Evaluation of Active Heat Sinks Design under Forced Convection—Effect of Geometric and Boundary Parameters
Abstract
1. Introduction
1.1. Conventional Heat Sinks Design and Topology
1.2. Lattice Heat Sinks
2. Problem Description
2.1. CFD Methodology
2.2. CFD Governing Equations
2.3. Heat Sink Models
3. Results and Discussion
3.1. Fins Heat Sinks
Fins Shape
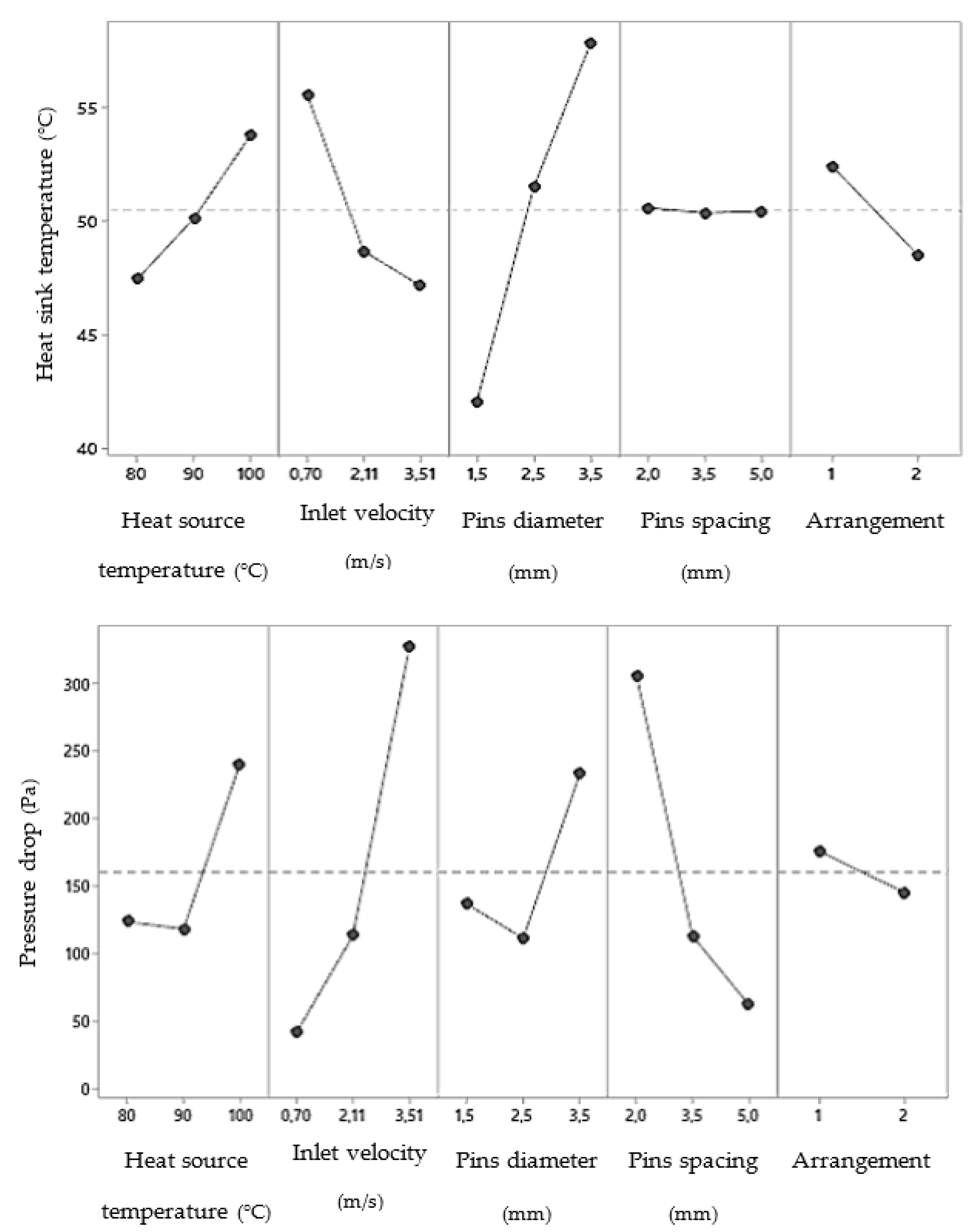
3.2. Pins Heat Sinks
Pins Shape
3.3. Lattice Heat Sinks
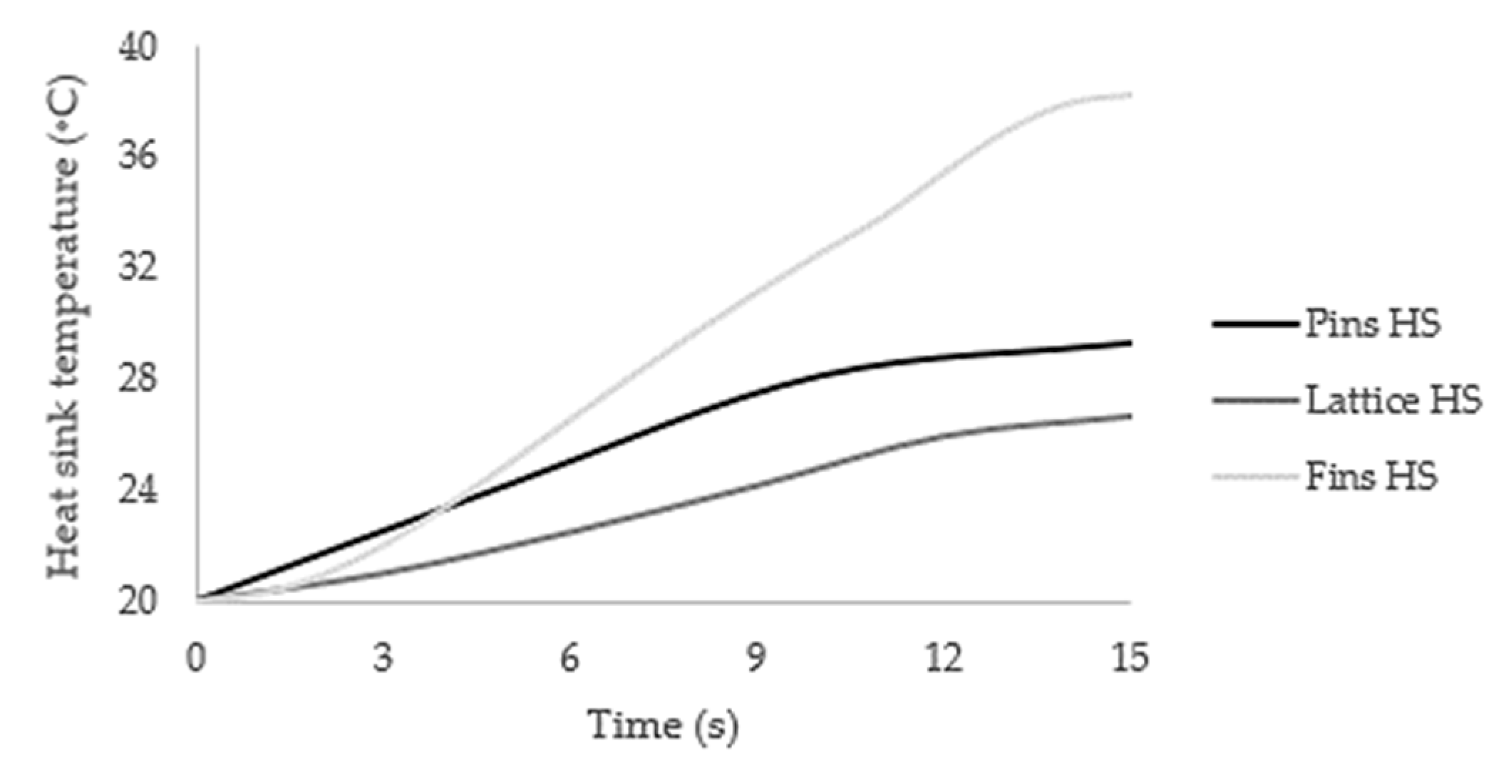
3.4. Fins vs. Pins vs. Lattice Heat Sink
4. Conclusions
Author Contributions
Funding
Institutional Review Board Statement
Informed Consent Statement
Data Availability Statement
Conflicts of Interest
Nomenclature
| q | Heat Flux Density (W·m2) |
| ρ | air density (kg·m−e) |
| thermal gradient in direction n (K·m−1) | |
| t | time (s) |
| A | heat transfer area (m2) |
| velocity vector (m/s) | |
| P | air pressure (Pa) |
| R | thermal resistance (K·W−1) |
| Tf | fluid temperature (K) |
| μ | air viscosity (kg·m−1·s−1) |
| Cp | Specific Heat Capacity (J·kg−1·K−1) |
| Ϗ | turbulence kinetic energy (J·kg) |
| ∆T | difference between the minimum temperature of the HS and the fluid temperature at the inlet (K) |
| Qheat | total heat applied at the base of the HS (W) |
| h | convective heat transfer coefficient (W·m−2·K−1) |
| k | thermal conductivity (W·m−1·K−1) |
| Ts | HS surface temperature (K) |
| Ti | inlet air temperature (K) |
| σϏ | turbulent Prandtl number for Ϗ |
| σε | turbulent Prandtl numbers for ε |
| Acronyms | |
| CFD | Computational Fluid Dynamics |
| DOE | Design of experiments |
| HS | Heat sink |
References
- Dede, E.M.; Joshi, S.N.; Zhou, F. Topology Optimization, Additive Layer Manufacturing, and Experimental Testing of an Air-Cooled Heat Sink. J. Mech. Des. Trans. ASME 2015, 137, 11. [Google Scholar] [CrossRef]
- Brindley, K. Newnes Electronics Assembly Handbook, 1st ed.; Heinemann Newnes: Manchester, UK, 1990; ISBN 0 434 90203 9. [Google Scholar]
- Fowler, K.R.; Silver, C.L. Developing and Managing Embedded Systems and Products: Methods, Techniques, Tools, Processes, and Teamwork, 1st ed.; Fowler, K., Ed.; Newnes: Boston, MA, USA, 2014; ISBN 9780124058637. [Google Scholar]
- Wilson, P. The Circuit Designer’s Companion, 4th ed.; Elsevier Ltd.: London, UK, 2017; ISBN 9780081017647. [Google Scholar]
- Otake, S.; Tateishi, Y.; Gohara, H.; Kato, R.; Ikeda, Y.; Parque, V.; Faiz, M.K.; Yoshida, M.; Miyashita, T. Heatsink design using spiral-fins considering additive manufacturing. In Proceedings of the 2019 International Conference on Electronics Packaging (ICEP), Niigata, Japan, 17–20 April 2019; Volume 175, pp. 46–51. [Google Scholar]
- Bergman, T.L.; Lavine, A.S.; Incropera, F.P.; Dewitt, D.P. Introduction to Heat Transfer, 6th ed.; Don Fowley: Hoboken, NJ, USA, 2011; ISBN 9788578110796. [Google Scholar]
- Wong, M.; Owen, I.; Sutcliffe, C.J.; Puri, A. Convective heat transfer and pressure losses across novel heat sinks fabricated by Selective Laser Melting. Int. J. Heat Mass Transf. 2009, 52, 281–288. [Google Scholar] [CrossRef]
- Mohamad Nor, N.H.; Ismail, M.H.; Abu Kasim, N.A.; Teng, W.D.; Idris, M.I.I. Magnesite effect to the alumina sintering for heat sink application. Appl. Mech. Mater. 2014, 465–466, 70–75. [Google Scholar]
- Seo, J.H.; Lee, M.Y. Illuminance and heat transfer characteristics of high power LED cooling system with heat sink filled with ferrofluid. Appl. Therm. Eng. 2018, 143, 438–449. [Google Scholar] [CrossRef]
- Baldry, M.; Timchenko, V.; Menictas, C. Optimal design of a natural convection heat sink for small thermoelectric cooling modules. Appl. Therm. Eng. 2019, 160, 114062. [Google Scholar] [CrossRef]
- Martínez-Maradiaga, D.; Damonte, A.; Manzo, A.; Haertel, J.H.K.; Engelbrecht, K. Design and testing of topology optimized heat sinks for a tablet. Int. J. Heat Mass Transf. 2019, 142, 118429. [Google Scholar] [CrossRef]
- Chinthavali, M.S.; Wang, Z.J. 30-kW All-SiC inverter with 3D-printed air-cooled heatsinks for plug-in and full electric vehicle applications. Mater. Sci. Forum 2018, 924, 845–848. [Google Scholar] [CrossRef]
- Chinthavali, M.; Ayers, C.; Campbell, S.; Wiles, R.; Ozpineci, B. A 10-kW SiC inverter with a novel printed metal power module with integrated cooling using additive manufacturing. In Proceedings of the 2014 IEEE Workshop on Wide Bandgap Power Devices and Applications, Knoxville, TN, USA, 13–15 October 2014; pp. 48–54. [Google Scholar] [CrossRef]
- Syed-Khaja, A.; Freire, A.P.; Kaestle, C.; Franke, J. Feasibility Investigations on Selective Laser Melting for the Development of Microchannel Cooling in Power Electronics. Proc. Electron. Compon. Technol. Conf. 2017, 1491–1496. [Google Scholar] [CrossRef]
- Collins, I.L.; Weibel, J.A.; Pan, L.; Garimella, S.V. A permeable-membrane microchannel heat sink made by additive manufacturing. Int. J. Heat Mass Transf. 2019, 131, 1174–1183. [Google Scholar] [CrossRef]
- Catchpole-Smith, S.; Sélo, R.R.J.; Davis, A.W.; Ashcroft, I.A.; Tuck, C.J.; Clare, A. Thermal Conductivity of TPMS Lattice Structures Manufactured via Laser Powder Bed Fusion. Addit. Manuf. 2019, 30, 1–9. [Google Scholar] [CrossRef]
- Vaissier, B.; Pernot, J.P.; Chougrani, L.; Véron, P. Parametric design of graded truss lattice structures for enhanced thermal dissipation. CAD Comput. Aided Des. 2019, 115, 1–12. [Google Scholar] [CrossRef]
- Han, Y.; Lu, W.F. A novel design method for nonuniform lattice structures based on topology optimization. J. Mech. Des. Trans. ASME 2018, 140, 1–10. [Google Scholar] [CrossRef]
- Lazarov, B.S.; Sigmund, O.; Meyer, K.E.; Alexandersen, J. Experimental validation of additively manufactured optimized shapes for passive cooling. Appl. Energy 2018, 226, 330–339. [Google Scholar] [CrossRef]
- Santhanakrishnan, M.S.; Tilford, T.; Bailey, C. Multi-Material Heatsink Design Using Level-Set Topology Optimization. IEEE Trans. Compon. Packag. Manuf. Technol. 2019, 9, 1504–1513. [Google Scholar] [CrossRef]
- Ansari, D.; Kim, K.Y. Hotspot management using a hybrid heat sink with stepped pin-fins. Numer. Heat Transf. Part A Appl. 2019, 75, 359–380. [Google Scholar] [CrossRef]
- Wits, W.W.; Jafari, D.; Jeggels, Y.; Van De Velde, S.; Jeggels, D.; Engelberts, N. Freeform-Optimized Shapes for Natural-Convection Cooling. Mater. Sci. 2018, 2018, 1–6. [Google Scholar]
- Wong, C.M.; Aziz, M.H.B.A.; Ong, N.R.; Alcain, J.B.; Sauli, Z. Variation in heat sink shape for thermal analysis. AIP Conf. Proc. 2017, 1885. [Google Scholar] [CrossRef]
- Abdelsalam, Y.O.; Alimohammadi, S.; Pelletier, Q.; Persoons, T. A multi-objective genetic algorithm optimisation of plate-fin heatsinks. In Proceedings of the 2017 23rd International Workshop on Thermal Investigations of ICs and Systems (THERMINIC), Amsterdam, The Netherlands, 27–29 September 201; pp. 1–6.
- Jonsson, H.; Moshfegh, B. Modeling of the Thermal and Hydraulic Performance of Plate Fin, Strip Fin, and Pin Fin Heat Sinks—Influence of Flow Bypass. IEEE Exp. 2001, 24, 142–149. [Google Scholar] [CrossRef]
- Kim, D.K. Thermal optimization of plate-fin heat sinks with fins of variable thickness under natural convection. Int. J. Heat Mass Transf. 2012, 55, 752–761. [Google Scholar] [CrossRef]
- Charles, R.; Wang, C.C. An optimized heat dissipation fin design applicable for natural convection augmentation (IMPACT 2014). In Proceedings of the 2014 9th International Microsystems, Packaging, Assembly and Circuits Technology Conference (IMPACT), Taipei, Taiwan,, 22–24 October 2014; pp. 61–64. [Google Scholar]
- Wong, K.C.; Indran, S. Impingement heat transfer of a plate fin heat sink with fillet profile. Int. J. Heat Mass Transf. 2013, 65, 1–9. [Google Scholar] [CrossRef]
- Jaffal, H.M. The Effect of Fin Design on Thermal Performance of Heat Sink. Univ. Baghdad Eng. J. 2017, 23, 123–146. [Google Scholar]
- Ibrahim, T.K.; Mohammed, M.N.; Mohammed, M.K.; Najafi, G.; Azwadi Che Sidik, N.; Basrawi, F.; Abdalla, A.N.; Hoseini, S.S. Experimental study on the effect of perforations shapes on vertical heated fins performance under forced convection heat transfer. Int. J. Heat Mass Transf. 2018, 118, 832–846. [Google Scholar] [CrossRef]
- Tijani, A.S.; Jaffri, N.B. Thermal analysis of perforated pin-fins heat sink under forced convection condition. Procedia Manuf. 2018, 24, 290–298. [Google Scholar] [CrossRef]
- Khan, W.A.; Culham, J.R.; Yovanovich, M.M. The role of fin geometry in heat sink performance. J. Electron. Packag. Trans. ASME 2006, 128, 324–330. [Google Scholar] [CrossRef]
- Kou, H.S.; Lee, J.J.; Lai, C.Y. Thermal analysis and optimum fin length of a heat sink. Heat Transf. Eng. 2003, 24, 18–29. [Google Scholar] [CrossRef]
- Kou, H.S.; Lee, J.J.; Chen, C.W. Optimum thermal analysis of a heat sink with various fin cross-sections by adjusting fin length and cross-section. Heat Transf. Eng. 2008, 29, 537–545. [Google Scholar] [CrossRef]
- Khan, W.A.; Culham, J.R.; Yovanovich, M.M. Modeling of cylindrical pin-fin heat sinks for electronic packaging. Annu. IEEE Semicond. Therm. Meas. Manag. Symp. 2005, 31, 125–134. [Google Scholar]
- Khan, W.A.; Culham, J.R.; Yovanovich, M.M. Optimization of pin-fin heat sinks in bypass flow using entropy generation minimization method. J. Electron. Packag. Trans. ASME 2008, 130, 0310101–0310107. [Google Scholar] [CrossRef]
- Zografos, A.I.; Sunderland, J.E. Numerical simulation of natural convection from pin fin arrays. Am. Soc. Mech. Eng. Heat Transf. Div. HTD 1990, 157, 55–61. [Google Scholar]
- Zhou, F.; Catton, I. Numerical evaluation of flow and heat transfer in plate-pin fin heat sinks with various pin cross-sections. Numer. Heat Transf. Part A Appl. 2011, 60, 107–128. [Google Scholar] [CrossRef]
- Sahiti, N.; Durst, F.; Geremia, P. Selection and optimization of pin cross-sections for electronics cooling. Appl. Therm. Eng. 2007, 27, 111–119. [Google Scholar] [CrossRef]
- Gururatana, S.; Li, X. Numerical simulation of heat sink performance with interrupted and staggered fins. In Proceedings of the ASME 2009 Heat Transfer Summer Conference collocated with the InterPACK09 and 3rd Energy Sustainability Conferences, San Francisco, CA, USA, 19–23 July 2009; Volume 1, pp. 989–996. [Google Scholar]
- Abdel-Rehim, Z.S. Optimization and thermal performance assessment of pin-fin heat sinks. Energy Sources Part A Recover. Util. Environ. Eff. 2009, 31, 51–65. [Google Scholar] [CrossRef]
- Yang, K.S.; Chu, W.H.; Chen, I.Y.; Wang, C.C. A comparative study of the airside performance of heat sinks having pin fin configurations. Int. J. Heat Mass Transf. 2007, 50, 4661–4667. [Google Scholar] [CrossRef]
- Ho, J.Y.; Wong, K.K.; Leong, K.C.; Wong, T.N. Convective heat transfer performance of airfoil heat sinks fabricated by selective laser melting. Int. J. Therm. Sci. 2017, 114, 213–228. [Google Scholar] [CrossRef]
- Khazaka, R.; Martineau, D.; Youssef, T.; Le, T.L.; Azzopardi, S. Direct Printing of Heat Sinks, Cases and Power Connectors on Insulated Substrate Using Selective Laser Melting Techniques. In Proceedings of the 2019 IEEE 69th Electronic Components and Technology Conference (ECTC), Las Vegas, NV, USA, 28–31 May 2019; pp. 2173–2179. [Google Scholar]
- Xia, G.; Chen, Z.; Cheng, L.; Ma, D.; Zhai, Y.; Yang, Y. Micro-PIV visualization and numerical simulation of flow and heat transfer in three micro pin-fin heat sinks. Int. J. Therm. Sci. 2017, 119, 9–23. [Google Scholar] [CrossRef]
- Wong, M.; Tsopanos, S.; Sutcliffe, C.J.; Owen, I. Selective laser melting of heat transfer devices. Rapid Prototyp. J. 2007, 13, 291–297. [Google Scholar] [CrossRef]
- Maji, A.; Bhanja, D.; Patowari, P.K. Effect of knurled fin surface on thermal performance of perforated fin heat sink. J. Thermophys. Heat Transf. 2019, 33, 580–598. [Google Scholar] [CrossRef]
- Ramphueiphad, S.; Bureerat, S. Synthesis of multiple cross-section pin fin heat sinks using multiobjective evolutionary algorithms. Int. J. Heat Mass Transf. 2018, 118, 462–470. [Google Scholar] [CrossRef]
- Gupta, D.; Saha, P.; Roy, S. Computational analysis of perforation effect on the thermo-hydraulic performance of micro pin-fin heat sink. Int. J. Therm. Sci. 2021, 163, 106857. [Google Scholar] [CrossRef]
- Sahel, D.; Bellahcene, L.; Yousfi, A.; Subasi, A. Numerical investigation and optimization of a heat sink having hemispherical pin fins. Int. Commun. Heat Mass Transf. 2021, 122, 105133. [Google Scholar] [CrossRef]
- Peles, Y.; Koşar, A.; Mishra, C.; Kuo, C.J.; Schneider, B. Forced convective heat transfer across a pin fin micro heat sink. Int. J. Heat Mass Transf. 2005, 48, 3615–3627. [Google Scholar] [CrossRef]
- Hatakeyama, T.; Ishizuka, M.; Kibushi, R. Experimental study on the performance of compact heat sink for LSI packages. In Proceedings of the 2012 7th International Microsystems, Packaging, Assembly and Circuits Technology Conference (IMPACT), Taipei, Taiwan, 24–26 October 2012; Volume 7, pp. 193–196. [Google Scholar]
- Gao, L.; Sun, S.; Zhao, Y.; Sun, Y. Thermostructural multiobjective optimization of a composite sandwich panel with lattice truss cores. Numer. Heat Transf. Part B Fundam. 2016, 70, 233–250. [Google Scholar] [CrossRef]
- Roper, C.S. Multiobjective optimization for design of multifunctional sandwich panel heat pipes with micro-architected truss cores. Int. J. Heat Fluid Flow 2011, 32, 239–248. [Google Scholar] [CrossRef]
- Ho, J.Y.; Leong, K.C.; Wong, T.N. Experimental and numerical investigation of forced convection heat transfer in porous lattice structures produced by selective laser melting. Int. J. Therm. Sci. 2019, 137, 276–287. [Google Scholar] [CrossRef]
- Bhattacharya, A.; Mahajan, R.L. Finned metal foam heat sinks for electronics cooling in forced convection. J. Electron. Packag. Trans. ASME 2002, 124, 155–163. [Google Scholar] [CrossRef]
- Billiet, M.; De Schampheleire, S.; Huisseune, H.; De Paepe, M. Influence of orientation and radiative heat transfer on aluminum foams in buoyancy-induced convection. Materials 2015, 8, 6792–6805. [Google Scholar] [CrossRef]
- Maloney, K.J.; Fink, K.D.; Schaedler, T.A.; Kolodziejska, J.A.; Jacobsen, A.J.; Roper, C.S. Multifunctional heat exchangers derived from three-dimensional micro-lattice structures. Int. J. Heat Mass Transf. 2012, 55, 2486–2493. [Google Scholar] [CrossRef]
- Cormier, Y.; Dupuis, P.; Jodoin, B.; Corbeil, A. Net shape fins for compact heat exchanger produced by cold spray. J. Therm. Spray Technol. 2013, 22, 1210–1221. [Google Scholar] [CrossRef]
- Son, K.N.; Weibel, J.A.; Kumaresan, V.; Garimella, S.V. Design of multifunctional lattice-frame materials for compact heat exchangers. Int. J. Heat Mass Transf. 2017, 115, 619–629. [Google Scholar] [CrossRef]
- Yan, H.B.; Zhang, Q.C.; Lu, T.J.; Kim, T. A lightweight X-type metallic lattice in single-phase forced convection. Int. J. Heat Mass Transf. 2015, 83, 273–283. [Google Scholar] [CrossRef]
- Hyun, S.; Torquato, S. Optimal and manufacturable two-dimensional, Kagomé-like cellular solids. J. Mater. Res. 2002, 17, 137–144. [Google Scholar] [CrossRef]
- Dixit, T.; Nithiarasu, P.; Kumar, S. Numerical evaluation of additively manufactured lattice architectures for heat sink applications. Int. J. Therm. Sci. 2021, 159, 106607. [Google Scholar] [CrossRef]
- Patankar, S.V. Calculation of the flow field. In Numerical Heat Transfer and Fluid Flow; Phillips, M.A., Millman, E.M., Eds.; Hemisphere Publishing Corporation: New York, NY, USA, 1980; pp. 113–138. ISBN 0-89116-522-3. [Google Scholar]
- Moukalled, F.; Mangani, L.; Darwish, M. The Finite Volume Method in Computational Fluid Dynamics; Thess, A., Moreau, R., Eds.; Springer: Cham, Switzerland, 2016; Volume 113, ISBN 9783319168739. [Google Scholar]
- Wu, T.; Ozpineci, B.; Ayers, C. Genetic algorithm design of a 3D printed heat sink. In Proceedings of the 2016 IEEE Applied Power Electronics Conference and Exposition (APEC), Long Beach, CA, USA, 20–24 March 2016; pp. 3529–3536. [Google Scholar]
- Tong, X.C. Thermal Management Fundamentals and Design Guides in Electronic Packaging. In Advanced Materials for Thermal Management of Electronic Packaging; Itoh, K., Lee, T., Sakurai, T., Sansen, W.M.C., Schmitt-Landsiedel, D., Eds.; Springer: New York, NY, USA, 2011; pp. 1–58. ISBN 9788578110796. [Google Scholar]
- Adewumi, O.O.; Bello-Ochende, T.; Meyer, J.P. Numerical Investigation into the Thermal Performance of Single Microchannels with Varying Axial Length and Different Shapes of Micro Pin-Fin Inserts. Heat Transf. Eng. 2017, 38, 1157–1170. [Google Scholar] [CrossRef]
- Launder, B.E.; Spalding, D.B. Lectures in Mathematical Models of Turbulence; Academic Press: London, UK, 1979; ISBN1 0124380506. ISBN2 9780124380509. [Google Scholar]
- John, T.J.; Mathew, B.; Hegab, H. Parametric study on the combined thermal and hydraulic performance of single phase micro pin-fin heat sinks part I: Square and circle geometries. Int. J. Therm. Sci. 2010, 49, 2177–2190. [Google Scholar] [CrossRef]
- Lin, S.C.; Chuang, F.S.; Chou, C.A. Experimental study of the heat sink assembly with oblique straight fins. Exp. Therm. Fluid Sci. 2005, 29, 591–600. [Google Scholar] [CrossRef]
- Tavassoli, B. Novel Heat Sink Design for Low Speed. Math. Problem Eng. 2000, 8, 16–20. [Google Scholar]
- Gu, S.; Lu, T.J.; Evans, A.G. On the design of two-dimensional cellular metals for combined heat dissipation and structural load capacity. Int. J. Heat Mass Transf. 2001, 44, 2163–2175. [Google Scholar] [CrossRef]


















| Property | Aluminium (Heat Sink) | Air (Fluid Domain) |
|---|---|---|
| Density (kg·m3) | 2719 | 1.225 |
| Specific heat (J·kg−1·°C−1) | 871 | 1006.43 |
| Thermal conductivity (W·m−1·°C−1) | 202.4 | 0.0242 |
| Viscosity (kg·m−1·s−1) | - | 1.7894 × 10−5 |
| Level | Fin Thickness (mm) | Fin Spacing (mm) | Inlet Velocity (m/s) | Heat Source Temperature (°C) |
|---|---|---|---|---|
| 1 | 1.5 | 2.0 | 0.7 | 80 |
| 2 | 2.5 | 3.5 | 2.1 | 90 |
| 3 | 3.5 | 5.0 | 3.5 | 100 |
| Level | Pin Diameter (mm) | Pins Spacing (mm) | Inlet Velocity(m/s) | Heat Source Temperature (°C) | Arrangement |
|---|---|---|---|---|---|
| 1 | 1.5 | 2.0 | 0.7 | 80 | In-line (1) |
| 2 | 2.5 | 3.5 | 2.1 | 90 | Staggered (2) |
| 3 | 3.5 | 5.0 | 3.5 | 100 | - |
| Simulation | Number of Fins | Heat Source Temperature (°C) | Velocity (m/s) | HS Temperature after 15 s (°C) |
|---|---|---|---|---|
| #1 | 14 | 80 | 0.7 | 52.2 |
| #2 | 6 | 80 | 2.11 | 56.4 |
| #3 | 8 | 80 | 3.51 | 54.1 |
| #4 | 7 | 90 | 0.7 | 61.9 |
| #5 | 11 | 90 | 2.11 | 57.7 |
| #6 | 8 | 90 | 3.51 | 60.5 |
| #7 | 7 | 100 | 0.7 | 68.6 |
| #8 | 10 | 100 | 2.11 | 63.5 |
| #9 | 9 | 100 | 3.51 | 65.3 |
| Simulation | Spacing (mm) | Heat Source Temperature (°C) | Velocity (m/s) | Pressure Drop (Pa) |
|---|---|---|---|---|
| #1 | 2 | 80 | 0.7 | 13.8 |
| #2 | 3.5 | 90 | 0.7 | 10.5 |
| #3 | 5 | 100 | 0.7 | 4.4 |
| #4 | 5 | 80 | 2.11 | 40.3 |
| #5 | 2 | 90 | 2.11 | 108.4 |
| #6 | 3.5 | 100 | 2.11 | 22.3 |
| #7 | 3.5 | 80 | 3.51 | 105.1 |
| #8 | 5 | 90 | 3.51 | 32.6 |
| #9 | 2 | 100 | 3.51 | 380.1 |
| Model | Total Area (cm2) | Front Area (cm2) | Volume (cm3) | HS Temperature after 15 sec (°C) | Pressure Drop (Pa) |
|---|---|---|---|---|---|
| A | 408.9 | 7.7 | 38.6 | 60.6 | 13.4 |
| B | 260.7 | 7.7 | 27.0 | 40.0 | 30.6 |
| C | 389.4 | 7.7 | 34.2 | 52.4 | 25.1 |
| D | 397.3 | 20.2 | 35.1 | 53.9 | 52.6 |
| E | 414.5 | 7.7 | 38.6 | 55.2 | 22.4 |
| F | 682.1 | 7.7 | 38.6 | 52.0 | 31.5 |
| G | 682.1 | 7.7 | 38.6 | 54.5 | 24.5 |
| Arrangement | Simulation | Spacing (mm) | Front Area (mm2) | Heat Source Temperature (°C) | Pressure Drop (Pa) |
|---|---|---|---|---|---|
| In line | #1 | 3.5 | 13.4 | 80 | 289.7 |
| #2 | 5 | 10.2 | 90 | 167.1 | |
| #3 | 2 | 16.6 | 100 | 776.9 | |
| Staggered | #4 | 3.5 | 11.4 | 80 | 170.7 |
| #5 | 5 | 7.7 | 90 | 116.0 | |
| #6 | 2 | 11.8 | 100 | 441.1 |
| Model | Nr of Pins | Total Area (cm2) | Front Area (cm2) | Volume (cm3) | HS Temperature after 15 s (°C) | Pressure Drop (Pa) |
|---|---|---|---|---|---|---|
| H | 60 | 162.7 | 7.7 | 16.1 | 36.0 | 116.0 |
| I | 52 | 165.8 | 6.4 | 16.2 | 38.4 | 57.2 |
| J | 53 | 168.4 | 9.6 | 16.3 | 38.0 | 203.8 |
| K | 52 | 178.1 | 8.1 | 16.7 | 39.1 | 60.4 |
| L | 52 | 178.1 | 8.1 | 16.7 | 42.9 | 95.1 |
| M | 46 | 159.6 | 9.0 | 16.0 | 50.4 | 96.9 |
| N | 46 | 159.6 | 9.0 | 16.0 | 44.1 | 91.5 |
| O | 52 | 185.4 | 6.6 | 16.9 | 49.3 | 56.2 |
| Model | Nr of Pins | Total Area (cm2) | Front Area (cm2) | Volume (cm3) | HS Temperature after 15 s (°C) | Pressure Drop (Pa) |
|---|---|---|---|---|---|---|
| H | 60 | 162.7 | 7.7 | 16.1 | 36.0 | 116.0 |
| I | 52 | 165.8 | 6.4 | 16.2 | 38.4 | 57.2 |
| I1 | 60 | 186.1 | 6.4 | 16.9 | 38.3 | 59.1 |
| J | 53 | 168.4 | 9.6 | 16.3 | 38.0 | 203.8 |
| Model | Total Area (cm2) | Front Area (cm2) | Volume (cm3) | HS Temperature after 15 s (°C) | Pressure Drop (Pa) |
|---|---|---|---|---|---|
| X-type | 187.9 | 31.3 | 16.8 | 39.2 | 108.1 |
| Hexagon | 243.7 | 41.1 | 19.2 | 26.7 | 161.2 |
| Snow Flake | 283.9 | 41.0 | 20.6 | 33.7 | 137.2 |
| Model | Total Are (cm2) | Front Area (cm2) | Volume (cm3) | Total Area to Volume Ratio | HS Temperature after 15 s (°C) | Pressure Drop (Pa) |
|---|---|---|---|---|---|---|
| Fins | 255.9 | 7.7 | 25.1 | 10.2 | 36.9 | 50.2 |
| Pins | 173.0 | 7.3 | 15.6 | 11.1 | 29.4 | 61.1 |
| Lattice | 243.7 | 41.1 | 19.2 | 12.7 | 26.7 | 161.2 |
Publisher’s Note: MDPI stays neutral with regard to jurisdictional claims in published maps and institutional affiliations. |
© 2021 by the authors. Licensee MDPI, Basel, Switzerland. This article is an open access article distributed under the terms and conditions of the Creative Commons Attribution (CC BY) license (https://creativecommons.org/licenses/by/4.0/).
Share and Cite
Silva, E.C.; Sampaio, Á.M.; Pontes, A.J. Evaluation of Active Heat Sinks Design under Forced Convection—Effect of Geometric and Boundary Parameters. Materials 2021, 14, 2041. https://doi.org/10.3390/ma14082041
Silva EC, Sampaio ÁM, Pontes AJ. Evaluation of Active Heat Sinks Design under Forced Convection—Effect of Geometric and Boundary Parameters. Materials. 2021; 14(8):2041. https://doi.org/10.3390/ma14082041
Chicago/Turabian StyleSilva, Eva C., Álvaro M. Sampaio, and António J. Pontes. 2021. "Evaluation of Active Heat Sinks Design under Forced Convection—Effect of Geometric and Boundary Parameters" Materials 14, no. 8: 2041. https://doi.org/10.3390/ma14082041
APA StyleSilva, E. C., Sampaio, Á. M., & Pontes, A. J. (2021). Evaluation of Active Heat Sinks Design under Forced Convection—Effect of Geometric and Boundary Parameters. Materials, 14(8), 2041. https://doi.org/10.3390/ma14082041

