Correlation between Defects and Electrical Performances of Ion-Irradiated 4H-SiC p–n Junctions
Abstract
1. Introduction
2. Materials and Methods
3. Results
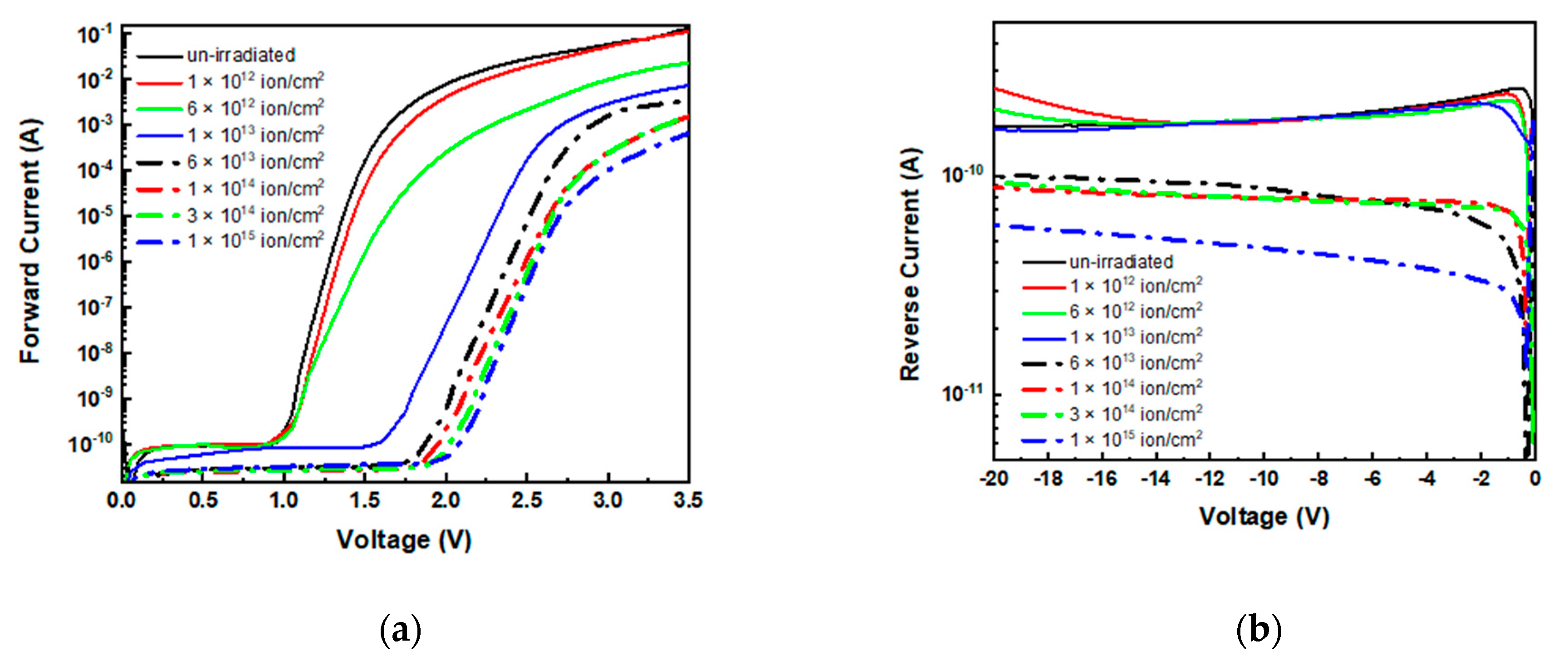
3.1. Series Resistance
3.2. Recombination Current
3.3. Temperature Behavior
4. Discussion
5. Conclusions
Author Contributions
Funding
Institutional Review Board Statement
Informed Consent Statement
Data Availability Statement
Conflicts of Interest
References
- Park, Y.S. SiC Materials and Devices in Semiconductors and Semimetal; Willardson, R.K., Weber, E.R., Eds.; Academic: San Diego, CA, USA, 1998; Volume 52. [Google Scholar]
- Matsunami, H. Technological breakthroughs in growth control of silicon carbide for high power electronic devices. Jpn. J. Appl. Phys. 2004, 43, 6835–6847. [Google Scholar] [CrossRef]
- Willander, M.; Friesel, L.; Wahab, Q.; Straumal, B. Silicon carbide and diamond for high-temperature device applications. J. Mater. Sci. Mater. Electron. 2006, 17, 1–25. [Google Scholar] [CrossRef]
- Mazzillo, M.; Condorelli, G.; Castagna, M.E.; Catania, G.; Sciuto, A.; Roccaforte, F.; Raineri, V. Highly Efficient Low Reverse Biased 4H-SiC Schottky Photodiodes for UV-Light Detection. IEEE Photonics Technol. Lett. 2009, 21, 1782–1784. [Google Scholar] [CrossRef]
- Cha, H.; Sandivik, P.M. Electrical and optical modeling of 4H-SiC avalanche photodiodes. Jpn. J. Appl. Phys. 2008, 47, 542308–542312. [Google Scholar] [CrossRef]
- Bertuccio, G.; Casiraghi, R. Study of silicon carbide for X-ray detection and spectroscopy. IEEE Trans. Nucl. Sci. 2003, 50, 175–185. [Google Scholar] [CrossRef]
- Nava, F.; Bertuccio, G.; Cavallini, A.; Vittone, E. Silicon carbide and its use as radiation detector material. Meas. Sci. Technol. 2008, 19, 102011–102046. [Google Scholar] [CrossRef]
- Torrisi, L.; Sciuto, A.; Calcagno, L.; Musumeci, P.; Mazzillo, M.; Ceccio, G.; Cannavò, A. Laser-plasma X-ray detection by using fast 4H-SiC interdigit and ion collector detectors. J. Instrum. 2015, 10, 1748–1757. [Google Scholar] [CrossRef]
- Cutroneo, M.; Musumeci, P.; Zimbone, M.; Torrisi, L.; La Via, F.; Margarone, D.; Velyan, A.; Ullschmied, J.; Calcagno, L. High performance SiC detectors for MeV ion beams generated by intense pulsed laser plasma. J. Mat. Res. 2013, 28, 87–93. [Google Scholar] [CrossRef]
- Litrico, G.; Tudisco, S.; La Via, F.; Altana, C.; Agodi, C.; Calcagno, L. Silicon Carbide detectors for nuclear physics experiments at high beam luminosity. J. Phys. Conf. Ser. 2018, 1056, 012032. [Google Scholar] [CrossRef]
- Seely, J.F.; Kjornrattanawanich, B.; Holland, G.E.; Korde, R. Response of a SiC photodiode to extreme ultraviolet through visible radiation. Opt. Lett. 2005, 30, 3120–3122. [Google Scholar] [CrossRef]
- Mazzillo, M.; Sciuto, A.; Marchese, S. Electro-Optical characterization of patterned thin metal film Ni2Si-4H SiC Schottky photodiodes for UV light detection. IEEE Sensors J. 2015, 15, 1858–1863. [Google Scholar] [CrossRef]
- Dalibor, T.; Pensl, G.; Kimoto, T.; Matsunami, H.; Sridhara, S.; Devaty, R.P.; Choyke, W.J. Radiation-induced defect centers in 4H silicon carbide. Diam. Relat. Mater. 1997, 6, 1333–1337. [Google Scholar] [CrossRef]
- David, M.L.; Alfieri, G.; Monakhov, E.M.; Hallén, A.; Blanchard, C.; Svensson, B.G.; Barbot, J.F. Electrically active defects in irradiated 4H-SiC. J. Appl. Phys. 2004, 95, 4728–4733. [Google Scholar] [CrossRef]
- Davydov, D.V.; Lebedev, A.A.; Kozlovsky, V.V.; Savkina, N.S.; Strel’chuk, A.M. DLTS study of defects in 6H and 4H-SiC created by proton irradiation. Physica B 2001, 308, 641–644. [Google Scholar] [CrossRef]
- Storasta, L.; Bergman, J.P.; Janzen, E.; Henry, A.; Lu, J. Deep levels created by low energy electron irradiation in 4H-SiC. J. Appl. Phys. 2004, 96, 4909–4915. [Google Scholar] [CrossRef]
- Hazdra, P.; Záhlava, V.; Vobecký, J.; Berthou, M.; Mihaila, A. Radiation defects produced in 4H-SiC epilayers by proton and alpha-particle irradiation. Mater. Sci. Forum 2013, 740–742, 661–664. [Google Scholar] [CrossRef]
- Kozlovskia, V.V.; Vasil’eva, A.E.; Karaseova, P.A.; Lebedev, A.A. Formation of Radiation Defects by Proton Braking in Lightly Doped n- and p-SiC Layers. Semiconductors 2018, 52, 310–315. [Google Scholar] [CrossRef]
- Strel’chuk, A.M.; Kozlovski, V.V.; Lebedev, A.A. Radiation-Induced Damage of Silicon-Carbide Diodes by High-Energy Particles. Semiconductors 2018, 52, 1758–1762. [Google Scholar] [CrossRef]
- Roccaforte, F.; Libertino, S.; Raineri, V.; Ruggiero, A.; Massimino, V.; Calcagno, L. Defects and electrical behavior in 1 MeV Si+ ion-irradiated 4H–SiC Schottky diodes. J. Appl. Phys. 2006, 99, 013515–013518. [Google Scholar] [CrossRef]
- Izzo, G.; Litrico, G.; Foti, G.; Calcagno, L.; La Via, F. Electrical properties of high energy ion irradiated 4H-SiC Schottky diodes. J. Appl. Phys. 2008, 104, 093711–093715. [Google Scholar] [CrossRef]
- Sciortino, S.; Harties, F.; Lagomarsino, S.; Nava, F.; Brianzi, M.; Cindro, V.; Lanzieri, C.; Vanni, P. Effect of heavy proton and neutron irradiations on epitaxial 4H-SiC Schottky diodes. Nucl. Instr. Methods A 2005, 552, 138–145. [Google Scholar] [CrossRef]
- Izzo, G.; Litrico, G.; Foti, G.; La Via, F.; Calcagno, L. Defects in high energy ion irradiated 4H-SiC. Mater. Sci. Forum 2009, 615, 397–400. [Google Scholar] [CrossRef]
- Castaldini, A.; Cavallini, A.; Rigutti, L.; Nava, F.; Ferrero, S.; Giorgis, F. Deep levels by proton and electron irradiation in 4H-SiC. J. Appl. Phys. 2005, 98, 053706. [Google Scholar] [CrossRef]
- Luo, Z.; Ahyi, A.C.; Chen, T.; Sutton, A. Proton radiation effects in 4H-SiC diodes and MOS capacitors. IEEE Trans. Nucl. Sci. 2004, 51, 3748–3752. [Google Scholar]
- Usman, M.; Hallen, A.; Ghandi, R.; Domeij, M. Effects of 3.0 MeV helium implantation on electrical characteristics of 4H-SiC BJTs. Physyca Scr. 2010, T141, 014012–014015. [Google Scholar] [CrossRef]
- Hallen, A.; Nawaz, M.; Zaring, C.; Usman, M.; Domeij, M.; Osling, M. Low-temperature annealing and radiation induced degradation in 4H-SiC Bipolar Junction Transistors. IEEE Electron Device Lett. 2010, 31, 707–709. [Google Scholar] [CrossRef]
- Lebedev, A.A.; Kozlovski, V.V.; Levinshtein, M.E.; Ivanov, P.A.; Strel’chuk, A.M.; Zubov, A.V.; Fursin, L. Effect of high energy (15 MeV) proton irradiation on vertical power 4H-SiC MOSFETs. Semicond. Sci. Technol. 2019, 34, 045004. [Google Scholar] [CrossRef]
- Alexandru, M.; Florentin, M.; Constant, A.; Schmidt, B.; Michel, P.; Godignon, P. 5 MeV Proton and 15 MeV Electron Radiation Effects Study on 4H-SiC nMOSFET Electrical Parameters. IEEE Trans. Nucl. Sci. 2014, 61, 1732–1738. [Google Scholar] [CrossRef]
- Raciti, G.; De Napoli, M.; Giacoppo, F.; Rapisarda, E.; Sfienti, C. Detection Properties and Radiation Damage Effects in SiC Diodes Irradiated with Light Ions. Nucl. Phys. A 2010, 834, 784–787. [Google Scholar] [CrossRef]
- Moscatelli, F.; Scorzoni, A.; Poggi, A.; Bruzzi, M.; Sciortino, S.; Lagomarsino, S.; Wagner, G.; Mandic, I.; Nipoti, R. Radiation hardness after very high neutron irradiation of minimum ionizing particle detectors based on 4H-SiC p-n junctions. IEEE Trans. Nucl. Sci. 2006, 53, 1557–1563. [Google Scholar] [CrossRef]
- Kalinina, E.V.; Lebedev, A.A.; Bogdanova, E.; Berenquier, B.; Ottaviani, L.; Violina, G.N.; Skuratov, V. Irradiation of 4H-SiC UV detectors with heavy ions. Semiconductors 2015, 49, 540–546. [Google Scholar] [CrossRef]
- Sciuto, A.; Roccaforte, F.; Raineri, V. Electro-optical response of ion-irradiated 4H-SiC Schottky ultraviolet photodetectors. Appl. Phys. Lett. 2008, 92, 093505–093507. [Google Scholar] [CrossRef]
- Sciuto, A.; Calcagno, L.; Mazzillo, M.; Mello, D.; Barbarino, P.P.; Zimbone, M.; D’Arrigo, G. 4H-SiC p-n Junction-Based Near IR Photon Source. IEEE Sensors J. 2021, 21, 1504–1509. [Google Scholar] [CrossRef]
- Strel‘chuk, A.M.; Kozlovski, V.V.; Lebedev, A.A. Effect of Proton and Electron Irradiation on Current-Voltage Characteristics of Rectifying Diodes Based on 4H-SiC Structures with Schottky Barrier. Mater. Sci. Forum 2020, 1004, 1081–1087. [Google Scholar] [CrossRef]
- Strel’chuk, A.M.; Kozlovski, V.V.; Savkina, N.S.; Rastegaeva, M.G.; Andreev, A.N. Effect of neutron irradiation on current-voltage characteristics of packaged diodes based on 6H-SiC pn structures. Mater. Sci. Forum 2017, 897, 459–462. [Google Scholar] [CrossRef]
- Moscatelli, F.; Scorzoni, A.; Poggi, A.; Passini, M.; Pizzocchero, G.; Nipoti, R. Effect of very high neutron fluence irradiation on p+n junction 4H-SiC diodes. Mater. Sci. Forum 2007, 556, 917–920. [Google Scholar] [CrossRef]
- Strel’chuk, A.M.; Kalinina, E.V.; Kostantinov, A.O.; Hallen, A. Influence of and neutron irradiation on injection characteristics of 4H-SiC pn structures. Mat. Sci. Forum 2005, 483, 993–996. [Google Scholar] [CrossRef]
- Strel’chuk, A.M.; Kozlovski, V.V.; Savkina, N.S.; Rastegaeva, M.G.; Andreev, A.N. Influence of proton irradiation recombination current in 6H-pn structures. Mater. Sci. Eng. B 1999, 261, 441–445. [Google Scholar] [CrossRef]
- Strel’chuk, A.M.; Kozlovski, V.V.; Lebedev, A.A.; Yu, N.; Smirnova, S. Influence of irradiation on excess currents in SiC pn structures. Mat. Sci. Forum 2005, 483, 1001–1004. [Google Scholar] [CrossRef]
- Hazdra, P.P.; Smrkovský, P.; Vobecký, J.; Mihaila, A. Radiation Resistance of High-Voltage Silicon and 4H-SiC Power p-i-n Diodes. IEEE Trans. Electr. Dev. 2021, 68, 202–207. [Google Scholar] [CrossRef]
- Hazdra, P.P.; Vobecký, J. Radiation Defects Created in n-Type 4H-SiC by Electron Irradiation in the Energy Range of 1–10 MeV. Phys. Status Solidi A 2019, 216, 1900312. [Google Scholar] [CrossRef]
- Sciuto, A.; Mazzillo, M.; Di Franco, S.; Roccaforte, F.; D’Arrigo, G. Visible blind 4H-SiC P+-N UV photodiode obtained by aluminum implantation. IEEE Photonics J. 2015, 7, 6801906–6801910. [Google Scholar] [CrossRef]
- Frazzetto, A.; Giannazzo, F.; Nigro, R.L.; Raineri, V.; Roccaforte, F. Structural and transport properties in alloyed Ti/Al Ohmic contacts formed on p-type Al-implanted 4H-SiC annealed at high temperature. J. Phys. D Appl. Phys. 2011, 44, 255302. [Google Scholar] [CrossRef]
- Spera, M.; Corso, D.; Di Franco, S.; Greco, G.; Severino, A.; Fiorenza, P.; Giannazzo, F.; Roccaforte, F. Effect of high temperature annealing (T > 1650 °C) on the morphological and electrical properties of p-type implanted 4H-SiC layers. Mater. Sci. Sem. Rocessing 2019, 93, 274–279. [Google Scholar] [CrossRef]
- Roccaforte, F.; La Via, F.; Baeri, A.; Raineri, V.; Mangano, F.; Calcagno, L. Stuctural and electrical properties of Ni/Ti Schottky contacts on silicon carbide upon thermal annealing. J. App. Phys. 2004, 96, 4313–4316. [Google Scholar] [CrossRef]
- Ziegler, J. SRIM, The Stopping and Range of Ions in Matter, Actual Website. 2013. Available online: http://www.srim.org/ (accessed on 2 January 2020).
- Pezzimenti, F.; Dehim, L.; Saaoune, A.; della Corte, F.G. Analysis of the forward I-V characteristics of Al-implanted 4H-SiC pin diodes with modelling of recombination and trapping effects due to intrinsic and doping induced defect state. J. Electron. Mater. 2017, 47, 1–14. [Google Scholar]
- Aberg, D.; Hallen, A.; Pellegrino, P.; Svensson, B.G. Nitrogen deactivation by implantation induced defects in in 4H-SiC epitaxial layers. Appl. Phys. Lett. 2001, 78, 2908–2910. [Google Scholar] [CrossRef]
- Izzo, G.; Litrico, G.; Calcagno, L.; Foti, G. Compensation Effects in 7 MeV C Irradiated n-doped 4H-SiC. Mater. Sci. Forum 2009, 600, 619–622. [Google Scholar] [CrossRef]
- Lebedev, A.A.; Veinger, A.I.; Davydov, D.V.; Kozlovski, V.V.; Savkina, N.S.; Strel’chuk, A.M. Doping of n-type 6H-SiC and 4H.SiC with defects created with a proton beam. J. Appl. Phys. 2000, 88, 6265–6271. [Google Scholar] [CrossRef]
- Sah, C.-T.; Noyce, R.; Shockley, N. Carrier generation and recombination in p-n junction characteristics. Proc. I.R.E. 1957, 45, 1228–1243. [Google Scholar] [CrossRef]
- Strel’chuk, A.M.; Savkina, N.S. Ideal pn junction and its characteristics shunt. Mater. Sci. Eng. B 2001, 80, 378–382. [Google Scholar] [CrossRef]
- Hornos, T.; Gali, A.; Svensson, B.G. Negative-U system of carbon vacancy in 4H-SiC. Mater. Sci. Forum 2011, 679, 261–264. [Google Scholar] [CrossRef]
- Kawahara, K.; Trinh, X.T.; Son, N.T.; Janzén, E.; Suda, J.; Kimoto, T. Investigation on origin of Z1/2 center in SiC by deep level transient spectroscopy and electron paramagnetic resonance. Appl. Phys. Lett. 2013, 102, 112106–112109. [Google Scholar] [CrossRef]
- Strel’chuk, A.M.; Kalinina, E.V.; Lebedev, A.A.; Borisheva, I.K.; Pavshokov, V.V. Variant of excess current in 4H-SiC pn structure. Mat. Sci. Forum 2014, 778, 859–862. [Google Scholar] [CrossRef]
- Strel’chuk, A.M.; Mashichev, A.V.; Lebedev, A.A.; Volkova, A.N.; Zekendes, K. About the nature of recombination current in 4H-SiC pn structures. Mat. Sci. Forum 2006, 527, 91343–91346. [Google Scholar]
- Strel’chuk, A.M.; Evstropov, V.V.; Rastegaeva, M.G.; Kuznetsova, E.P. Shunting patterns occurring in epitaxial 6H-SiC structures for high-voltage rectifiers. Mater. Sci. Eng. B 1997, 46, 231–235. [Google Scholar] [CrossRef]
- Look, D.C.; Sizelove, J.P. Defect production in electron-irradiated n-type GaAs. J. Appl. Phys. 1987, 62, 3660–3664. [Google Scholar] [CrossRef]










| Irradiation Fluence (Ion/cm2) | Ideality Factor (n) | Bias Range (Volt) |
|---|---|---|
| 0 | 1.3 | 1.0–1.35 |
| 1012 | 1.3 | 1.0–1.35 |
| 6 × 1012 | 2.1 | 1.2–1.4 |
| 1013 | 2.2 | 1.75–2.3 |
| 6 × 1013 | 2.1 | 1.85–2.5 |
| 1014 | 2.2 | 1.9–2.6 |
| 3 × 1014 | 2.1 | 1.95–2.6 |
| 1015 | 2.1 | 2.0–2.6 |
Publisher’s Note: MDPI stays neutral with regard to jurisdictional claims in published maps and institutional affiliations. |
© 2021 by the authors. Licensee MDPI, Basel, Switzerland. This article is an open access article distributed under the terms and conditions of the Creative Commons Attribution (CC BY) license (https://creativecommons.org/licenses/by/4.0/).
Share and Cite
Pellegrino, D.; Calcagno, L.; Zimbone, M.; Di Franco, S.; Sciuto, A. Correlation between Defects and Electrical Performances of Ion-Irradiated 4H-SiC p–n Junctions. Materials 2021, 14, 1966. https://doi.org/10.3390/ma14081966
Pellegrino D, Calcagno L, Zimbone M, Di Franco S, Sciuto A. Correlation between Defects and Electrical Performances of Ion-Irradiated 4H-SiC p–n Junctions. Materials. 2021; 14(8):1966. https://doi.org/10.3390/ma14081966
Chicago/Turabian StylePellegrino, Domenico, Lucia Calcagno, Massimo Zimbone, Salvatore Di Franco, and Antonella Sciuto. 2021. "Correlation between Defects and Electrical Performances of Ion-Irradiated 4H-SiC p–n Junctions" Materials 14, no. 8: 1966. https://doi.org/10.3390/ma14081966
APA StylePellegrino, D., Calcagno, L., Zimbone, M., Di Franco, S., & Sciuto, A. (2021). Correlation between Defects and Electrical Performances of Ion-Irradiated 4H-SiC p–n Junctions. Materials, 14(8), 1966. https://doi.org/10.3390/ma14081966

