Towards an Understanding of the Effect of Adding a Foam Core on the Blast Performance of Glass Fibre Reinforced Epoxy Laminate Panels
Abstract
1. Introduction
2. Materials
2.1. Laminate and Face Sheet Materials
2.2. Sandwich Construction
2.3. Sandwich Core Materials
3. Manufacturing
4. Material Properties
4.1. Flexural Properties
4.2. Tensile Properties of the Laminates
5. Blast Testing
5.1. Experimental Arrangement
5.2. Initial Observations
5.2.1. Laminates
5.2.2. Sandwich Panels
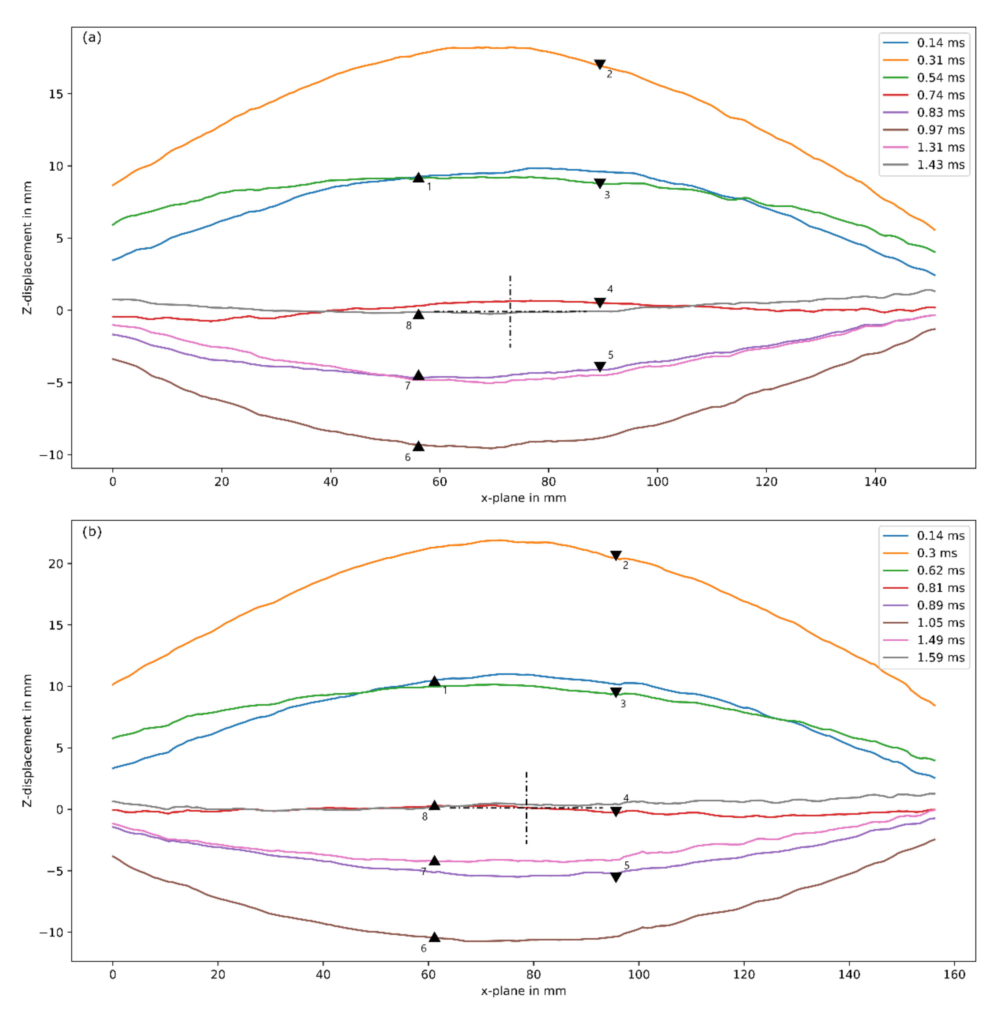
6. Transient Response
6.1. Laminates
6.2. Sandwich Panels
7. Sequence of Failure and Failure Mechanisms
- a)
- Phase I: through-thickness wave propagation
- b)
- Phase II: transverse wave propagation, and
- c)
- Phase III: elastic vibration
8. Discussion
9. Conclusions
Author Contributions
Funding
Institutional Review Board Statement
Informed Consent Statement
Data Availability Statement
Acknowledgments
Conflicts of Interest
References
- Osseiran, N.; Coles, I. Beirut Explosion: What Happened in Lebanon and Everything Else We Know. 2020. Available online: https://www.wsj.com/articles/beirut-explosion-what-happened-in-lebanon-and-everything-else-you-need-to-know-11596590426 (accessed on 5 August 2021).
- Craigie, R.J.; Farrelly, P.J.; Santos, R.; Smith, S.R.; Pollard, J.S.; Jones, D.J. Manchester Arena bombing: Lessons learnt from a mass casualty incident. BMJ Mil. Health 2018, 166, 72–75. [Google Scholar] [CrossRef] [PubMed]
- BBC. Sri Lanka Attacks: What We Know About the Easter Bombings. 2019. Available online: https://www.bbc.co.uk/news/world-asia-48010697 (accessed on 18 November 2021).
- Rodgers, L.; Qurashi, S.; Connor, S. 7 July London Bombings: What Happened That Day? 2015. Available online: https://www.bbc.com/news/uk-33253598 (accessed on 18 November 2021).
- Tekalur, S.A.; Bogdanovich, A.E.; Shukla, A. Shock loading response of sandwich panels with 3-D woven E-glass composite skins and stitched foam core. Compos. Sci. Technol. 2009, 69, 736–753. [Google Scholar] [CrossRef]
- Arora, H.; Hooper, P.; Dear, J. Dynamic response of full-scale sandwich composite structures subject to air-blast loading. Compos. Part A Appl. Sci. Manuf. 2011, 42, 1651–1662. [Google Scholar] [CrossRef]
- Wang, E.; Shukla, A. Blast Performance of Sandwich Composites with In-Plane Compressive Loading. Exp. Mech. 2012, 52, 49–58. [Google Scholar] [CrossRef]
- Gupta, S.; Shukla, A. Blast performance of marine foam core sandwich composites at extreme temperatures. Exp. Mech. 2012, 52, 1521–1534. [Google Scholar] [CrossRef]
- Andrews, E.; Moussa, N. Failure mode maps for composite sandwich panels subjected to air blast loading. Int. J. Impact Eng. 2009, 36, 418–425. [Google Scholar] [CrossRef]
- Langdon, G.; Karagiozova, D.; von Klemperer, C.; Nurick, G.; Ozinsky, A.; Pickering, E. The air-blast response of sandwich panels with composite face sheets and polymer foam cores: Experiments and predictions. Int. J. Impact Eng. 2013, 54, 64–82. [Google Scholar] [CrossRef]
- Langdon, G.; von Klemperer, C.; Rowland, B.; Nurick, G. The response of sandwich structures with composite face sheets and polymer foam cores to air-blast loading: Preliminary experiments. Eng. Struct. 2012, 36, 104–112. [Google Scholar] [CrossRef]
- Jackson, M.; Shukla, A. Performance of sandwich composites subjected to sequential impact and air blast loading. Compos. Part B Eng. 2011, 42, 155–166. [Google Scholar] [CrossRef]
- Wanchoo, P.; Matos, H.; Rousseau, C.-E.; Shukla, A. Investigations on air and underwater blast mitigation in polymeric composite structures—A review. Compos. Struct. 2021, 263, 113530. [Google Scholar] [CrossRef]
- Wang, T.; Qin, Q.; Wang, M.; Yu, W.; Wang, J.; Zhang, J. Blast response of geometrically asymmetric metal honeycomb sandwich plate: Experimental and theoretical investigations. Int. J. Impact Eng. 2017, 105, 24–38. [Google Scholar] [CrossRef]
- Wang, M.; Qin, Q. On physically asymmetric sandwich plates with metal foam core subjected to blast loading: Dynamic response and optimal design. Acta Mech. 2017, 228, 3265–3283. [Google Scholar] [CrossRef]
- Wang, T.; Ma, M.; Yu, W.; Dong, S.; Gao, Y. Mechanical response of square honeycomb sandwich plate with asymmetric face sheet subjected to blast loading. Procedia Eng. 2011, 23, 457–463. [Google Scholar] [CrossRef][Green Version]
- Langdon, G.S.; von Klemperer, C.J.; Sinclair, G.M. Blast response of sandwich structures: The influence of curvature. In Dynamic Deformation, Damage and Fracture in Composite Materials and Structures; Silberschmidt, V.V., Ed.; Woodhead Publishing: London, UK, 2016; pp. 365–389. [Google Scholar]
- Langdon, G.S.; von Klemperer, C.J.; Sinclair, G.; Ghoor, I. Influence of curvature and load direction on the air-blast response of singly curved glass fiber reinforced epoxy laminate and sandwich panels. In Explosion Blast Response of Composites; Mouritz, A.P., Rajapakse, Y.D.S., Eds.; Woodhead Publishing: London, UK, 2017; Chapter 6; pp. 133–160. [Google Scholar]
- AMT Composites (Cape Town, South Africa). Wovitex 400 P Glass Fabric—Technical Datasheet Maitland. Available online: https://www.amtcomposites.co.za/wp-content/uploads/2021/06/C040-TDS.pdf (accessed on 19 November 2021).
- Gurit. PrimeTM 20LV; Document Number PDS-PRIME20LV-13-1215. Available online: https://www.gurit.com/-/media/Gurit/Datasheets/prime-20lv.pdf (accessed on 11 November 2021).
- Gurit. PrimeTM 27LV Epoxy Infusion System; Document Number PDS-PRIME 27-12-1220. Available online: https://www.gurit.com/-/media/Gurit/Datasheets/prime-27.pdf (accessed on 18 November 2021).
- Divinycell Group. Divinycell H Technical Data. 2011; Document Number H-ds.04_2011.rev7. Available online: http://duroplastic.com/pdf/divinycell_datasheet.pdf (accessed on 19 November 2021).
- Ye, N.; Zhang, W.; Li, D.; Huang, W.; Xie, W.; Huang, X.; Jiang, X. Dynamic response and failure of sandwich plates with PVC foam core subjected to impulsive loading. Int. J. Impact Eng. 2017, 109, 121–130. [Google Scholar] [CrossRef]
- ASTM International. D7264/D7264M-15 Standard Test Method for Flexural Properties of Polymer Matrix Composite Materials; ASTM International: West Conshohocken, PA, USA, 2015. [Google Scholar]
- Daniel, I. Fabrication, testing and analysis of composite sandwich beams. Compos. Sci. Technol. 2000, 60, 2455–2463. [Google Scholar] [CrossRef]
- ASTM International. D3039/D3039M-17 Standard Test Method for Tensile Properties of Polymer Matrix Composite Materials; ASTM International: West Conshohocken, PA, USA, 2014. [Google Scholar]
- Nurick, G.; Gelman, M.; Marshall, N. Tearing of blast loaded plates with clamped boundary conditions. Int. J. Impact Eng. 1996, 18, 803–827. [Google Scholar] [CrossRef]
- Langdon, G.S.; Von Klemperer, C.; Volschenk, G.; Van Tonder, T.; Govender, R. The influence of interfacial bonding on the response of lightweight aluminium and glass fibre metal laminate panels subjected to air-blast loading. Proc. Inst. Mech. Eng. Part C J. Mech. Eng. Sci. 2017, 232, 1402–1417. [Google Scholar] [CrossRef]
- Langdon, G.; Gabriel, S.; von Klemperer, C.; Yuen, S.C.K. Transient response and failure of medium density fibreboard panels subjected to air-blast loading. Compos. Struct. 2021, 273, 114253. [Google Scholar] [CrossRef]
- Curry, R.; Langdon, G. Transient response of steel plates subjected to close proximity explosive detonations in air. Int. J. Impact Eng. 2017, 102, 102–116. [Google Scholar] [CrossRef]
- Fatt, M.S.H.; Palla, L. Analytical modeling of composite sandwich panels under blast loads. J. Sandw. Struct. Mater. 2009, 11, 357–380. [Google Scholar] [CrossRef]
- Mines, R. A one-dimensional stress wave analysis of a lightweight composite armour. Compos. Struct. 2004, 64, 55–62. [Google Scholar] [CrossRef]






















| Property | Method | Value |
|---|---|---|
| Compressive strength | ASTM D 1621 | 1.4 MPa |
| Tensile strength | ASTM D 1623 | 2.5 MPa |
| Tensile modulus | ASTM D 1623 | 95 MPa |
| Flexural Strength, σfmax [MPa] | Effective Flexural Modulus, Ef [GPa] | Strain at Failure, εffail (%) | ||||
|---|---|---|---|---|---|---|
| Mean | Std Dev | Mean | Std Dev | Mean | Std Dev | |
| GFRP laminates | 452 | 12 | 21.3 | 0.6 | 2.9 | 0.1 |
| Sandwich structure | 39 | 0.8 | 3.9 | 0.1 | 2.1 | 0.2 |
| Modulus of Elasticity, ET [GPa] | Apparent Elastic Limit, σTY [GPa] | Ultimate Tensile Strength, σTU [MPa] | Strain at Failure, εTfail (%) | |||||
|---|---|---|---|---|---|---|---|---|
| Mean | Std Dev | Mean | Std Dev | Mean | Std Dev | Mean | Std Dev | |
| 0/90° | 20.4 | 0.3 | 164.0 | 27.7 | 359 | 9.0 | 1.96 | 0.06 |
| 45° | 6.7 | 0.7 | 45.5 | 2.2 | 110 | 2.0 | >80 | - |
| Material | Test # | Thickness (mm) | Charge Mass (g) | Impulse (Ns) | % Delaminated Area a | Total Crack Lengths b (mm) | DIC Avail. |
|---|---|---|---|---|---|---|---|
| 19-layer GFRP laminate panels | G19/P27-8 | 6.0 | 15 | 39.7 | 52 | 0 | X |
| G19/P27-9 | 6.0 | 20 | 50.8 | 72 | 41 | X | |
| G19/P20-3 | 6.2 | 25 | 64.8 | 51 | 94 | ||
| G19/P20-5 | 6.2 | 30 | 71.3 | 54 | 146 | ||
| G19/P20-6 | 6.1 | 35 | 84.4 | 47 | 68 | ||
| G19/P20-2 | 6.2 | 40 | 82.7 | 59 | 312 | ||
| Sandwich panels | G12FG6-6 | 30.8 | 11 | 34.8 | 0 | 0 | X |
| G12FG6-1 | 30.9 | 15 | 39.8 | 0 | 0 | X | |
| G12FG6-2 | 30.9 | 20 | 45 | 21 | 29 | ||
| G12FG6-3 | 30.9 | 25 | 57.9 | 40 | 51 | X | |
| G12FG6-4 | 30.7 | 30 | 74.1 | 54 | 193 | ||
| G12FG6-5 | 30.8 | 35 | 84.5 | 55 | 236 |
| Phase I | |
| Phase II |
|
| Phase III |
|
Publisher’s Note: MDPI stays neutral with regard to jurisdictional claims in published maps and institutional affiliations. |
© 2021 by the authors. Licensee MDPI, Basel, Switzerland. This article is an open access article distributed under the terms and conditions of the Creative Commons Attribution (CC BY) license (https://creativecommons.org/licenses/by/4.0/).
Share and Cite
Gabriel, S.; von Klemperer, C.J.; Chung Kim Yuen, S.; Langdon, G.S. Towards an Understanding of the Effect of Adding a Foam Core on the Blast Performance of Glass Fibre Reinforced Epoxy Laminate Panels. Materials 2021, 14, 7118. https://doi.org/10.3390/ma14237118
Gabriel S, von Klemperer CJ, Chung Kim Yuen S, Langdon GS. Towards an Understanding of the Effect of Adding a Foam Core on the Blast Performance of Glass Fibre Reinforced Epoxy Laminate Panels. Materials. 2021; 14(23):7118. https://doi.org/10.3390/ma14237118
Chicago/Turabian StyleGabriel, Sherlyn, Christopher J. von Klemperer, Steeve Chung Kim Yuen, and Genevieve S. Langdon. 2021. "Towards an Understanding of the Effect of Adding a Foam Core on the Blast Performance of Glass Fibre Reinforced Epoxy Laminate Panels" Materials 14, no. 23: 7118. https://doi.org/10.3390/ma14237118
APA StyleGabriel, S., von Klemperer, C. J., Chung Kim Yuen, S., & Langdon, G. S. (2021). Towards an Understanding of the Effect of Adding a Foam Core on the Blast Performance of Glass Fibre Reinforced Epoxy Laminate Panels. Materials, 14(23), 7118. https://doi.org/10.3390/ma14237118

