Can Finite Element Method Obtain SVET Current Densities Closer to True Localized Corrosion Rates?
Abstract
:1. Introduction
2. Materials and Methods
2.1. Samples
2.2. SVET
3. Simulation
3.1. Geometry
- Figure 3a shows an electrolyte that is split into two subdomains: a diffusion layer where the concentration gradients occur (see Figure 1b), hence with a much finer mesh size, and a bulk electrolyte with a coarser mesh size, where the concentration of the species is assumed to remain the same as their initial concentrations, (Table 1);
- Figure 3b shows a single electrolyte domain without a diffusion layer, such that there are no concentration gradients.
3.2. Theory and Governing Equations
3.3. Boundary Conditions
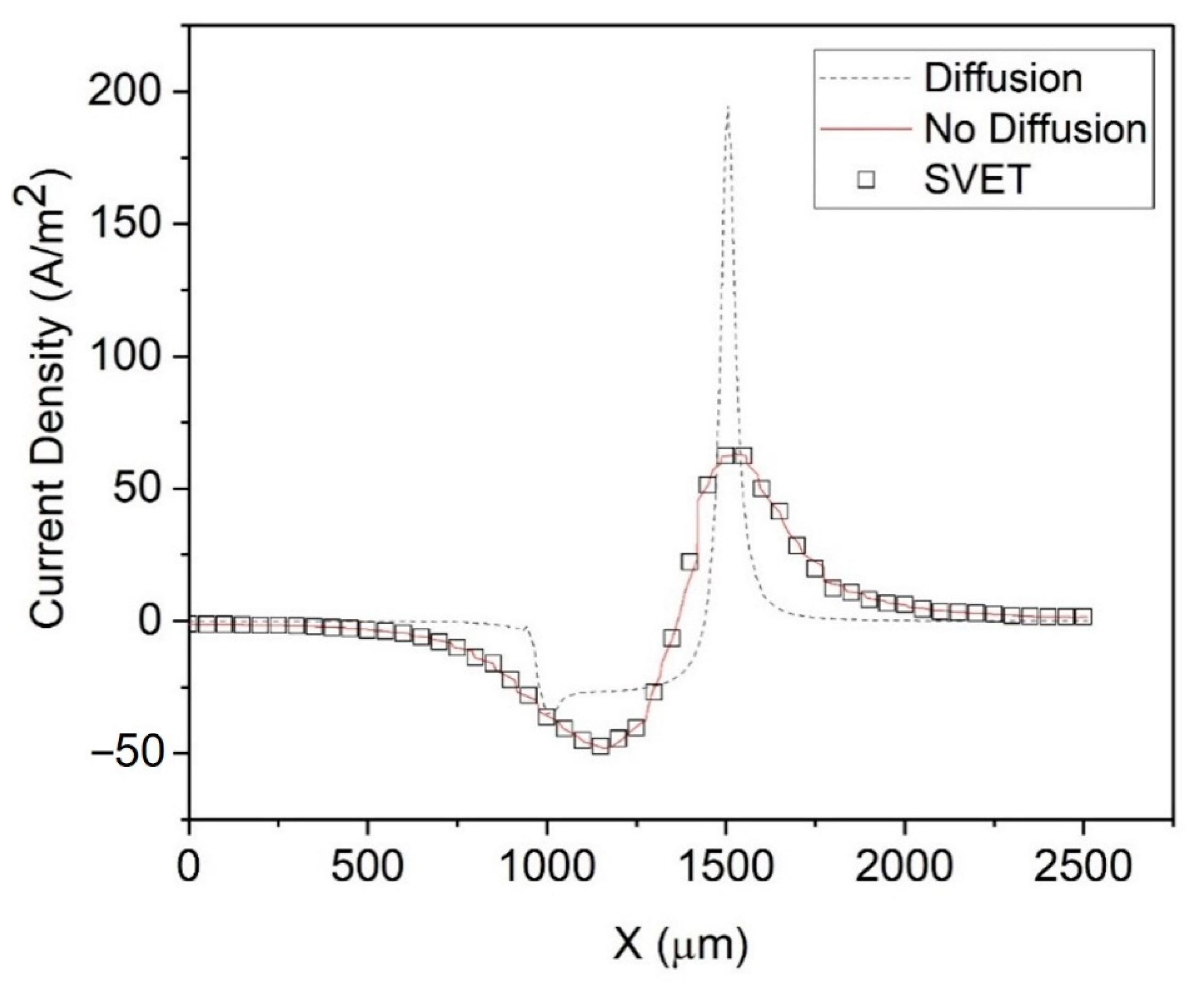
4. Results and Discussion
5. Conclusions
Author Contributions
Funding
Data Availability Statement
Conflicts of Interest
References
- Davies, P.W. Membrane potential and resistance of perfused skeletal muscle fibers with control of membrane current. Fed. Proc. 1966, 25, 332. [Google Scholar]
- Jaffe, L.F.; Nuccitelli, R. An Ultrasensitive Vibrating Probe for Measuring Steady Extracellular Currents. J. Cell Biol. 1974, 63, 614–628. [Google Scholar] [CrossRef] [PubMed]
- Isaacs, H.S.; Kissel, G. Surface Preparation and Pit Propagation in Stainless Steels. J. Electrochem. Soc. 1972, 119, 628. [Google Scholar] [CrossRef]
- Isaacs, H.S.; Ishikawa, Y. Current and Potential Transients During Localized Corrosion of Stainless Steel. Proc. Electrochem. Soc. 1985, 132, 1288. [Google Scholar] [CrossRef]
- Isaacs, H.S. Initiation of Stress Corrosion Cracking of Sensitized Type 304 Stainless Steel in Dilute Thiosulfate Solution. J. Electrochem. Soc. 1988, 135, 2180–2183. [Google Scholar] [CrossRef]
- Isaacs, H.S.; Huang, S.; Jovancicevic, V. Location of Corrosion on Iron and Carbon Steel Surfaces with Crevices. J. Electrochem. Soc. 1996, 143, L178–L180. [Google Scholar] [CrossRef]
- Bastos, A.C.; Quevedo, M.C.; Karavai, O.V.; Ferreira, M.G.S. Review—On the Application of the Scanning Vibrating Electrode Technique (SVET) to Corrosion Research. J. Electrochem. Soc. 2017, 164, C973–C990. [Google Scholar] [CrossRef]
- Thébault, F.; Vuillemin, B.; Oltra, R.; Ogle, K.; Allely, C. Investigation of self-healing mechanism on galvanized steels cut edges by coupling SVET and numerical modeling. Electrochim. Acta 2008, 53, 226–5234. [Google Scholar] [CrossRef]
- Thébault, F.; Vuillemin, B.; Oltra, R.; Allely, C.; Ogle, K. Protective mechanisms occurring on zinc coated steel cut-edges in immersion conditions. Electrochim. Acta 2011, 56, 8347–8357. [Google Scholar] [CrossRef]
- Thébault, F.; Vuillemin, B.; Oltra, R.; Allely, C.; Ogle, K. Modeling bimetallic corrosion under thin electrolyte films. Corros. Sci. 2011, 53, 201–207. [Google Scholar] [CrossRef]
- Deshpande, K.B. Validated numerical modelling of galvanic corrosion for couples: Magnesium alloy (AE44)-mild steel and AE44-aluminium alloy (AA6063) in brine solution. Corros. Sci. 2010, 52, 3514–3522. [Google Scholar] [CrossRef]
- Thébault, F.; Vuillemin, B.; Oltra, R.; Allely, C.; Ogle, K. Reliability of numerical models for simulating galvanic corrosion processes. Electrochim. Acta 2012, 82, 349–355. [Google Scholar] [CrossRef]
- Charles-Granville, U.E.; Marshall, R.S.; Moraes, C.V.; Glover, C.F.; Scully, J.R.; Kelly, R.G. Application of Finite Element Modeling to Macro-Galvanic Coupling of AA7050 and SS316: Validation Using the Scanning Vibrating Electrode Technique. J. Electrochem. Soc. 2022, 169, 031502. [Google Scholar] [CrossRef]
- Liu, C.; Kelly, R.G. A Review of the Application of Finite Element Method (FEM) to Localized Corrosion Modeling. Corrosion 2019, 75, 1285–1299. [Google Scholar] [CrossRef] [Green Version]
- Saeedikhani, M.; Blackwood, D.J. Finite Element Method for Thin Film Corrosion Modelling: Where We Advanced and Where We would like to Advance? Corros. Mater. Degrad. 2020, 1, 13. [Google Scholar] [CrossRef]
- Dolgikh, O.; Demeter, A.; Lamaka, S.V.; Taryba, M.; Bastos, A.C.; Quevedo, M.C.; Deconinck, J. Simulation of the role of vibration on Scanning Vibrating Electrode Technique measurements close to a disc in plane. Electrochim. Acta 2016, 203, 379–387. [Google Scholar] [CrossRef]
- Saeedikhani, M.; Wijesinghe, S.; Blackwood, D.J. Revisiting Corrosion Protection Mechanisms of a Steel Surface by Damaged Zinc-Rich Paints. Corrosion 2019, 75, 756–770. [Google Scholar] [CrossRef]
- Saeedikhani, M.; Wijesinghe, S.; Blackwood, D.J. Barrier and Sacrificial Protection Mechanisms of Zinc Rich Primers. Eng. J. 2019, 23, 223–233. [Google Scholar] [CrossRef]
- Saeedikhani, M.; Kuah, K.X.; Wijesinghe, S.; Vafakhah, S.; Blackwood, D.J. Electrochemical Modeling of Scanning Vibrating Electrode Technique on Scratched and Inclined Surfaces. J. Electrochem. Soc. 2021, 168, 081505. [Google Scholar] [CrossRef]
- Saeedikhani, M.; Wijesinghe, S.; Blackwood, D.J. Moving boundary simulation and mechanistic studies of the electrochemical corrosion protection by a damaged zinc coating. Corros. Sci. 2020, 163, 108296. [Google Scholar] [CrossRef]
- Saeedikhani, M.; Van den Steen, N.; Wijesinghe, S.; Vafakhah, S.; Terryn, H.; Blackwood, D.J. Moving Boundary Simulation of Iron-Zinc Sacrificial Corrosion under Dynamic Electrolyte Thickness Based on Real-Time Monitoring Data. J. Electrochem. Soc. 2020, 167, 041503. [Google Scholar] [CrossRef]
- Chen, S.; Tu, J.; Hu, Q.; Xiong, X.; Wu, J.; Zou, J.; Zeng, X. Corrosion resistance and in vitro bioactivity of Si-containing coating prepared on a biodegradable Mg-Zn-Ca bulk metallic glass by micro-arc oxidation. J. Non Cryst. Solids. 2017, 456, 125–131. [Google Scholar] [CrossRef]
- Shi, X.; Wang, Y.; Li, H.; Zhang, S.; Zhao, R.; Li, G.; Zhang, R.; Sheng, Y.; Cao, S.; Zhao, Y.; et al. Corrosion resistance and biocompatibility of calcium-containing coatings developed in near-neutral solutions containing phytic acid and phosphoric acid on AZ31B alloy. J. Alloys Compd. 2020, 823, 153721. [Google Scholar] [CrossRef]
- Templeton, J.; Jones, R.; Lee, J.; Zimmerman, J.; Wong, B. A Long-Range Electric Field Solver for Molecular Dynamics Based on Atomistic-to-Continuum Modeling. J. Chem. Theory Comput. 2011, 7, 1736–1749. [Google Scholar] [CrossRef]
- Radovanovic, M.; Tasic, Z.; Petrovic Mihajlovic, M.; Simonovic, A.; Antonijevic, M. Electrochemical and DFT studies of brass corrosion inhibition in 3% NaCl in the presence of environmentally friendly compounds. Sci. Rep. 2019, 9, 16081. [Google Scholar] [CrossRef] [Green Version]







| Name | Value | Name | Value | 
|---|---|---|---|
| 60 | 1.23 × 10–9 | ||
| 60 | 1.19 × 10–9 | ||
| 0.23 | 1.96 × 10–9 | ||
| 1.31 × 10–2 | 1.91 × 10–9 | ||
| 3 × 10–8 | 5.3 × 10–9 | ||
| 3 × 10–7 | 9.3 × 10–9 | ||
| 3 × 10–11 | 0.92 × 10–9 | ||
| 1 × 10–6 | 1.19 × 10–9 | ||
| , , | 0 | ,, , | 0.7 × 10–9 | 
| 2.5 × 10–3 | 2 × 10–8 | ||
| 0.15 | 0.40 | 
| Publisher’s Note: MDPI stays neutral with regard to jurisdictional claims in published maps and institutional affiliations. | 
© 2022 by the authors. Licensee MDPI, Basel, Switzerland. This article is an open access article distributed under the terms and conditions of the Creative Commons Attribution (CC BY) license (https://creativecommons.org/licenses/by/4.0/).
Share and Cite
Saeedikhani, M.; Vafakhah, S.; Blackwood, D.J. Can Finite Element Method Obtain SVET Current Densities Closer to True Localized Corrosion Rates? Materials 2022, 15, 3764. https://doi.org/10.3390/ma15113764
Saeedikhani M, Vafakhah S, Blackwood DJ. Can Finite Element Method Obtain SVET Current Densities Closer to True Localized Corrosion Rates? Materials. 2022; 15(11):3764. https://doi.org/10.3390/ma15113764
Chicago/Turabian StyleSaeedikhani, Mohsen, Sareh Vafakhah, and Daniel J. Blackwood. 2022. "Can Finite Element Method Obtain SVET Current Densities Closer to True Localized Corrosion Rates?" Materials 15, no. 11: 3764. https://doi.org/10.3390/ma15113764
APA StyleSaeedikhani, M., Vafakhah, S., & Blackwood, D. J. (2022). Can Finite Element Method Obtain SVET Current Densities Closer to True Localized Corrosion Rates? Materials, 15(11), 3764. https://doi.org/10.3390/ma15113764
 
         
                                                


 
       