Effect of Carbon Black and Hybrid Steel-Polypropylene Fiber on the Mechanical and Self-Sensing Characteristics of Concrete Considering Different Coarse Aggregates’ Sizes
Abstract
:1. Introduction
2. Research Significance
3. Experimental Procedure
3.1. Mix Design of the Concrete Matrix
3.2. Raw Materials
3.3. Samples and Setup Description
3.4. Flexural Test
4. Results and Discussion
4.1. Effect of Size of Coarse Aggregates and Fibers on Compressive and Flexural Strength
4.2. Effect of Different Fibers and Coarse Aggregates Size on the Post-Peak Behaviour of Concrete
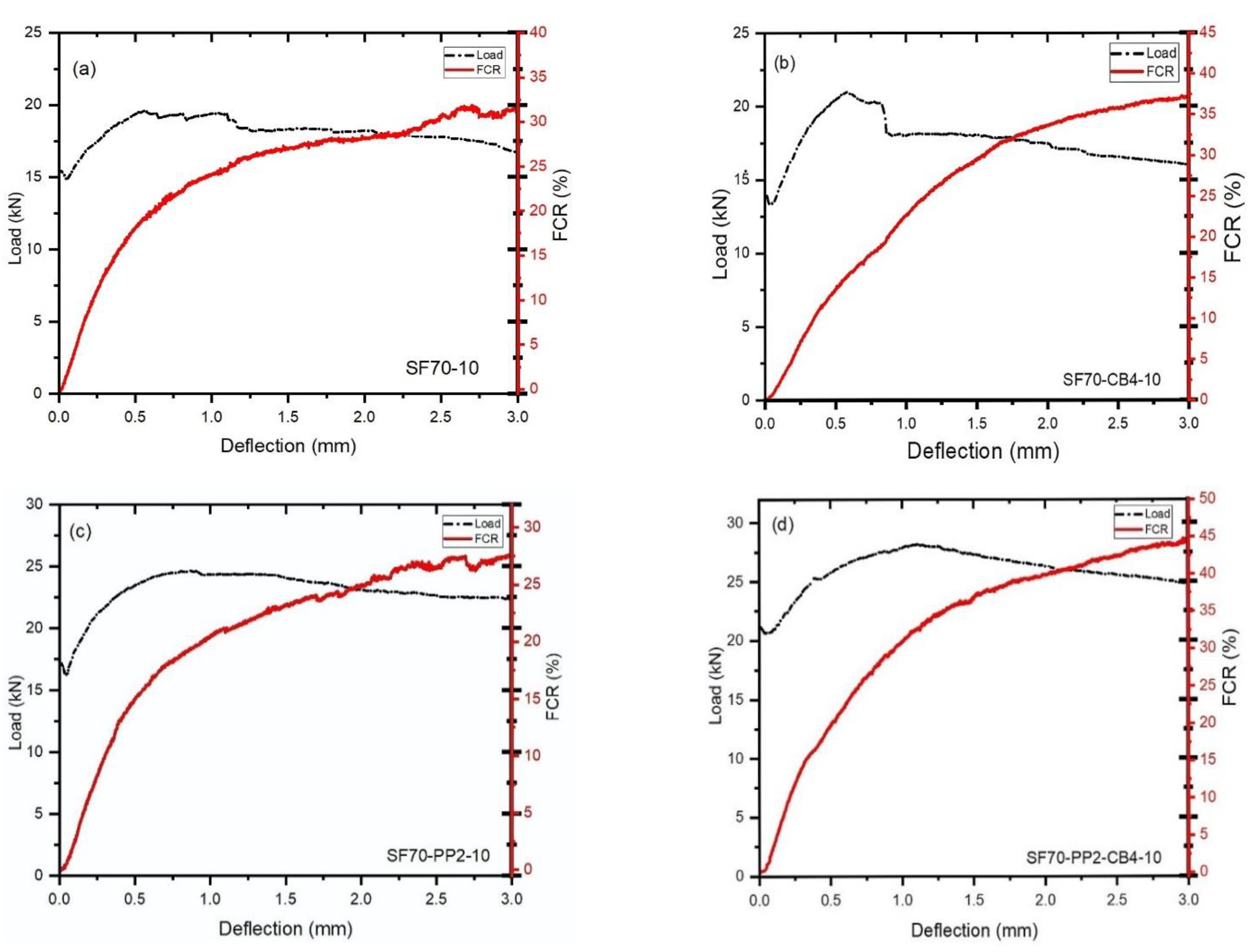
4.3. Effect of Different Admixtures and Coarse Aggregates Size on the Flexural Load-Bearing Capacity and (FCR)
4.4. The Relationship between FCR and COD with Different Types of Admixtures and Coarse Aggregates
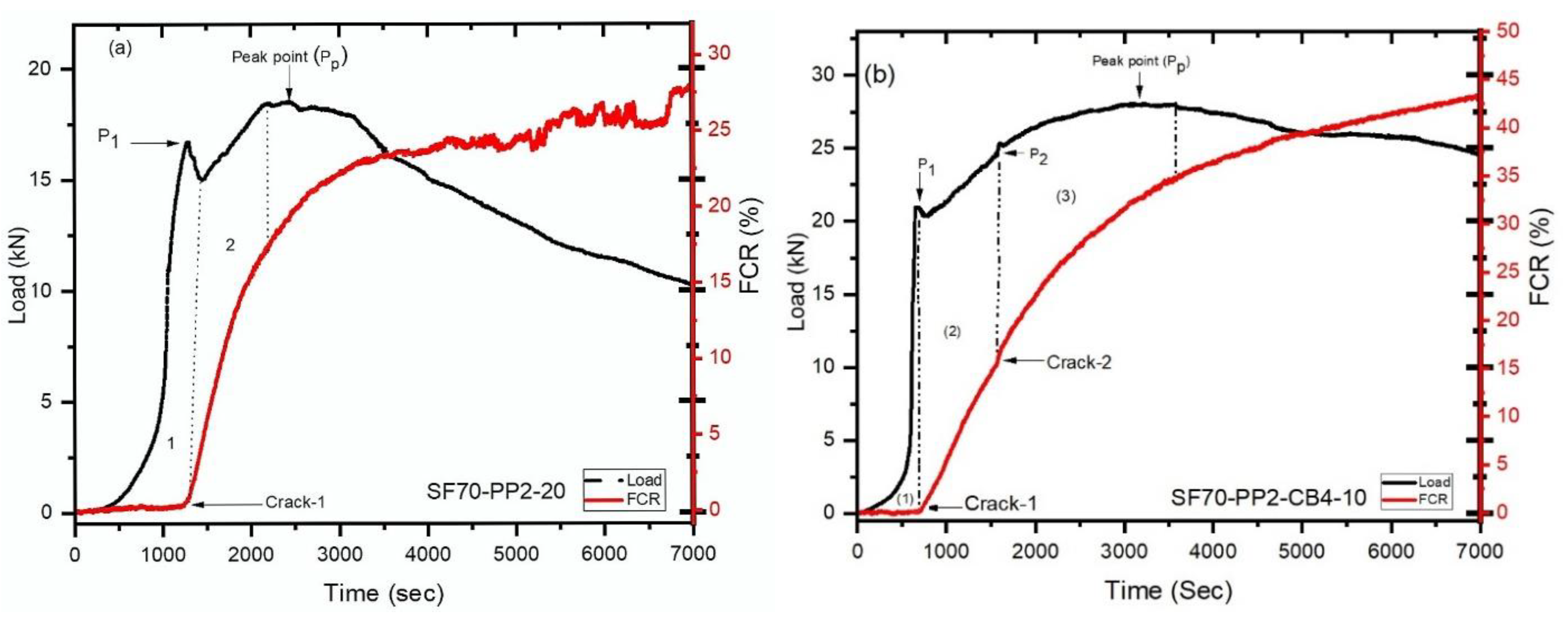
4.5. Multiple Cracking Monitoring
5. Discussion
6. Conclusions
- The addition of steel fibers and carbon black (monophasic and diphasic) increased the compression strength of both sizes of aggregates as compared to plain concrete. However, the inclusion of polypropylene fibers as a triphasic material (SF + PP + CB) led to a minor reduction in compression strength in different sizes of aggregates.
- The hybridization of steel fibers with carbon black and polypropylene fibers can improve the flexural strength of both sizes of aggregates. Smaller aggregates (5–10 mm) showed a higher flexural strength ratio than larger size aggregates (15–20 mm).
- The post-cracking behaviour and toughness parameters of specimens were significantly improved by the addition of steel fiber and polypropylene fiber. Smaller aggregates demonstrated higher energy absorption capacity and flexural toughness compared to larger ones.
- The diphasic and triphasic conductive material with smaller aggregates (5–10 mm) increased FCR values up to 38.95% and 42.21%, respectively, for SF70-CB4-10 and SF70-PP2-CB4-10 admixtures; with larger aggregates, the FCR values increased up to 35.5% and 16.50%, respectively, for SF70-CB4-20 and SF70-PP2-CB4-20 admixtures.
- The hybrid use of polypropylene fibers with steel fibers decreased the (FCR) values, but as triphasic material (SF + PP + CB), they increased the (FCR) values due to the conductive characteristics of carbon black.
- Multiple cracking can be sensed by the load-time-FCR graph, as the linear increment of fractional change in resistance (FCR) was noted during the first peak load, followed by an observable clear variation in FCR after the occurrence of the second crack.
Author Contributions
Funding
Institutional Review Board Statement
Informed Consent Statement
Data Availability Statement
Acknowledgments
Conflicts of Interest
References
- Chalioris, C.E.; Karayannis, C.G.; Angeli, G.M.; Papadopoulos, N.A.; Favvata, M.J.; Providakis, C.P. Applications of smart piezoelectric materials in a wireless admittance monitoring system (WiAMS) to Structures—Tests in RC elements. Case Stud. Constr. Mater. 2016, 5, 1–18. [Google Scholar] [CrossRef] [Green Version]
- Chalioris, C.E.; Kytinou, V.K.; Voutetaki, M.E.; Karayannis, C.G. Flexural Damage Diagnosis in Reinforced Concrete Beams Using a Wireless Admittance Monitoring System—Tests and Finite Element Analysis. Sensors 2021, 21, 679. [Google Scholar] [CrossRef]
- Karayannis, C.G.; Voutetaki, M.E.; Chalioris, C.E.; Providakis, C.P.; Angeli, G.M. Detection of flexural damage stages for RC beams using Piezoelectric sensors (PZT). Smart Struct. Syst. 2015, 15, 997–1018. [Google Scholar] [CrossRef]
- Sugita, M.; Yanagida, H.; Muto, N. Materials design for self-diagnosis of fracture in CFGFRP composite reinforcement. Smart Mater. Struct. 1995, 4, A52–A57. [Google Scholar] [CrossRef]
- Huang, Y.; Li, H.; Qian, S. Self-sensing properties of Engineered Cementitious Composites. Constr. Build. Mater. 2018, 174, 253–262. [Google Scholar] [CrossRef]
- Yoo, D.-Y.; Kim, S.; Lee, S.H. Self-sensing capability of ultra-high-performance concrete containing steel fibers and carbon nanotubes under tension. Sens. Actuators A Phys. 2018, 276, 125–136. [Google Scholar] [CrossRef]
- Chung, D.D.L. Strain sensors based on the electrical resistance change accompanying the reversible pull-out of conducting short fibers in a less conducting matrix. Smart Mater. Struct. 1995, 4, 59–61. [Google Scholar] [CrossRef] [Green Version]
- Chen, P.-W.; Chung, D. Concrete as a new strain/stress sensor. Compos. Part B Eng. 1996, 27, 11–23. [Google Scholar] [CrossRef]
- Vaidya, S.; Allouche, E.N. Strain sensing of carbon fiber reinforced geopolymer concrete. Mater. Struct. 2011, 44, 1467–1475. [Google Scholar] [CrossRef]
- Azhari, F.; Banthia, N. Carbon Fiber-Reinforced Cementitious Composites for Tensile Strain Sensing. ACI Mater. J. 2017, 114, 129–136. [Google Scholar]
- Ding, Y.; Liu, G.; Hussain, A.; Pacheco-Torgal, F.; Zhang, Y. Effect of steel fiber and carbon black on the self-sensing ability of concrete cracks under bending. Constr. Build. Mater. 2019, 207, 630–639. [Google Scholar] [CrossRef]
- Han, B.; Wang, Y.; Ding, S.; Yu, X.; Zhang, L.; Li, Z.; Ou, J. Self-sensing cementitious composites incorporated with botryoid hybrid nano-carbon materials for smart infrastructures. J. Intell. Mater. Syst. Struct. 2016, 28, 699–727. [Google Scholar] [CrossRef]
- Hussain, A.; Ding, Y.; Liu, G.; Naqi, A. Study on self-monitoring of multiple cracked concrete beams with multiphase conductive materials subjected to bending. Smart Mater. Struct. 2019, 28, 095003. [Google Scholar] [CrossRef]
- Yehia, S. Conductive Concrete Overlay for Bridge Deck Deicing: Mixture Proportioning, Optimization, and Properties. ACI Mater. J. 2000, 97, 172–181. [Google Scholar] [CrossRef] [Green Version]
- Naaman, A.E. High-Performance Construction Materials: Science and Applications; World Scientific Publishing: Singapore, 2008; pp. 91–153. [Google Scholar]
- Hussain, Z.; Pu, Z.; Hussain, A.; Ahmed, S.; Shah, A.U.; Ali, A.; Ali, A. Effect of fiber dosage on water permeability using a newly designed apparatus and crack monitoring of steel fiber–reinforced concrete under direct tensile loading. Struct. Health Monit. 2021, 14759217211052855. [Google Scholar] [CrossRef]
- Ding, Y.; Han, Z.; Zhang, Y.; Azevedo, C. Hybrid use of steel and carbon-fiber reinforced concrete for monitoring of crack behavior. In Proceedings of thein ECCM15–15th European Conference on Composite Materials, European Conference on Composite Materials (ECCM), Venice, Italy, 24–28 June 2012. [Google Scholar]
- Bezerra, A.C.S.; Maciel, P.S.; Corrêa, E.C.S.; Junior, P.R.R.S.; Aguilar, M.T.P.; Cetlin, P.R. Effect of High Temperature on the Mechanical Properties of Steel Fiber-Reinforced Concrete. Fibers 2019, 7, 100. [Google Scholar] [CrossRef] [Green Version]
- Kytinou, V.K.; Chalioris, C.E.; Karayannis, C.G. Analysis of Residual Flexural Stiffness of Steel Fiber-Reinforced Concrete Beams with Steel Reinforcement. Materials 2020, 13, 2698. [Google Scholar] [CrossRef] [PubMed]
- Tsonos, A.-D.; Kalogeropoulos, G.; Iakovidis, P.; Bezas, M.-Z.; Koumtzis, M. Seismic Performance of RC Beam–Column Joints Designed According to Older and Modern Codes: An Attempt to Reduce Conventional Reinforcement Using Steel Fiber Reinforced Concrete. Fibers 2021, 9, 45. [Google Scholar] [CrossRef]
- Ding, Y.; Han, Z.; Zhang, Y.; Aguiar, J. Concrete with triphasic conductive materials for self-monitoring of cracking development subjected to flexure. Compos. Struct. 2016, 138, 184–191. [Google Scholar] [CrossRef] [Green Version]
- Jansson, A.; Flansbjer, M.; Löfgren, I.; Lundgren, K.; Gylltoft, K. Experimental investigation of surface crack initiation, propagation and tension stiffening in self-compacting steel–fibre-reinforced concrete. Mater. Struct. 2012, 45, 1127–1143. [Google Scholar] [CrossRef]
- Banthia, N.; Gupta, R. Hybrid fiber reinforced concrete (HyFRC): Fiber synergy in high strength matrices. Mater. Struct. 2004, 37, 707–716. [Google Scholar] [CrossRef]
- Khan, M.; Cao, M.; Hussain, A.; Chu, S. Effect of silica-fume content on performance of CaCO3 whisker and basalt fiber at matrix interface in cement-based composites. Constr. Build. Mater. 2021, 300, 124046. [Google Scholar] [CrossRef]
- Khan, M.; Cao, M.; Xie, C.; Ali, M. Hybrid fiber concrete with different basalt fiber length and content. Struct. Concr. 2021. [Google Scholar] [CrossRef]
- Khan, M.; Cao, M.; Xie, C.; Ali, M. Efficiency of basalt fiber length and content on mechanical and microstructural properties of hybrid fiber concrete. Fatigue Fract. Eng. Mater. Struct. 2021, 44, 2135–2152. [Google Scholar] [CrossRef]
- Cao, M.; Khan, M. Effectiveness of multiscale hybrid fiber reinforced cementitious composites under single degree of freedom hydraulic shaking table. Struct. Concr. 2021, 22, 535–549. [Google Scholar] [CrossRef]
- Xie, C.; Cao, M.; Guan, J.; Liu, Z.; Khan, M. Improvement of boundary effect model in multi-scale hybrid fibers reinforced cementitious composite and prediction of its structural failure behavior. Compos. Part B Eng. 2021, 224, 109219. [Google Scholar] [CrossRef]
- Banthia, N.; Soleimani, S.M. Flexural response of hybrid fiber-reinforced cementitious composites. ACI Mater. J. 2005, 102, 382. [Google Scholar]
- Khan, M.; Ali, M. Use of glass and nylon fibers in concrete for controlling early age micro cracking in bridge decks. Constr. Build. Mater. 2016, 125, 800–808. [Google Scholar] [CrossRef]
- Pakravan, H.R.; Latifi, M.; Jamshidi, M. Hybrid short fiber reinforcement system in concrete: A review. Constr. Build. Mater. 2017, 142, 280–294. [Google Scholar] [CrossRef]
- Sadrinejad, I.; Madandoust, R.; Ranjbar, M.M. The mechanical and durability properties of concrete containing hybrid synthetic fibers. Constr. Build. Mater. 2018, 178, 72–82. [Google Scholar] [CrossRef]
- Sukontasukkul, P.; Pongsopha, P.; Chindaprasirt, P.; Songpiriyakij, S. Flexural performance and toughness of hybrid steel and polypropylene fibre reinforced geopolymer. Constr. Build. Mater. 2018, 161, 37–44. [Google Scholar] [CrossRef]
- Xie, C.; Cao, M.; Khan, M.; Yin, H.; Guan, J. Review on different testing methods and factors affecting fracture properties of fiber reinforced cementitious composites. Constr. Build. Mater. 2021, 273, 121766. [Google Scholar] [CrossRef]
- Khan, M.; Cao, M.; Chaopeng, X.; Ali, M. Experimental and analytical study of hybrid fiber reinforced concrete prepared with basalt fiber under high temperature. Fire Mater. 2021. [Google Scholar] [CrossRef]
- Li, L.; Khan, M.; Bai, C.; Shi, K. Uniaxial Tensile Behavior, Flexural Properties, Empirical Calculation and Microstructure of Multi-Scale Fiber Reinforced Cement-Based Material at Elevated Temperature. Materials 2021, 14, 1827. [Google Scholar] [CrossRef] [PubMed]
- Guan, X.; Han, B.; Ou, J. Study on the dispersibility of carbon fiber in cement paste. China Concr. Cem. Prod. 2002, 2, 34–36. [Google Scholar]
- Abasal Hussain, Z.H. Effect of carbon black on properties of steel fiber-reinforced concrete. In Proceedings of the 3rd Conference on Sustainability in Civil Engineering (CSCE’21), Islamabad, Pakistan, 11 August 2021; pp. 1–6. [Google Scholar]
- Li, H.; Xiao, H.-G.; Ou, J.-P. Effect of compressive strain on electrical resistivity of carbon black-filled cement-based composites. Cem. Concr. Compos. 2006, 28, 824–828. [Google Scholar] [CrossRef]
- Wen, S.; Chung, D. Partial replacement of carbon fiber by carbon black in multifunctional cement–matrix composites. Carbon 2007, 45, 505–513. [Google Scholar] [CrossRef]
- Cao, M.; Khan, M.; Ahmed, S. Effectiveness of Calcium Carbonate Whisker in Cementitious Composites. Period. Polytech. Civ. Eng. 2020, 64, 265–275. [Google Scholar] [CrossRef] [Green Version]
- Monteiro, A.; Cachim, P.; Costa, P. Electrical Properties of Cement-based Composites Containing Carbon Black Particles. Mater. Today Proc. 2015, 2, 193–199. [Google Scholar] [CrossRef]
- Olivito, R.; Zuccarello, F. An experimental study on the tensile strength of steel fiber reinforced concrete. Compos. Part B Eng. 2010, 41, 246–255. [Google Scholar] [CrossRef]
- Han, J.; Zhao, M.; Chen, J.; Lan, X. Effects of steel fiber length and coarse aggregate maximum size on mechanical properties of steel fiber reinforced concrete. Constr. Build. Mater. 2019, 209, 577–591. [Google Scholar] [CrossRef]
- Fazli, H.; Yan, D.; Zhang, Y.; Zeng, Q. Effect of Size of Coarse Aggregate on Mechanical Properties of Metakaolin-Based Geopolymer Concrete and Ordinary Concrete. Materials 2021, 14, 3316. [Google Scholar] [CrossRef]
- Al-Oraimi, S.; Taha, R.; Hassan, H. The effect of the mineralogy of coarse aggregate on the mechanical properties of high-strength concrete. Constr. Build. Mater. 2005, 20, 499–503. [Google Scholar] [CrossRef]
- ASTM. Standard Test Method for Flexural Performance of Fiber-Reinforced Concrete (Using Beam With Third-Point Loading); ASTM: West Conshohocken, PA, USA, 2010. [Google Scholar]
- Rilem, T. Test and design methods for steel fibre reinforced concrete. Mater. Struct. 2002, 35, 579–582. [Google Scholar] [CrossRef]
- Kim, D.J.; Naaman, A.E.; El-Tawil, S. Comparative flexural behavior of four fiber reinforced cementitious composites. Cem. Concr. Compos. 2008, 30, 917–928. [Google Scholar] [CrossRef]
- Shaikh, F. Deflection hardening behaviour of short fibre reinforced fly ash based geopolymer composites. Mater. Des. 2013, 50, 674–682. [Google Scholar] [CrossRef] [Green Version]
- Han, B.; Zhang, L.; Sun, S.; Yu, X.; Dong, X.; Wu, T.; Ou, J. Electrostatic self-assembled carbon nanotube/nano carbon black composite fillers reinforced cement-based materials with multifunctionality. Compos. Part A Appl. Sci. Manuf. 2015, 79, 103–115. [Google Scholar] [CrossRef]
- Naaman, A.E. Fiber reinforced concrete: State of progress at the edge of the new millennium. Des. Sustain. 2007, 1. [Google Scholar]











| Materials | Length (mm) | Diameter/Particle Size (mm) | Density (g/cm3) | Resistivity (Ω·cm) | Tensile Strength (MPa) | Young’s Modulus (GPa) |
|---|---|---|---|---|---|---|
| SF | 35 | 0.55 | 7.85 | 5–10 | 1150 | 210 |
| PP | 35 | 0.35 | 0.9 | - | 547–658 | 3.5–7.5 |
| CB | - | 6 × 10−5 | 0.5 | 0.75 | - | - |
| Type | Specimens | Binder (kg/m3) | Aggregates (kg/m3) | Polypropylene Fiber (PP) (kg/m3) | Steel Fiber (SF) (kg/m3) | Carbon Black (CB) (kg/m3) | Slump (mm) |
|---|---|---|---|---|---|---|---|
| Plain Concrete | PC-10 | 545 | 1670 | - | - | - | 180 |
| PC-20 | 545 | 1670 | - | - | - | 195 | |
| Monophasic admixtures | SF70-10 | 545 | 1670 | - | 70 | - | 153 |
| SF70-20 | 545 | 1670 | - | 70 | - | 164 | |
| Diphasic Admixtures | SF70-CB4-10 | 545 | 1670 | - | 70 | 4 | 69 |
| SF70-CB4-20 | 545 | 1670 | - | 70 | 4 | 81 | |
| SF70-PP2-10 | 545 | 1670 | 2 | 70 | - | 150 | |
| SF70-PP2-20 | 545 | 1670 | 2 | 70 | - | 162 | |
| Triphasic Admixtures | SF70-PP2-CB4-10 | 545 | 1670 | 2 | 70 | 4 | 63 |
| SF70-PP2-CB4-20 | 545 | 1670 | 2 | 70 | 4 | 71 |
| Specimens | fcu (N/mm2) | Standred Deviation | Fu (kN) | σu (N/mm2) | DfBZ.2 | feq.2 | DfBZ.3 | feq.3 |
|---|---|---|---|---|---|---|---|---|
| PC-10 | 40.27 | 3.83 | 13.50 | 4.05 | - | - | - | - |
| PC-20 | 37.76 | 4.95 | 12.94 | 3.88 | - | - | - | - |
| SF70-10 | 43.01 | 1.57 | 15.88 | 4.76 | 8.44 | 7.60 | 46.232 | 8.33 |
| SF70-20 | 40.31 | 2.37 | 15.10 | 4.53 | 9.53 | 8.59 | 44.19 | 7.96 |
| SF70-CB4-10 | 46.04 | 1.91 | 17.18 | 5.15 | 10.83 | 9.70 | 54.11 | 10.10 |
| SF70-CB4-20 | 42.21 | 3.73 | 14.59 | 4.37 | 8.60 | 7.74 | 45.42 | 8.18 |
| SF70-PP2-10 | 38.65 | 3.72 | 16.60 | 5.04 | 11.49 | 10.34 | 58.87 | 11.21 |
| SF70-PP2-20 | 35.55 | 3.07 | 15.88 | 4.76 | 8.28 | 7.50 | 43.01 | 7.74 |
| SF70-PP2-CB4-10 | 41.47 | 6.51 | 20.97 | 6.04 | 12.10 | 10.90 | 66.17 | 11.97 |
| SF70-PP2-CB4-20 | 38.33 | 7.83 | 16.62 | 4.96 | 11.17 | 10.23 | 53.45 | 9.62 |
| Samples | Load Drop Rate (%) | Load Drop (kN) | FCR1.5 (%) | FCR3 (%) | Percentage Increment from FCR1.5 to FCR3 |
|---|---|---|---|---|---|
| SF70-10 | 17.48 | 1.50 | 25.25 | 31.9 | 20.84 |
| SF70-20 | 20.01 | 2.75 | 21.15 | 28.12 | 24.50 |
| SF70-CB4-10 | 8.33 | 1.05 | 28.95 | 37.72 | 23.25 |
| SF70-CB4-20 | 10.39 | 1.36 | 28.25 | 34.5 | 18.57 |
| SF70-PP2-10 | 5.32 | 0.97 | 23.56 | 27.65 | 14.79 |
| SF70-PP2-20 | 11.87 | 1.80 | 20.20 | 24.15 | 16.35 |
| SF70-PP2-CB4-10 | 2.70 | 0.60 | 35.12 | 44.95 | 21.86 |
| SF70-PP2-CB4-10 | 12.71% | 1.35 | 15.18 | 17.10 | 11.22 |
| Specimens | t | A | Y0 | C2R | FCR3 (%) |
|---|---|---|---|---|---|
| SF70-10 | 2.23 | −35.66 | 35.80 | 0.95938 | 27.75 |
| SF70-20 | 1.60 | −31.54 | 31.40 | 0.99735 | 26.12 |
| SF70-CB4-10 | 1.26 | −41.35 | 41.10 | 0.99834 | 38.95 |
| SF70-CB4-20 | 0.79 | −37.81 | 38.08 | 0.99422 | 35 |
| SF70-PP2-10 | 1.53 | −28.71 | 28.05 | 0.99506 | 23.65 |
| SF70-PP2-20 | 1.41 | −25.86 | 25.92 | 0.99422 | 22.50 |
| SF70-PP2-CB4-10 | 0.76 | −42.96 | 42.45 | 0.99813 | 42.50 |
| SF70-PP2-CB4-20 | 1.73 | −19.29 | 19.41 | 0.99179 | 16.50 |
Publisher’s Note: MDPI stays neutral with regard to jurisdictional claims in published maps and institutional affiliations. |
© 2021 by the authors. Licensee MDPI, Basel, Switzerland. This article is an open access article distributed under the terms and conditions of the Creative Commons Attribution (CC BY) license (https://creativecommons.org/licenses/by/4.0/).
Share and Cite
Ahmed, S.; Hussain, A.; Hussain, Z.; Pu, Z.; Ostrowski, K.A.; Walczak, R. Effect of Carbon Black and Hybrid Steel-Polypropylene Fiber on the Mechanical and Self-Sensing Characteristics of Concrete Considering Different Coarse Aggregates’ Sizes. Materials 2021, 14, 7455. https://doi.org/10.3390/ma14237455
Ahmed S, Hussain A, Hussain Z, Pu Z, Ostrowski KA, Walczak R. Effect of Carbon Black and Hybrid Steel-Polypropylene Fiber on the Mechanical and Self-Sensing Characteristics of Concrete Considering Different Coarse Aggregates’ Sizes. Materials. 2021; 14(23):7455. https://doi.org/10.3390/ma14237455
Chicago/Turabian StyleAhmed, Shakeel, Abasal Hussain, Zahoor Hussain, Zhang Pu, Krzysztof Adam Ostrowski, and Rafał Walczak. 2021. "Effect of Carbon Black and Hybrid Steel-Polypropylene Fiber on the Mechanical and Self-Sensing Characteristics of Concrete Considering Different Coarse Aggregates’ Sizes" Materials 14, no. 23: 7455. https://doi.org/10.3390/ma14237455
APA StyleAhmed, S., Hussain, A., Hussain, Z., Pu, Z., Ostrowski, K. A., & Walczak, R. (2021). Effect of Carbon Black and Hybrid Steel-Polypropylene Fiber on the Mechanical and Self-Sensing Characteristics of Concrete Considering Different Coarse Aggregates’ Sizes. Materials, 14(23), 7455. https://doi.org/10.3390/ma14237455

