IEEE Trans. Ind. Electron. 2017, 64, 8193–8205. [Google Scholar] [CrossRef]
- Huang, A.Q. Wide bandgap (WBG) power devices and their impacts on power delivery systems. In Proceedings of the 2016 IEEE International Electron Devices Meeting (IEDM), San Francisco, CA, USA, 3–7 December 2016; pp. 20.1.1–20.1.4. [Google Scholar] [CrossRef]
- Palmour, J.W.; Cheng, L.; Pala, V.; Brunt, E.V.; Lichtenwalner, D.J.; Wang, G.Y.; Richmond, J.; O’Loughlin, M.; Ryu, S.; Allen, S.T.; et al. Silicon carbide power MOSFETs: Breakthrough performance from 900 V up to 15 kV. In Proceedings of the 2014 IEEE 26th International Symposium on Power Semiconductor Devices & ICs (ISPSD), Waikoloa, HI, USA, 15–19 June 2014; pp. 79–82. [Google Scholar] [CrossRef]
- Mikamura, Y.; Hiratsuka, K.; Tsuno, T.; Michikoshi, H.; Tanaka, S.; Masuda, T.; Wada, K.; Horii, T.; Genba, J.; Hiyoshi, T.; et al. Novel designed sic devices for high power and high efficiency systems. IEEE Trans. Electron Devices 2015, 62, 382–389. [Google Scholar] [CrossRef]
- Li, X.; Jiang, J.N.; Huang, A.Q.; Guo, S.X.; Deng, X.C.; Zhang, B.; She, X. A SiC Power MOSFET Loss Model Suitable for High Frequency Applications. IEEE Trans. Ind. Electron. 2017, 64, 8268–8276. [Google Scholar] [CrossRef]
- Sui, Y.; Tsuji, T.; Cooper, J.A. On-state characteristics of SiC power UMOSFET on 115-μm drift layers. IEEE Electron Device Lett. 2005, 26, 255–257. [Google Scholar] [CrossRef]
- Nakamura, T.; Nakano, Y.; Aketa, M.; Nakamura, R.; Mitani, S.; Sakairi, H.; Yokotsuji, Y. High performance SiC trench devices with ultra-low ron. In Proceedings of the 2011 International Electron Devices Meeting, Washington, DC, USA, 5–7 December 2011; pp. 26.5.1–26.5.3. [Google Scholar] [CrossRef]
- Wada, K.; Masuda, T.; Saitoh, Y.; Tamaso, H.; Furumai, M.; Hiratsuka, K.; Mikamura, Y.; Hatayama, T.; Yano, H. Fast switching 4H-SiC V-groove trench MOSFET with buried P+ structure. In Proceedings of the 26th IEEE Int. Symp. Power Semiconductor Devices IC’s (ISPSD), Waikoloa, HI, USA, 15–19 June 2014; pp. 225–228. [Google Scholar] [CrossRef]
- Harada, S.; Kobayashi, Y.; Ariyoshi, K.; Kojima, T.; Senzaki, J.; Tanaka, Y.; Okumura, H. 3.3-kV-class 4H-SiC MeV-implanted UMOSFET with reduced gate oxide field. IEEE Electron Device Lett. 2016, 37, 314–316. [Google Scholar] [CrossRef]
- Peters, D.; Siemieniec, R.; Aichinger, T.; Basler, T.; Esteve, R.; Bergner, W.; Kueck, D. Performance and ruggedness of 1200V SiC-Trench -MOSFET. In Proceedings of the 29th IEEE International Symposium on Power Semiconductor Devices ICs (ISPSD), Sapporo, Japan, 28 May–1 June 2017; pp. 239–242. [Google Scholar] [CrossRef]
- Zhou, X.; Yue, R.; Zhang, J.; Dai, G.; Li, J.; Wang, Y. 4H-SiC Trench MOSFET With Floating/Grounded Junction Barrier-controlled Gate Structure. IEEE Trans. Electron Devices 2017, 64, 4568–4574. [Google Scholar] [CrossRef]
- Jiang, H.; Wei, J.; Dai, X.; Ke, M.; Deviny, I.; Mawby, P. SiC Trench MOSFET With Shielded Fin-Shaped Gate to Reduce Oxide Field and Switching Loss. IEEE Electron Device Lett. 2016, 37, 1324–1327. [Google Scholar] [CrossRef]
- Sung, W.; Baliga, B.J. Monolithically Integrated 4H-SiC MOSFET and JBS Diode (JBSFET) Using a Single Ohmic/Schottky Process Scheme. IEEE Electron Device Lett. 2016, 37, 1605–1608. [Google Scholar] [CrossRef]
- Sung, W.; Baliga, B.J. On Developing One-Chip Integration of 1.2 kV SiC MOSFET and JBS diode (JBSFET). IEEE Trans. Ind. Electron. 2017, 64, 8206–8212. [Google Scholar] [CrossRef]
- Hsu, F.J.; Yen, C.T.; Hung, C.C.; Hung, H.T.; Lee, C.Y.; Lee, L.S.; Huang, Y.F.; Chen, T.L.; Chuang, P.J. High Efficiency High Reliability SiC MOSFET with Monolithically Integrated Schottky Rectifier. In Proceedings of the 2017 IEEE 29th International Symposium Power Semiconductor Devices Ics (ISPSD), Sapporo, Japan, 28 May–1 June 2017; pp. 45–48. [Google Scholar] [CrossRef]
- Kawahara, K.; Hino, S.; Sadamatsu, K.; Nakao, Y.; Yamashiro, Y.; Yamamoto, Y.; Iwamatsu, T.; Nakata, S.; Tomohisa, S.; Yamakawa, S. 6.5 kV Schottky-Barrier-Diode-Embedded SiC-MOSFET for Compact Full-Unipolar Module. In Proceedings of the 2017 IEEE 29th International Symposium Power Semiconductor Devices ICs (ISPSD), Sapporo, Japan, 28 May–1 June 2017; pp. 41–44. [Google Scholar] [CrossRef]
- Ryu, S.-h. Silicon Carbide MOSFETs with Integrated Antiparallel Junction Barrier Schottky Freewheeling Diodes and Methods of Fabricating the Same. U.S. Patent 6,979,863 B2, 27 December 2005. [Google Scholar]
- Darwish, M.N.; Zeng, J.; Blanchard, R.A. Schottky and Mosfet+Schottky Structures, Devices, and Methods. U.S. Patent 8,704,295 B1, 7 July 2015. [Google Scholar]
- Li, X.; Tong, X.; Huang, A.Q.; Tao, H.; Zhou, K.; Jiang, Y.F.; Jiang, J.N.; Deng, X.C.; She, X.; Zhang, B.; et al. SiC Trench MOSFET With Integrated Self-Assembled Three-Level Protection Schottky Barrier Diode. IEEE Trans. Electron Devices 2018, 65, 347–351. [Google Scholar] [CrossRef]
- Yi, B.; Wu, Z.; Zhang, Q.; Cheng, J.J.; Huang, H.M.; Pan, Y.L.; Zhang, X.K.; Xiang, Y. A low loss single-channel SiC trench MOSFET with integrated trench MOS barrier Schottky diode. Semicond. Sci. Technol. 2021, 36, 075006. [Google Scholar] [CrossRef]
- Kobayashi, Y.; Ohse, N.; Morimoto, T.; Kato, M.; Kojima, T.; Miyazato, M.; Takei, M.; Kimura, H.; Harada, S. Body PiN diode inactivation with low on-resistance achieved by a 1.2 kV-class 4H-SiC SWITCH-MOS. In Proceedings of the 2017 IEEE International Electron Devices Meeting (IEDM), San Francisco, CA, USA, 2–6 December 2017; pp. 9.1.1–9.1.4. [Google Scholar] [CrossRef]
- Wei, J.; Zhang, M.; Jiang, H.P.; Wang, H.X.; Chen, K.J. Charge storage effect in SiC trench MOSFET with a floating p-shield and its impact on dynamic performances. In Proceedings of the 2017 IEEE 29th International Symposium Power Semiconductor Devices ICs (ISPSD), Sapporo, Japan, 28 May–1 June 2017; pp. 387–390. [Google Scholar] [CrossRef]
- Fiorenza, P.; Giannazzo, F.; Roccaforte, F. Characterization of SiO2/4H-SiC Interfaces in 4H-SiC MOSFETs: A Review. Energies 2019, 12, 2310. [Google Scholar] [CrossRef] [Green Version]
- Synopsys. TCAD Sentaurus Device Manual; Synopsys, Inc.: Mountain View, CA, USA, 2018. [Google Scholar]
- Cooper, J.A.; Morisette, D.T.; Sampath, M.; Stellman, C.A.; Bayne, S.B.; Westphal, M.J.; Anderson, C.H.; Ransom, J.A. Demonstration of Constant-Gate-Charge Scaling to Increase the Robustness of Silicon Carbide Power MOSFETs. IEEE Trans. Electron Devices 2021, 68, 4577–4581. [Google Scholar] [CrossRef]
- Yao, K.; Yano, H.; Tadano, H.; Iwamuro, N. Investigations of SiC MOSFET Short-Circuit Failure Mechanisms Using Electrical, Thermal, and Mechanical Stress Analyses. IEEE Trans. Electron Devices 2020, 67, 4328–4334. [Google Scholar] [CrossRef]
- Namai, M.; An, J.J.; Yano, H.; Iwamuro, N. Experimental and numerical demonstration and optimized methods for SiC trench MOSFET short-circuit capability. In Proceedings of the 2017 29th International Symposium on Power Semiconductor Devices and ICs (ISPSD), Sapporo, Japan, 28 May–1 June 2017; pp. 363–366. [Google Scholar] [CrossRef]
- Huang, A.Q. New Unipolar Switching Power Device Figures of Merit. IEEE Electron Device Lett. 2004, 25, 298–301. [Google Scholar] [CrossRef]












| Parameter | FS-TMOS (Lmesa = 1.0 and Lsps = 1.0) | C-TMOS (Lmesa = 1.0) | Unit (μm) |
|---|---|---|---|
| Ron,sp | 2.8 | 2.4 | mΩ·cm2 |
| Qgd | 162 | 194 | nC/cm2 |
| Qg | 964 | 1290 | nC/cm2 |
| Von | 1.80 | 2.98 | V |
| tsc | >5 | <5 | μs |
| Eav | >22.8 | >22.8 | J/cm2 |
| Ron,sp·Qgd | 460 | 464 | mΩ·nC |
| Ron,sp·Qg | 2737 | 3109 | mΩ·nC |
Publisher’s Note: MDPI stays neutral with regard to jurisdictional claims in published maps and institutional affiliations. |
© 2021 by the authors. Licensee MDPI, Basel, Switzerland. This article is an open access article distributed under the terms and conditions of the Creative Commons Attribution (CC BY) license (https://creativecommons.org/licenses/by/4.0/).
Share and Cite
Deng, X.; Liu, R.; Li, S.; Li, L.; Wu, H.; Li, X. SiC Fin-Shaped Gate Trench MOSFET with Integrated Schottky Diode. Materials 2021, 14, 7096. https://doi.org/10.3390/ma14227096
Deng X, Liu R, Li S, Li L, Wu H, Li X. SiC Fin-Shaped Gate Trench MOSFET with Integrated Schottky Diode. Materials. 2021; 14(22):7096. https://doi.org/10.3390/ma14227096
Chicago/Turabian StyleDeng, Xiaochuan, Rui Liu, Songjun Li, Ling Li, Hao Wu, and Xuan Li. 2021. "SiC Fin-Shaped Gate Trench MOSFET with Integrated Schottky Diode" Materials 14, no. 22: 7096. https://doi.org/10.3390/ma14227096
APA StyleDeng, X., Liu, R., Li, S., Li, L., Wu, H., & Li, X. (2021). SiC Fin-Shaped Gate Trench MOSFET with Integrated Schottky Diode. Materials, 14(22), 7096. https://doi.org/10.3390/ma14227096

