Next Article in Journal
Effect of Preheating Temperature on Geometry and Mechanical Properties of Laser Cladding-Based Stellite 6/WC Coating
Next Article in Special Issue
Special Issue: Corrosion Properties and Mechanism of Steels
Previous Article in Journal
Effect of Laser Peening on Microstructural Changes in GTA-Welded 304L Stainless Steel
Previous Article in Special Issue
Corrosion Damage to Joints of Lattice Towers Designed from Weathering Steels
 
 
Font Type:
Arial Georgia Verdana
Font Size:
Aa Aa Aa
Line Spacing:
Column Width:
Background:
Article

Effect of Sulfate Ions on Galvanized Post-Tensioned Steel Corrosion in Alkaline Solutions and the Interaction with Other Ions

Departamento de Ingeniería Civil, Construcción, E.T.S de Ingenieros de Caminos, Canales y Puertos, Universidad Politécnica de Madrid, c/Profesor Aranguren 3, 28040 Madrid, Spain
*
Author to whom correspondence should be addressed.
Materials 2022, 15(11), 3950; https://doi.org/10.3390/ma15113950
Submission received: 22 April 2022 / Revised: 18 May 2022 / Accepted: 24 May 2022 / Published: 1 June 2022
(This article belongs to the Special Issue Corrosion Properties and Mechanism of Steels)

Abstract

Zinc protection of galvanized steel is initially dissolved in alkaline solutions. However, a passive layer is formed over time which protects the steel from corrosion. The behavior of galvanized steel exposed to strong alkaline solutions (pH values of 12.7) with a fixed concentration of sulfate ions of 0.04 M is studied here. Electrochemical measurement techniques such as corrosion potential, linear polarization resistance and electrochemical impedance spectroscopy are used. Synergistic effects of sulfate ions are also studied together with other anions such as chloride Cl or bicarbonate ion HCO3 and with other cations such as calcium Ca2+, ammonium NH4+ and magnesium Mg2+. The presence of sulfate ions can also depassivate the steel, leading to a corrosion current density of 0.3 µA/cm2 at the end of the test. The presence of other ions in the solution increases this effect. The increase in corrosion current density caused by cations and anions corresponds to the following orders (greater to lesser influence): NH4+ > Ca2+ > Mg2+ and HCO3 > Cl > SO42−.

1. Introduction

The phenomenon of corrosion usually causes more severe damage to prestressed steel structures than to conventional reinforced concrete structures. Protection of prestressed galvanized steel wires is ensured by injecting alkaline grout into polyethylene ducts covering the strands. However, in areas not protected by these ducts, in deteriorated places, or in areas with insufficient grout, corrosion phenomena can occur. Accumulation in these areas of water contaminated with aggressive ions coming from the atmosphere, marine environments, with decomposition products of organic matter can cause corrosion of these wires and failures in the post-tensioned strands.
Galvanizing protects steel through two mechanisms. Firstly, it creates a physical barrier that isolates it and acts as a sacrificial anode. In addition, corrosion products create a second protective barrier. The behavior of zinc in alkaline media has already been considered in the literature [1,2,3]. Zinc in contact with the alkaline matrix of cement in its fresh state shows temporary chemical instability. High pH values of the aqueous phase inside concrete pores, usually above 12.5, cause zinc oxidation. The cathodic reaction is associated with water hydrolysis and generates hydrogen on the galvanized surface, according to Equation (1).
2 H 2 O + 2 e 2 OH + H 2 g
The possible transformation of molecular hydrogen into physically adsorbed atomic hydrogen, proposed by Riecke [4], increases the risk of hydrogen embrittlement in galvanized post-tensioned steel.
A Pourbaix diagram of zinc indicates that, at a pH value around 12, it forms an insoluble oxide layer of ZnO/Zn(OH)2 more stable than the oxide layer formed at pH 13. With high alkalinities, Zn has an amphoteric behavior, forming soluble ions Zn(OH)3 and Zn(OH)42− [5]. Formation of Zn(OH)2 leads to hydrogen formation [6]:
Zn + 2 H 2 O Zn ( OH ) 2 + H 2 g
The risk of corrosion in an alkaline medium and in the presence of calcium ions can be limited due to the formation of a passive layer of calcium hydroxyzincate Ca(Zn(OH)3)2 · 2H2O, which is stable and protective. Some authors [7,8] have identified a value of pH 13.3 ± 0.1 as the limit for the passivation of galvanized steel. At a lower value of pH than 13.3, Ca(Zn(OH)3)2 · 2H2O crystals are small enough to form a thin, homogeneous and stable layer on the surface of the steel capable of keeping it passive. At a higher value of pH than 13.3 and when the calcium content is low, the size of the crystals increases, making it difficult to cover the entire surface of the galvanized steel. In this case, large, isolated Ca(Zn(OH)3)2 crystals that do not passivate galvanized steel are formed.
Other works [9] have studied the behavior of galvanized steel as a function of pH in the absence of Ca2+ ions. In the range of 12 < pH < 12.8, the galvanized layer dissolves at a slow speed. In the range of 12.8 < pH < 13.3, the galvanized layer is capable of being covered with a protective layer that insulates it. However, at pH > 12.8 ± 0.1, hydrogen release occurs. At a value of pH > 13.3, the galvanizing layer dissolves completely. It is worth noting that the role of sulfate ions in the corrosion of galvanized steel has been less studied. Acha [10] studied stress corrosion of prestressed steel immersed in saturated solutions of Ca(OH)2 with five concentrations of sulfate ions at various values of pH (0.01 M SO42 at a pH of 12.1; 0.025 M SO42 at a pH of 12.2; 0.05 M SO42 at a pH of 12.4; 0.1 M and 0.2 M SO42 at a pH of 12.85). Results showed a limiting sulfate concentration between 0.025 (pH = 12.2) and 0.05 (pH = 12.4). Above this limit, the steel surface presented severe localized corrosion, and below this concentration limit, the steel remained passive. Liu et al. [11] also showed that a sulfate concentration of between 0.02 and 0.03 mol/L, in a saturated solution of Ca(OH)2, produced steel corrosion.
Therefore, corrosion of prestressed steel in the presence of sulfates depends on the sulphate ion concentration in the solution and on the pH. Carsana and Bertolini [12] identified a pH dependence on the anodic behavior of steel in sulphate solutions for the corrosion of the steel. Acha’s thesis also addressed the effect of bicarbonate ions (0.05 M concentration combined with pH = 11 and 0.1 M concentration with pH = 8.2) and of carbonate ions (CO32−) in saturated solutions of Ca(OH)2. In both cases, current density reaches values lower than 0.2 µA/cm2 after 45 days. These ions do not cause corrosion problems in prestressed steel.
In alkaline media and in the presence of carbonates, the most common corrosion product is hydrozincite (Zn5(CO3)2(OH)6) [13,14], and in the presence of sulfates, zinc hydroxysulfate (Zn4(SO4)(OH)6 · 3H2O). After galvanized steel exposure to marine environments, the formation of a passive layer of hexagonal crystals of simonkolleite Zn5Cl2(OH)8 · H2O, and zincite ZnO has been identified as the main corrosion product. Simonkolleite is formed after hydrozincite, both being white crystalline compounds. Later, a more protective layer of gordaite NaZn4Cl(OH)6SO4 · 6H2O can be formed by incorporation of sulfate and sodium ions in the crystalline structure of simonkolleite. Soluble compounds such as ZnCl2 and ZnSO4 have also been identified in marine environments [13,15,16,17,18,19].
Xu et al. [20] studied the effect of cations from different sulfate salts (MgSO4, (NH4)2SO4, Na2SO4, CaSO4) added in a fixed concentration of 0.01 mol/l. The corrosion study was carried out in saturated calcium hydroxide solutions. Solutions of magnesium sulfate and ammonium sulfate showed higher rates of corrosion than solution with sodium sulfate. Solution pH was lowered with the addition of ammonium sulfate and magnesium sulfate. Neupane et al. [21] studied the effect of NH4+, Na+, and Mg2+ cations on the corrosion of galvanized steel. Solutions of (NH4)2SO4, Na2SO4 and MgSO4 0.5 M were prepared in distilled water. The increase in corrosion current density caused by cations and anions corresponds to the following order (greater to lesser influence): Na+ > NH4+ > Mg2+. Magnesium ions form finer, more compact and less porous corrosion products than the other salts.
There are numerous studies on the influence of potentially aggressive ions on the corrosion of galvanized steel. The results obtained show that the critical concentrations for each ion are often determined by the pH value of the solution. However, the effect that the joint presence of two or more potentially aggressive ions generates has not yet been determined.
In the present work, we studied the effect of sulfate ions on galvanized steel in alkaline solution and the synergistic effect of sulfate ions with various cations and anions found in seawater or marine environments (Ca2+, NH4+, HCO3, Mg2+ and Cl), or in the atmosphere, and their influence on the corrosion of the galvanized steel wires.

2. Experimental Work

2.1. Solutions

Concentrations of different ions were used, based on those obtained in real solutions produced by the action of rainwater together with degradation processes of living beings’ waste. Table 1 indicates the ionic composition of six synthetic solutions prepared from the following salts: Na2SO4, Ca(OH)2, NH4COOH, NaHCO3, Mg(COOH)2 and NaCl. Solution pH was set at 12.7 by adjusting with NaOH 2M. The main component was the sulfate ion, followed by magnesium, chloride and ammonium. Ions were introduced incrementally in order to determine which ones were responsible for corrosion initiation.

2.2. Corrosion Electrochemical Cells

Electrochemical cells were made in polypropylene bottles using a three-electrode system (Figure 1). A Ag/AgCl electrode was used as a reference electrode. Stainless steel mesh was used as a counter electrode and galvanized wire (nominal diameter of 0.519 cm) as a working electrode. Galvanized wires were cleaned with alcohol. Adhesive tape was used for limiting an exposed attack area of 4891 cm2. To avoid carbonation, the solution was covered with a liquid paraffin layer.

2.3. Techniques

2.3.1. Electrochemical Tests

Electrochemical tests were carried out with an Autolab PGSTAT 204 potentiostat/galvanostat from MetrohmAutolab BV®. NOVA 2.4.1 software with FRA 32 impedance module (Figure 1) was used. Linear polarization resistance (LPR) and electrochemical impedance spectroscopy (EIS) were also used. The LPR method was used to determine the instantaneous corrosion rate [22,23]. Measurement was carried out by applying a polarization scan from −20 mV to 20 mV around the open circuit potential (OCP) at a sweep rate of 0.1667 mV/s. Ohmic drop ( R Ω ) obtained by an electrochemical impedance technique is then subtracted from this resistance. Therefore, charge transfer resistance between zinc surface and solution ( R p ) (Equation (3)) is calculated as:
R p = R p   LPR R Ω   EIS
Corrosion current density (Icorr) was obtained from the polarization resistance (Rp) calculated as the slope of the polarization resistance curve around the corrosion potential according to the Stern and Geary relationship (Equation (4)) [24] with parameter B = 13 [8,25,26,27] and the procedure proposed in UNE 112072 standard [22].
I corr =   B · 1 R p · A
Impedance measurements (EIS) were carried out by potentiostatic control in a frequency range between 10 mHz and 100 Khz, taking 10 points per decade. Amplitude of the input AC voltage signal was ±10 Mv (rms). This technique consists of taking measurements by applying a small signal of alternating current and constant voltage to a working electrode, making frequency sweeps of the applied signal [25,26,28].

2.3.2. Electron Microscopy SEM/EDS

At the end of the tests, the steel was extracted from the solution and dried in an oven at 40 °C for a week. Surface morphology was then observed using electron microscopy SEM/EDS. The attacked zone of the galvanized steel was observed by scanning electron microscope. A JEOL 6400 JSM microscope with EDS analysis was used with a resolution of 133 eV.

2.3.3. Optical Microscopy

In addition, an OLYMPUS SZX7 optical microscope with an OLYMPUS SC50 camera was used to characterize and observe the surface of wires after exposure to the corresponding solutions.

3. Results and Discussion

3.1. LPR Results

Figure 2 shows polarization resistance curves resulting from LPR measurements at the end of the test. Curves show the cathodic and anodic branches and corrosion potential. All zinc wires showed their potentials with an intermediate corrosion probability (Ecorr > −332 mV) except for Solution 4, which produced somewhat higher values.
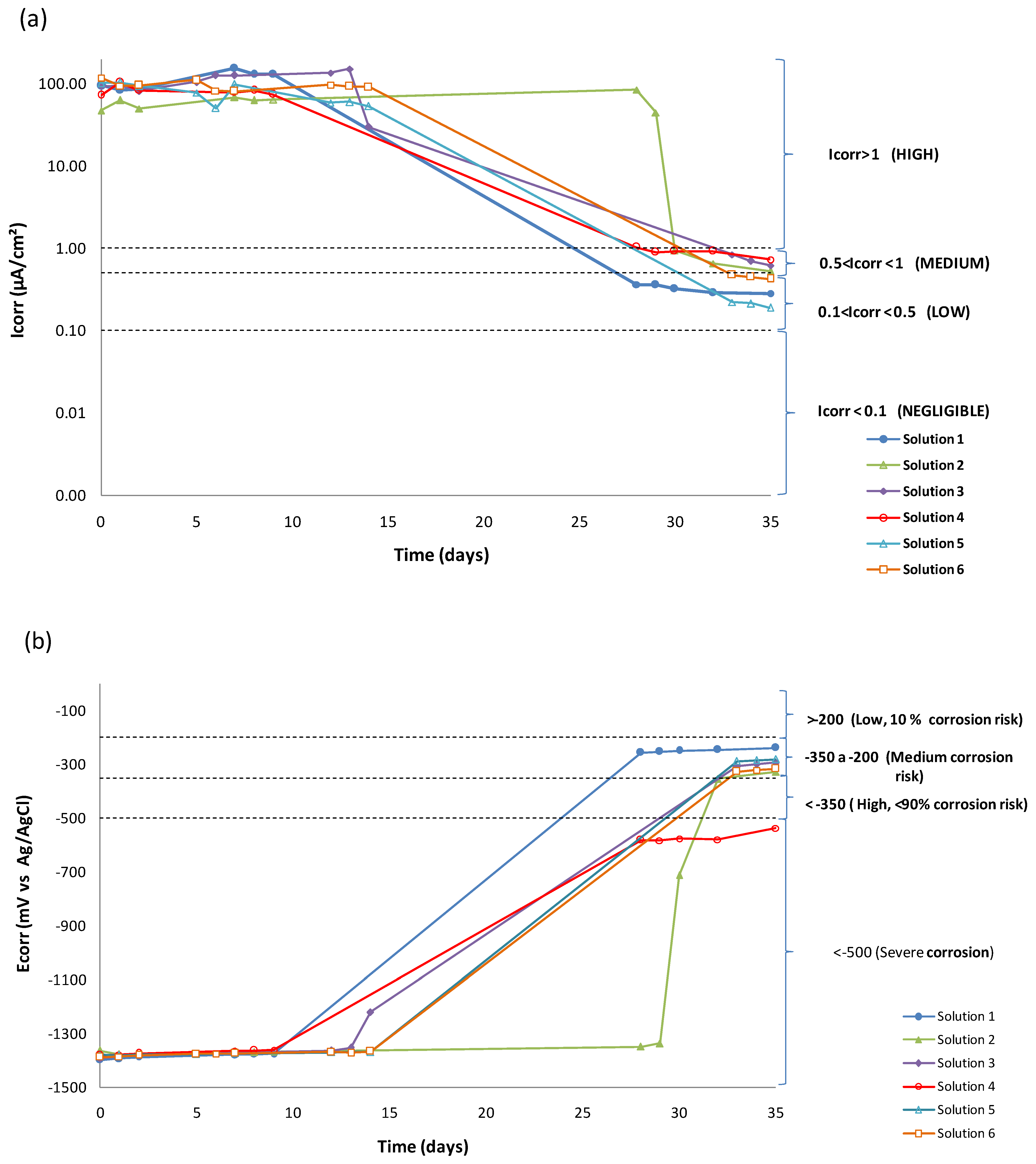
Table 2 shows values obtained for Ecorr, Rp and Icorr of all synthetic solutions made during the entire test period. Wires evolve from high corrosion risk to less electronegative potentials. Figure 3 shows evolution in time of Icorr and Ecorr of the wires.
Starting point results were very electronegative for all solutions (–1.4 V) and showed corrosion current densities around 100 µA/cm2. After 35 days of testing, the potential increased to less electronegative values, higher than −0.3 V (except for Solution 4). Corrosion current density decreased to 0.5 µA/cm2. These values of Ecorr were also recorded in other works. In particular, at a pH value of 13, Zn is actively dissolved, giving rise to a soluble phase of Zn(OH)42− in the potential range between −1.35 to −1.45 VSCE [29]. The corrosion current density decreases until they reach values between 0.1 and 1 µA/cm2.
The solution containing only sulfate ions SO42− (Solution 1) begins with active Icorr (97.24 µA/cm2) and a fairly electronegative Ecorr (−1.4 V). Initial values recorded for Ecorr and Icorr indicate that the galvanized layer upon contact with the alkaline medium dissolves anodically, with consequent evolution of hydrogen on the galvanized surface [6,7]. After ten days of testing, these electrochemical parameters changed. The wire became covered with a passive layer and the hydrogen evolution process slowed down. Icorr values decreased and reached 0.28 µA/cm2 by the end of the test. This value is within the limits representing a low corrosion state ( 0.1 > Icorr < 0.5   μ A / cm 2 ) , as has also been shown in other works [10,12,25] that a passive layer is formed over time. This layer is capable of reducing the initial corrosion current density. This passive layer could be Zn4(SO4)(OH)6 · 3H2O [1] in the absence of Ca2+ ions.
According to Acha [10] and Liu [11], 0.04 M sulfate ions in saturated Ca(OH)2 with a pH value of 12.4 should behave as depassivating ions. An increase of 0.3 units of pH in the presence of sulfates is not enough to passivate the steel. Vigneshwaran et al. [30] considered fixed amounts of sulfate ions of 2000 and 20,000 ppm (0.02 and 0.2 M respectively) to study carbon steel corrosion at pH values of 12.6 and 13.3, respectively. While steel corrodes at a pH of 12.6, at a pH of 13.3 the passive layer is not destabilized. Variation of just one-tenth in the pH value (12.7 vs. 12.6) changes the sulfate ion aggressiveness. With a sulfate ion, the steel is passivated. The corrosion ability of the sulfate ion depends on the pH and the type of steel.
When Ca2+ ions (Solution 2) were added to sulfate solution, the initial Icorr value of 47.26 µA/cm2 was half of the Icorr value from Solution 1 and was the lowest value of all solutions. This initial corrosion decreased over time. However, it did so more slowly than in the rest of the solutions. The wire did not reach even a moderate corrosion until the 30th day of testing. The Ca2+ concentration was 100 times lower than that of the sulfate solution. The initial concentration of dissolved sulfate decreased by half when precipitating as calcium sulfate. The passive layer on the surface of the steel in the presence of calcium could be different from the previous solution and represent a slower development. Some authors [7,8] identified a passive layer of calcium hydroxyzincate Ca(Zn(OH)3)2. They indicated a stability limit for this layer at a pH value of 13.3. Above this pH, the larger size of the crystals does not allow them to cover the entire surface of the steel. The Icorr value at the end of the test (0.53 µA/cm2) was within the limits that represent moderate corrosion ( 0.5 > Icorr < 1   μ A / cm 2 ) . At the studied pH, the presence of Ca2+ coating turned out to be less protective.
The protection of the wire in the presence of Ca2+ ions was modified when NH4+ ammonium ions were added to the solution (Solution 3). In the beginning, the Icorr (92.45 µA/cm2) was at least twice that of Solution 2 (47.26 µA/cm2) and was very similar to the sulfate solution. H Pan et al. [31] reported than the corrosion of NH4+ could be attributed to dissolution of the MgO inner layer and the Mg(OH)2 outer passive layer. A similar process could take place in the case of ZnO and of Zn(OH)2, increasing the initial corrosion rate. A higher ionic charge increased the solubility of calcium sulfate. The wire began to be covered by a passive layer after fifteen days of testing. The Icorr obtained after 35 days reached 0.62 µA/cm2, within the limits that represent a state of moderate corrosion ( 0.5 > Icorr < 1   μ A / cm 2 ) .
When bicarbonate was added (Solution 4), an initial Icorr value of 72.48 µA/cm2 was recorded. This was lower than the previous solution but higher than Solution 2. The solubility of zinc carbonate (1.4 · 10−11) is lower than that of calcium sulphate (≈9.1 · 10−6). Therefore, Zn ions could react with bicarbonate ions according to Equation (5) to produce corresponding carbonates with CO2 released [13], thereby removing sulfate ions from the solution.
Zn 2 + + 2 HCO 3 ZnCO 3 + H 2 O + CO 2
At the end of the test, the Icorr (0.73 µA/cm2) was the highest of the six solutions and it was within the limits that represent moderate corrosion with low tendency values ( 0.5 > Icorr < 1   μ A / cm 2 ) . The corrosion potential shifted to more negative values (−537 mV), which were the most electronegative of the six solutions. A passive film could be formed by hexagonal crystals of ZnCO3 and monoclinic crystals of hydrozincite Zn5(CO3)2(OH)6. This passive layer would be the least protective.
Subsequently, initial corrosion current density adding Mg2+ (Solution 5) was 102 µA/cm2. This was higher than previous solutions. After 15 days, the passive layer began to form. Icorr values after 35 days (0.19 µA/cm2) were within the limits of low corrosion state with a negligible tendency (   Icorr < 0.1   μ A / cm 2 ) . This corrosion current density was the lowest of all solutions, which means that any passive layer formed under these conditions would be the most protective. These results agree with those found by Neupane et al. [21]. They compared the dissolution effects of Na2SO4, NH4SO4 and MgSO4 on galvanized steel. They found that the corrosion rate in the presence of NH4+ ions is higher than with Mg2+ ions. However, if the pH of the solution is not buffered, the addition of magnesium and ammonium sulfate, accompanied by a decrease in the initial pH of the solution, causes an increase in the corrosion rate, as shown in the study by Xu [20].
Lastly, once the behavior of the wire in chloride-free media was known, its behavior in a medium contaminated with Cl (Solution 6) was studied. The initial value of Icorr was 119 µA/cm2, the highest of the six solutions, despite the fact that the concentration of this ion was lower than the sulfate ion solution. Icorr values at 35 days (0.42 µA/cm2) were higher than the corrosion of the sulfate solution. This was within the limits of low corrosion state with a negligible tendency. A passive layer of simonkolleite Zn5Cl2(OH)8 · H2O would thus be less protective than zinc hydroxysulfate (Zn4(SO4)(OH)6 · 3H2O.

3.2. EIS Results

As noted above, impedance measurement is useful to complete the Rp calculation in the linear polarization resistance (LPR) method. In addition, it enables the determination of resistance of the different parts that make up a system.
One of the key aspects of this technique as a tool to research the electrical and electrochemical properties of systems is the direct relationship between the real behavior of a system and that of a circuit made up of a set discrete component of electrical components, called an equivalent circuit. The most accurate circuit will be the one with the fewest possible time constants, which would provide a clear physical meaning [32]. Nyquist and Bode diagrams are obtained with their respective adjustments through the equivalent circuit to determine the values of each parameter that make up the system.
Figure 4 shows the Nyquist and Bode diagram obtained with the adjustment through the equivalent circuit for Solution 1. The equivalent circuit used in this study consisted of two constants connected in series with the resistance of the electrolyte (Figure 5). Elements of the circuit had the following physical meanings: Rs was related to the resistance of the electrolyte (solution). Upon the addition of bicarbonate ions (Solution 4), the Rs increased due to the greater presence of solid carbonate species in the solution; the first time constants, Rc and Cc, were attributed to the resistance of the passive film on the steel surface [33] and their capacitance. The second time constants, Rct and Cct, were related to the charge transfer resistance or mass transfer resistance. The latter was comparable to that obtained by the linear polarization resistance method (Rp). A constant phase element (Q) was used instead of a pure capacitance in the adjustment because of the heterogeneity of the layer on the surface of the wire [32,34]. From the Nyquist diagram, values can be seen corresponding to the high-frequency zone ( 1 · 10 5   Hz ), given by the diameter of the first semicircle. It corresponds to Rc and Cc. Rct and Cct correspond to the diameter of the second semicircle in the low-frequency zone (0.01 Hz).
Figure 6 and Figure 7 show the Nyquist diagrams with equivalent circuit adjustments resulting from study cases after 35 days. Parameters obtained from adjustments may be observed in Table 3. From the Nyquist diagrams, it is possible to confirm the beginning of the formation of a passive layer on the surface of the wire. It is also possible to observe the diameter of the second semicircle increasing.
The equivalent circuit used seems to be the correct one because it has the fewest possible time constants with clear physical meaning. The deviation (χ2) in all cases is less than 0.03. Charge-transfer resistance on the wire surface (Rct) is then compared (Table 4) with the obtained Rp through linear polarization resistance to validate the results obtained through EIS. Equivalence is maintained in all cases except for Solution 4. The percentage difference between both methods is less than 14%. Although the difference with Solution 4 is 24%, both magnitudes are equal, which represents a state of medium corrosion in both cases ( 0.5 > I corr < 1   μ A / cm 2 ) . Differences between outcomes are valid and are mainly attributed to the fact that LPR uses direct current while the EIS technique uses alternating current (sinusoidal disturbance of electric potential) of variable frequency to the studied material). The order of passive layer stability is confirmed by the two electrochemical techniques (Solution 5 < Solution 1 < Solution 6 < Solution 2 > Solution 3 > Solution 4).

3.3. Morphology of Steel Surface

Figure 8 shows images of different steel surfaces obtained by optical microscopy and SEM after electrochemical analysis in synthetic solutions. No traces of iron oxides are observed on the surface of the wires. The Solution 1 wire is homogeneously coated with prismatic crystals, possibly of Zn4(SO4)(OH)6 · 3H2O. The Solution 3 wire shows a distributed oxide layer, leaving large voids on the surface. The size and coating of the crystals in the rest of the wires varies. This can be attributed to insoluble crystalline products such as Zn5(CO3)2(OH)6, ZnCO3, Zn5Cl2(OH)8 · H2O, ZnO, or others with the ability to passivate galvanized steel to a greater or lesser extent [15]. Some areas of exposure are darker in color due to increased detachment of the zinc layer and oxidation of the steel.
Only one isolated white crystal of calcium hydroxyzincate Ca(Zn(OH)3)2 was found on the surface of the wire exposed to Solution 2. Due to the high pH of the solution, the crystal becomes larger and does not have the capacity to homogeneously coat the surface of the wire (Figure 9) [14]. By observing the SEM appearance of this crystal, it was possible to identify a totally different morphology from those observed on the surface of the other wires. Small crystallized threads can be observed.

4. Conclusions

Galvanized steel in contact with a strongly alkaline solution (pH = 12.7) and in the presence of sulfates dissolves anodically with corrosion potentials around −1.4 V and corrosion densities around 100 µA/cm2. Over time, the surface of the steel is covered with a protective layer, and the corrosion potential increases until values of −0.25 V are attained, with a corresponding decrease in corrosion current density to 0.3 µA/cm2, but greater than 0.1 µA/cm2 in all cases. Consequently, the presence of sulfate ions enables the depassivating of galvanized steel at highly alkaline levels of pH.
The presence of other anions and cations together with the sulfate ions keeps the corrosion process active. The nature of the passive layer depends on the ions present. Cations and anions studied here contribute to the increase in the corrosion current density of the sulfate ions. The magnitude of this increase follows the following orders: NH4+ > Ca2+ > Mg2+ and HCO3 > Cl > SO42−.
At a pH of 12.7, the hydroxyzincate crystal formed on the surface of the steel immersed in the solution of sulfate and calcium ions is large and occurs in isolation without the ability to cover the entire surface of the steel.

Author Contributions

Conceptualization, A.B. and A.M.; methodology, A.B., C.A., A.M. and J.C.G.; software, A.B.; validation, A.B., C.A. and A.M.; formal analysis, A.B. and C.A.; investigation, A.B. and C.A.; resources, A.B. and C.A.; data curation, C.A.; writing—original draft preparation, A.B. and C.A.; writing—review and editing, A.B., C.A., A.M. and J.C.G.; visualization, A.M.; supervision, A.M. and J.C.G.; project administration, A.M. and J.C.G. All authors have read and agreed to the published version of the manuscript.

Funding

This research was funded by the Ministry of Science and Innovation of Spain by means of the Research Fund Projects RTI2018-100962-B-100 and PID2019-108978RB-C31R.

Institutional Review Board Statement

Not applicable.

Informed Consent Statement

Not applicable.

Data Availability Statement

Not applicable.

Conflicts of Interest

The authors declare no conflict of interest.

References

  1. Powers, R.W.; Breiter, M.W. The anodic dissolution and passivation of zinc in concentrated potassium hydroxide solutions. J. Electrochem. Soc. 1969, 116, 719. [Google Scholar] [CrossRef]
  2. Thirsk, H.R.; Armstrong, R.D.; Bell, M.F. Electrochemistry; The Royal Society of Chemistry: London, UK, 1974; Volume 4, ISBN 978-0-85186-037-4. [Google Scholar]
  3. Muralidharan, V.S.; Rajagopalan, K.S. Kinetics and mechanism of passivation of zinc in dilute sodium hydroxide solutions. Br. Corros. J. 1979, 14, 231–234. [Google Scholar] [CrossRef]
  4. Riecke, E. Investigations on the influence of zinc on the corrosion behavior of high strength steels. Mater. Corros. 1979, 30, 619–631. [Google Scholar] [CrossRef]
  5. Parsons, R. Atlas of electrochemical equilibria in aqueous solutions. J. Electroanal. Chem. Interfacial Electrochem. 1967, 13, 471. [Google Scholar] [CrossRef]
  6. Recio, F.; Alonso, C.; Gaillet, L.; Sánchez Moreno, M. Hydrogen embrittlement risk of high strength galvanized steel in contact with alkaline media. Corros. Sci. 2011, 53, 2853–2860. [Google Scholar] [CrossRef]
  7. Macías, A.; Andrade, C. Corrosion rate of galvanized steel immersed in saturated solutions of Ca (OH)2 in the PH range 12–13.8. Br. Corros. J. 1983, 18, 82–87. [Google Scholar] [CrossRef]
  8. Blanco, M.T.; Andrade, C.; Macías, A. Estudio por SEM de los productos de corrosión de armaduras galvanizadas sumergidas en disoluciones de PH comprendido entre 12,6 y 13,6. Mater. Constr. 1984, 34, 55–66. [Google Scholar] [CrossRef][Green Version]
  9. Macías, A.; Andrade, C. Corrosion of galvanized steel in dilute Ca (OH)2 solutions (PH 11.1–12.6). Br. Corros. J. 1987, 22, 162–171. [Google Scholar] [CrossRef]
  10. Acha Hurtado, M. Corrosión Bajo Tensión de Alambres de Acero Pretensado en Medios Neutros con HCO3 y alcalinos con SO42−. Ph.D. Thesis, Universidad Complutense de Madrid, Madrid, Spain, October 1993; p. 321. [Google Scholar]
  11. Liu, G.; Zhang, Y.; Ni, Z.; Huang, R. Corrosion behavior of steel submitted to chloride and sulphate ions in simulated concrete pore solution. Constr. Build. Mater. 2016, 115, 1–5. [Google Scholar] [CrossRef]
  12. Bertolini, L.; Carsana, M.; High, P.H. Corrosion of Prestressing Steel in Segregated Grout. In Proceedings of the Modelling of Corroding Concrete Structures, Madrid, Spain, 22–23 November 2010; Andrade, C., Mancini, G., Eds.; Springer: Dordrecht, The Netherlands, 2011; pp. 147–158. [Google Scholar]
  13. Roventi, G.; Bellezze, T.; Barbaresi, E.; Fratesi, R. Effect of carbonation process on the passivating products of zinc in Ca(OH)2 Saturated Solution. Mater. Corros. 2013, 64, 1007–1014. [Google Scholar] [CrossRef]
  14. Farina, S.B.; Duffó, G.S. Corrosion of zinc in simulated carbonated concrete pore solutions. Electrochim. Acta 2007, 52, 5131–5139. [Google Scholar] [CrossRef]
  15. Zhu, F.; Persson, D.; Thierry, D.; Taxén, C. Formation of corrosion products on open and confined zinc surfaces exposed to periodic wet/dry conditions. Corrosion 2000, 56, 1256–1265. [Google Scholar] [CrossRef]
  16. Ramirez, E.; González, J.A.; Bautista, A. The protective efficiency of galvanizing against corrosion of steel in mortar and in Ca(OH)2 saturated solutions containing chlorides. Cem. Concr. Res. 1996, 26, 1525–1536. [Google Scholar] [CrossRef]
  17. Yadav, A.; Nishikata, A.; Tsuru, T. Degradation mechanism of galvanized steel in wet–dry cyclic environment containing chloride ions. Corros. Sci. 2004, 46, 361–376. [Google Scholar] [CrossRef]
  18. Liu, S.; Sun, H.; Sun, L.; Fan, H. Effects of PH and Cl concentration on corrosion behavior of the galvanized steel in simulated rust layer solution. Corros. Sci. 2012, 65, 520–527. [Google Scholar] [CrossRef]
  19. Persson, D.; Thierry, D.; Karlsson, O. Corrosion and corrosion products of hot dipped galvanized steel during long term atmospheric exposure at different sites world-wide. Corros. Sci. 2017, 126, 152–165. [Google Scholar] [CrossRef]
  20. Xu, P.; Jiang, L.; Guo, M.-Z.; Zha, J.; Chen, L.; Chen, C.; Xu, N. Influence of sulfate salt type on passive film of steel in simulated concrete pore solution. Constr. Build. Mater. 2019, 223, 352–359. [Google Scholar] [CrossRef]
  21. Neupane, S.; Hastuty, S.; Yadav, N.; Singh, N.; Gupta, D.K.; Yadav, B.; Singh, S.; Karki, N.; Kumari Das, A.; Subedi, V.; et al. Effects of NH4+, Na+, and Mg2+ ions on the corrosion behavior of galvanized steel in wet–dry cyclic conditions. Mater. Corros. 2021, 72, 1388–1395. [Google Scholar] [CrossRef]
  22. Metálicos, A. UNE 112072; Determinación de la Velocidad de Corrosión de Armaduras en Laboratorio Mediante Medida de la Resistencia a la Polarización; Asociación Española de Normalización: Madrid, Spain, 2011. [Google Scholar]
  23. Jones, D.A. Principles and Prevention of Corrosion; Prentice-Hall, Inc.: Hoboken, NJ, USA, 1996; ISBN -0-13-359993-0. [Google Scholar]
  24. Stern, M.; Geary, A.L. Electrochemical Polarization. J. Electrochem. Soc. 1957, 104, 56–63. [Google Scholar] [CrossRef]
  25. Andrade, C.; Alonso, C. Corrosion rate monitoring in the laboratory and on-site. Constr. Build. Mater. 1996, 10, 315–328. [Google Scholar] [CrossRef]
  26. Andrade, C.; Castelo, V.; Alonso, C.; González, J.A. The determination of the corrosion rate of steel embedded in concrete by the polarization resistance and AC impedance methods. Corros. Eff. Stray Curr. Tech. Eval. Corros. Rebars Concr. 1986. [Google Scholar] [CrossRef]
  27. González, J.A.; Albéniz, J.; Feliu, S. Valores de la constante B del método de resistencia de polarización para veinte sistemas metal-medio diferentes. Rev. Metal. 1996, 32, 10–17. [Google Scholar] [CrossRef][Green Version]
  28. Hladky, K.; Callow, L.M.; Dawson, J.L. Corrosion rates from impedance measurements: An introduction. Br. Corros. J. 1980, 15, 20–25. [Google Scholar] [CrossRef]
  29. Bonk, S.; Wicinski, M.; Hassel, A.W.; Stratmann, M. Electrochemical characterizations of precipitates formed on zinc in alkaline sulphate solution with increasing PH values. Electrochem. Commun. 2004, 6, 800–804. [Google Scholar] [CrossRef]
  30. Krishna Vigneshwaran, K.K.; Permeh, S.; Echeverría, M.; Lau, K.; Lasa, I. Corrosion of post-tensioned tendons with deficient grout, part 1: Electrochemical behavior of steel in alkaline sulfate solutions. Corrosion 2017, 74, 362–371. [Google Scholar] [CrossRef]
  31. Pan, H.; Wang, L.; Lin, Y.; Ge, F.; Zhao, K.; Wang, X.; Cui, Z. Mechanistic study of ammonium-induced corrosion of AZ31 magnesium alloy in sulfate solution. J. Mater. Sci. Technol. 2020, 54, 1–13. [Google Scholar] [CrossRef]
  32. Hu, J.; Koleva, D.; Petrov, P.; Breugel, K. Polymeric vesicles for corrosion control in reinforced mortar: Electrochemical behavior, steel surface analysis and bulk matrix properties. Corros. Sci. 2012, 65, 414–430. [Google Scholar] [CrossRef]
  33. Ye, C.Q.; Hu, R.G.; Dong, S.G.; Zang, X.J.; Ho, R.Q.; Du, R.G.; Lin, C.J.; Pan, J.S. EIS analysis on chloride-induced corrosion behavior of reinforcement steel in simulated carbonated concrete pore solutions. J. Electrochem. Chem. 2013, 688, 275–288. [Google Scholar] [CrossRef]
  34. Garces, P.; Andrade, M.; Saez, A.; Alonso, C. Corrosion of reinforcing steel in neutral and acid solutions simulating the electrolytic environments in the micropores of concrete in the propagation period. Corros. Sci. 2005, 47, 289–306. [Google Scholar] [CrossRef]
Figure 1. Corrosion cell and Autolab PGSTAT 204 potentiostat/galvanostat assembly together with experimental connections.
Figure 1. Corrosion cell and Autolab PGSTAT 204 potentiostat/galvanostat assembly together with experimental connections.
Materials 15 03950 g001
Figure 2. Polarization resistance curves of zinc wires in solution cells after 35 days of manufacture.
Figure 2. Polarization resistance curves of zinc wires in solution cells after 35 days of manufacture.
Materials 15 03950 g002
Figure 3. Evolution in time of (a) Icorr and (b) Ecorr of the wires.
Figure 3. Evolution in time of (a) Icorr and (b) Ecorr of the wires.
Materials 15 03950 g003
Figure 4. (a) EIS results with adjustment through equivalent circuit. (b) Nyquist and Bode diagram for Solution 1 at day 35.
Figure 4. (a) EIS results with adjustment through equivalent circuit. (b) Nyquist and Bode diagram for Solution 1 at day 35.
Materials 15 03950 g004
Figure 5. Equivalent circuit.
Figure 5. Equivalent circuit.
Materials 15 03950 g005
Figure 6. Nyquist diagram in “Low-Frequency Zone” (0.01 Hz).
Figure 6. Nyquist diagram in “Low-Frequency Zone” (0.01 Hz).
Materials 15 03950 g006
Figure 7. Nyquist diagram in “High-Frequency Zone” (1 · 105 Hz).
Figure 7. Nyquist diagram in “High-Frequency Zone” (1 · 105 Hz).
Materials 15 03950 g007
Figure 8. Optical microscopy and SEM results of the steel surfaces.
Figure 8. Optical microscopy and SEM results of the steel surfaces.
Materials 15 03950 g008aMaterials 15 03950 g008b
Figure 9. Optical microscopy and SEM crystal results Ca(Zn(OH)3)2 Solution 2.
Figure 9. Optical microscopy and SEM crystal results Ca(Zn(OH)3)2 Solution 2.
Materials 15 03950 g009
Table 1. Composition of synthetic solutions prepared for corrosion tests.
Table 1. Composition of synthetic solutions prepared for corrosion tests.
SolutionSO42− [mol/L] 0.04Ca2+ [mol/L]
4 · 10−4
NH4+ [mol/L]
5 · 10−3
HCO3 [mol/L]
4 · 10−4
Mg2+ [mol/L]
9.6 · 10−3
Cl [mol/L]
7.6 · 10−3
1X
2XX
3XXX
4XXXX
5XXXXX
6XXXXXX
Table 2. Electrochemical parameters obtained after 35 days of manufacture.
Table 2. Electrochemical parameters obtained after 35 days of manufacture.
DaySolution 1Solution 2Solution 3
Ecorr (mV)Rp (Ω)Icorr (µA/cm2)Ecorr (mV)Rp (Ω)Icorr (µA/cm2)Ecorr (mV)Rp (Ω)Icorr (µA/cm2)
0−140327.3397.24−137356.2347.26−139628.7592.45
1−139631.4584.51−138642.2662.89−138928.3093.92
8−137920.57129.20−137555.3563.35−137521.17125.54
28−2617290.270.36−135131.5084.37---
35−2469383.370.28−3325039.880.53−3004306.200.62
DaySolution 4Solution 5Solution 6
Ecorr (mV)Rp (Ω)Icorr (µA/cm2)Ecorr (mV)Rp (Ω)Icorr (µA/cm2)Ecorr (mV)Rp (Ω)Icorr (µA/cm2)
0−138736.6772.48−138426.07101.94−139322.43118.51
1−138225.64103.66−138525.42104.54−138928.1594.40
8−136732.1082.79−137926.9798.54−137832.9580.66
28−5932595.411.02------
35−5483660.900.73−28714,025.210.19−3226303.550.42
Table 3. Parameters obtained through Equivalent Circuit of the Nyquist Diagram.
Table 3. Parameters obtained through Equivalent Circuit of the Nyquist Diagram.
SolutionRsRcCPERctCPEχ2
(Ω·cm2)(Ω·cm2)Y0−1·cm−2·sn)(kΩ·cm2)Y0−1·cm−2·sn)
12.111.551.92 · 10−310,1696.36 · 10−40.036
21.842.189.20 · 10−553468.59 · 10−50.024
32.132.954.99 · 10−447773.99 · 10−40.034
43.874.483.86 ·10−446651.35 · 10−30.036
52.932.879.20 · 10−514,9231.92 · 10−40.019
63.034.833.21 · 10−472402.51 · 10−40.016
Table 4. Rp obtained by LPR and EIS.
Table 4. Rp obtained by LPR and EIS.
SolutionRp (LPR)Rct (EIS)Difference (%)
(Ω)(Ω)
1938310,1698
2504053466
34306477710
43661466524
514,02514,9236
66304724014
Publisher’s Note: MDPI stays neutral with regard to jurisdictional claims in published maps and institutional affiliations.

Share and Cite

MDPI and ACS Style

Bonilla, A.; Argiz, C.; Moragues, A.; Gálvez, J.C. Effect of Sulfate Ions on Galvanized Post-Tensioned Steel Corrosion in Alkaline Solutions and the Interaction with Other Ions. Materials 2022, 15, 3950. https://doi.org/10.3390/ma15113950

AMA Style

Bonilla A, Argiz C, Moragues A, Gálvez JC. Effect of Sulfate Ions on Galvanized Post-Tensioned Steel Corrosion in Alkaline Solutions and the Interaction with Other Ions. Materials. 2022; 15(11):3950. https://doi.org/10.3390/ma15113950

Chicago/Turabian Style

Bonilla, Andrés, Cristina Argiz, Amparo Moragues, and Jaime C. Gálvez. 2022. "Effect of Sulfate Ions on Galvanized Post-Tensioned Steel Corrosion in Alkaline Solutions and the Interaction with Other Ions" Materials 15, no. 11: 3950. https://doi.org/10.3390/ma15113950

APA Style

Bonilla, A., Argiz, C., Moragues, A., & Gálvez, J. C. (2022). Effect of Sulfate Ions on Galvanized Post-Tensioned Steel Corrosion in Alkaline Solutions and the Interaction with Other Ions. Materials, 15(11), 3950. https://doi.org/10.3390/ma15113950

Note that from the first issue of 2016, this journal uses article numbers instead of page numbers. See further details here.

Article Metrics

Back to TopTop