Dry Addition of Recycled Waste Polyethylene in Asphalt Mixtures: A Laboratory Study
Abstract
:1. Introduction
2. Motivation and Research Approach
3. Materials and Methods
3.1. Materials
3.2. Specimen Preparation
3.3. Testing Methods
3.3.1. Flexural Cyclic Tests
- Ee* is the equilibrium complex modulus, at f → 0;
- Eg* is the glass complex modulus, at f → ∞;
- fc is the location parameter, with dimensions of frequency (frequency at which Φ = 45°);
- f’ is the reduced frequency, function of both temperature and strain;
- k, me are the shape dimensionless parameters.
3.3.2. Indirect Tensile Stiffness Modulus Tests
3.3.3. Repeated Load Axial Tests
3.3.4. Indirect Tensile Strength and Fracture Tests
3.3.5. Moisture Resistance Assessment
4. Results and Analysis
4.1. Compactability
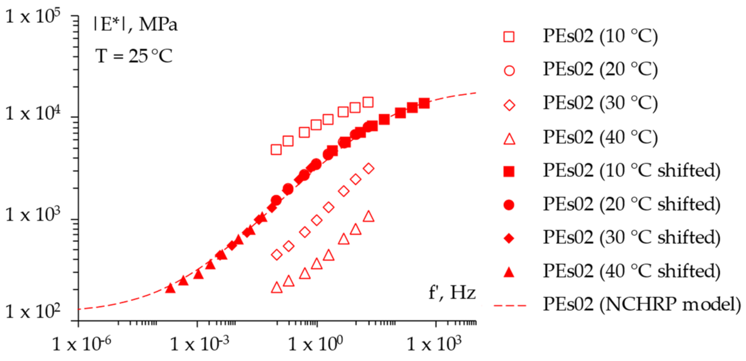
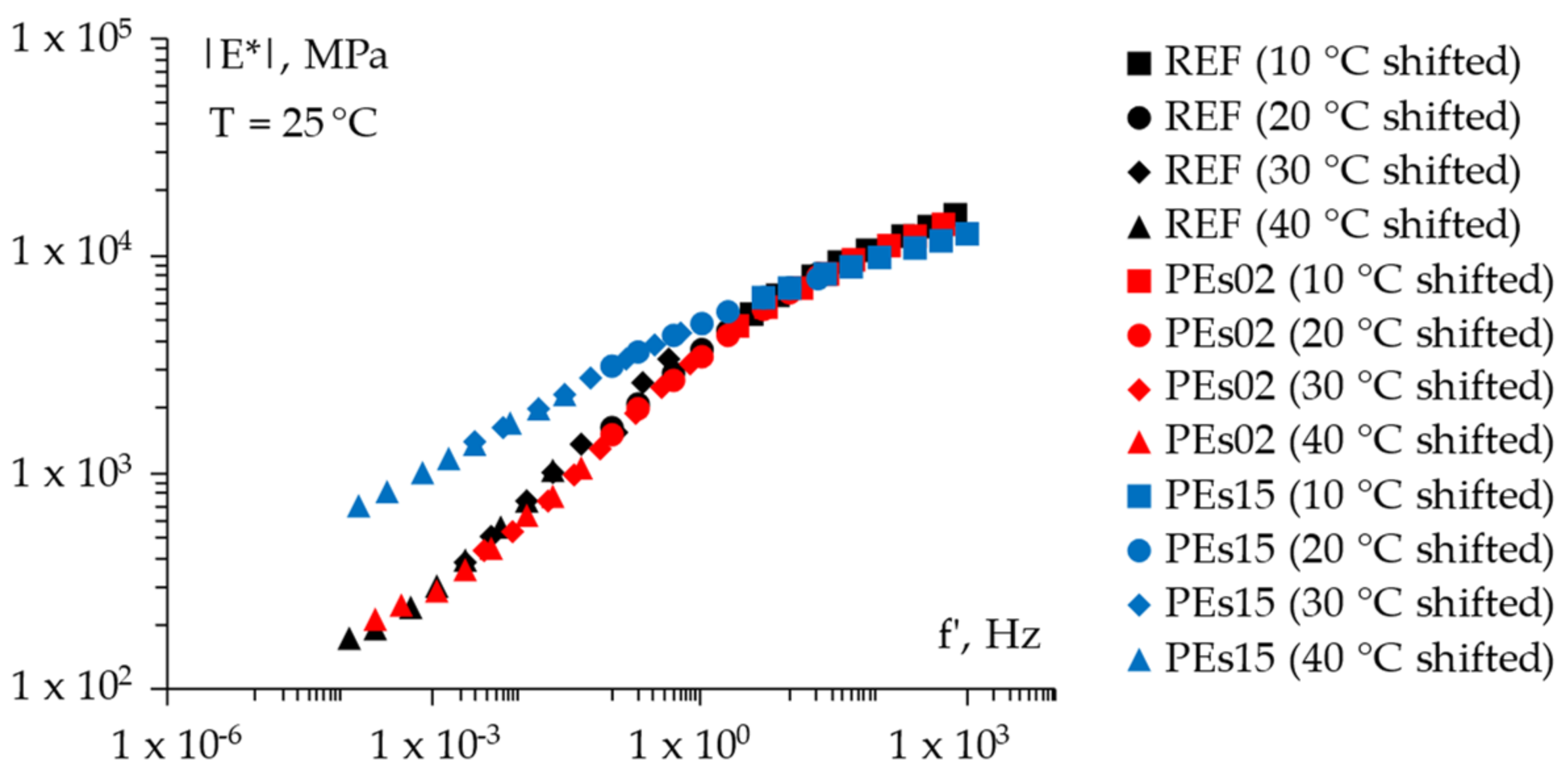
4.2. LVE Properties
4.3. Stiffness
4.4. Permanent Deformation Resistance
4.5. Fracture Resistance
4.6. Moisture Resistance
5. Conclusions and Prospects for Further Studies
- The addition of waste PE up to 1.5% by mix weight did not affect the asphalt mixture workability at the investigated production conditions.
- PE waste at the highest recycling rate used in this investigation significantly influenced the rheological properties of the asphalt mixture with a clear shift toward a more elastic response in the whole investigated time–temperature domain along with a considerable stiffening effect at the high-temperature/low-frequency domain.
- Significantly higher stiffness and permanent deformation resistance were obtained in the case of the mixtures containing recycled waste plastic; again, the higher the PE dosage, the better the material response.
- A proportional increase in the strength and fracture resistance with the corresponding addition of plastic waste was also observed in indirect tensile tests, suggesting the strengthening of the asphalt mastic due to the chemo-physical interaction between the asphalt binder and the plastic particles.
- Moisture resistance of the investigated asphalt mixture was not negatively affected by the presence of waste PE.
Author Contributions
Funding
Data Availability Statement
Acknowledgments
Conflicts of Interest
References
- Poulikakos, L.D.; Papadaskalopoulou, C.; Hofko, B.; Gschösser, F.; Cannone Falchetto, A.; Bueno, M.; Arraigada, M.; Sousa, J.; Ruiz, R.; Petit, C.; et al. Harvesting the unexplored potential of European waste materials for road construction. Resour. Conserv. Recycl. 2017, 116, 32–44. [Google Scholar] [CrossRef]
- Piao, Z.; Mikhailenko, P.; Kakar, M.R.; Bueno, M.; Hellweg, S.; Poulikakos, L.D. Urban mining for asphalt pavements: A review. J. Clean. Prod. 2021, 280, 124916. [Google Scholar] [CrossRef]
- Giustozzi, F.; Enfrin, M.; Xuan, D.L.; Boom, Y.J.; Masood, H.; Audy, R.; Swaney, M. Use of Road-grade Recycled Plastics for Sustainable Asphalt Pavements: Final Performance and Environmental Assessment. Part A; Austroads Research Report AP-R669-22; Austroads: Sydney, NSW, Australia, 2022. [Google Scholar]
- Punith, V.S.; Veeraragavan, A. Behavior of asphalt concrete mixtures with reclaimed polyethylene as additive. J. Mater. Civ. Eng. 2007, 19, 500–507. [Google Scholar] [CrossRef]
- Moghadas Nejad, F.; Azarhoosh, A.; Hamedi, G.H. Effect of high density polyethylene on the fatigue and rutting performance of hot mix asphalt—A laboratory study. Road Mater. Pavement Des. 2014, 15, 746–756. [Google Scholar] [CrossRef]
- Giri, J.P.; Panda, M.; Sahoo, U.C. Performance of bituminous mixes containing treated recycled concrete aggregates and modified by waste polyethylene. J. Mater. Civ. Eng. 2018, 30, 4018184. [Google Scholar] [CrossRef]
- Nouali, M.; Derriche, Z.; Ghorbel, E.; Li, C. Plastic bag waste modified bitumen a possible solution to the Algerian road pavements. Road Mater. Pavement Des. 2020, 21, 1713–1725. [Google Scholar] [CrossRef]
- Modarres, A.; Hamedi, H. Developing laboratory fatigue and resilient modulus models for modified asphalt mixes with waste plastic bottles (PET). Constr. Build. Mater. 2014, 68, 259–267. [Google Scholar] [CrossRef]
- Lastra-Gonzalez, P.; Calzada-Perez, M.A.; Castro-Fresno, D.; Vega-Zamanillo, A.; Indacoechea-Vega, I. Comparative analysis of the performance of asphalt concretes modified by dry way with polymeric waste. Constr. Build. Mater. 2016, 112, 1133–1140. [Google Scholar] [CrossRef] [Green Version]
- Du, Z.; Jiang, C.; Yuan, J.; Xiao, F.; Wang, J. Low temperature performance characteristics of polyethylene modified asphalts—A review. Constr. Build. Mater. 2020, 264, 120704. [Google Scholar] [CrossRef]
- Tušar, M.; Kakar, M.R.; Poulikakos, L.D.; Pasquini, E.; Baliello, A.; Pasetto, M.; Porot, L.; Wang, D.; Cannone Falchetto, A.; Dalmazzo, D.; et al. RILEM TC279 WMR Round Robin study on waste polyethylene modified bituminous binders: Advantages and challenges. Road Mater. Pavement Des. 2022, 1–29. [Google Scholar] [CrossRef]
- Wang, D.; Baliello, A.; Poulikakos, L.D.; Vasconcelos, K.; Kakar, M.R.; Giancontieri, G.; Pasquini, E.; Porot, L.; Tušar; Riccardi, C.M.; et al. Rheological properties of asphalt binder modified with waste polyethylene: An interlaboratory research. Resour. Conserv. Recycl. 2022. submitted. [Google Scholar]
- Kakar, M.R.; Mikhailenko, P.; Piao, Z.; Bueno, M.; Poulikakos, L. Analysis of waste polyethylene (PE) and its by-products in asphalt binder. Constr. Build. Mater. 2021, 280, 122492. [Google Scholar] [CrossRef]
- Yin, F.; Moraes, R.; Fortunatus, M.; Tran, N.; Elwardany, M.D.; Planche, J.P. Performance Evaluation and Chemical Characterization of Asphalt Binders and Mixtures Containing Recycled Polyethylene; Plastic Industry Association: Washington, DC, USA, 2020. [Google Scholar]
- Willis, R.; Yin, F.; Moraes, R. Recycled Plastics in Asphalt Part A: State of the Knowledge; National Asphalt Pavement Association (NAPA): Greenbelt, MD, USA, 2020. [Google Scholar]
- Yin, F.; Moraes, R.; Anand, A. Recycled Plastics in Asphalt Part B: Literature Review; National Asphalt Pavement Association (NAPA): Greenbelt, MD, USA, 2020. [Google Scholar]
- Padhan, R.K.; Sreeram, A. Enhancement of storage stability and rheological properties of polyethylene (PE) modified asphalt using cross linking and reactive polymer based additives. Constr. Build. Mater. 2018, 188, 772–780. [Google Scholar] [CrossRef]
- Costa, L.M.B.; Silva, H.M.R.D.; Oliveira, J.R.M.; Fernandes, S.R.M. Incorporation of Waste Plastic in Asphalt Binders to Improve their Performance in the Pavement. Int. J. Pavement Res. Technol. 2013, 6, 457–464. [Google Scholar]
- Perez-Lepe, A.; Martınez-Boza, F.J.; Attane, P.; Gallegos, C. Destabilization Mechanism of Polyethylene-Modified Bitumen. J. Appl. Sci. 2006, 100, 260–267. [Google Scholar] [CrossRef]
- Liang, M.; Xin, X.; Fan, W.; Wang, H.; Jiang, H.; Zhang, J.; Yao, Z. Phase behavior and hot storage characteristics of asphalt modified with various polyethylene: Experimental and numerical characterizations. Constr Build Mater 2019, 203, 608–620. [Google Scholar] [CrossRef]
- Costa, L.M.B.; Silva, M.R.D.H.; Peralta, J.; Oliveira, J.R.M. Using waste polymers as a reliable alternative for asphalt binder modification—Performance and morphological assessment. Constr. Build. Mater. 2019, 198, 237–244. [Google Scholar] [CrossRef]
- Williams, M.L.; Landel, R.F.; Ferry, J.D. The temperature dependence of relaxation mechanisms in amorphous polymers and other glass-forming liquids. J. Am. Chem. Soc. 1955, 77, 3701–3707. [Google Scholar] [CrossRef]
- Planche, J.P.; Lesueur, D.; Hines, M. Evaluation of elastomer modified bitumens using SHRP binder specifications. In Proceedings of the 1st Eurobitume Conference, Strasbourg, France, 7–10 May 1996; pp. 1–17. [Google Scholar]
- Bahia, H.U.; Hanson, D.I.; Zeng, M.; Zhai, H.; Khatri, M.A.; Anderson, R.M. Characterization of Modified Asphalt Binders in Superpave Mix Design; National Cooperative Highway Research Program (NCHRP), Report 459; National Academy Press: Washington, DC, USA, 2001; pp. 1–67. [Google Scholar]
- Airey, G.D.; Mohammed, M.H. Rheological properties of polyacrylates used as synthetic road binders. Rheol. Acta 2008, 47, 751–763. [Google Scholar] [CrossRef]
- Radeef, H.R.; Abdul Hassan, N.; Abidin, A.R.Z.; Mahmud, M.Z.H.; Yusoffa, N.I.M.; Idham Mohd Satar, M.K.; Warid, M.N.M. Enhanced Dry Process Method for Modified Asphalt Containing Plastic Waste. Front. Mater. 2021, 8, 700231. [Google Scholar] [CrossRef]
- Movilla-Quesada, D.; Raposeiras, A.C.; Silva-Klein, L.T.; Lastra-González, P.; Castro-Fresno, D. Use of plastic scrap in asphalt mixtures added by dry method as a partial substitute for bitumen. Waste Manag. 2019, 87, 751–760. [Google Scholar] [CrossRef]
- Ma, J.; Nawarathna, H.M.C.; Hesp, S.A.M. On the sustainable use of recycled plastics in flexible asphalt pavements. J. Clean. Prod. 2022, 359, 132081. [Google Scholar] [CrossRef]




















| Sieve Size, mm | Passing, % | ||||
|---|---|---|---|---|---|
| 12/20 | 8/12 | 4/8 | 0/4 | Filler | |
| 25 | 100 | 100 | 100 | 100 | 100 |
| 20 | 97.9 | 100 | 100 | 100 | 100 |
| 16 | 82.2 | 100 | 100 | 100 | 100 |
| 12.5 | 52.4 | 97.9 | 100 | 100 | 100 |
| 10 | 24.6 | 70.7 | 100 | 100 | 100 |
| 6.3 | 0.6 | 4.8 | 63.8 | 100 | 100 |
| 4 | 0.6 | 0.7 | 6.8 | 95.8 | 100 |
| 2 | 0.6 | 0.7 | 0.1 | 72.2 | 100 |
| 0.5 | 0.6 | 0.7 | 0.1 | 33.3 | 100 |
| 0.25 | 0.6 | 0.7 | 0.1 | 23.2 | 97.3 |
| 0.063 | 0.6 | 0.7 | 0.1 | 9.3 | 57.7 |
| Property | Standard | Unit | 12/20 | 8/12 | 4/8 | 0/4 | Filler |
|---|---|---|---|---|---|---|---|
| Flakiness index | EN 933-3 | % | 9 | 7 | 10 | - | - |
| Shape index | EN 933-4 | % | - | 16 | 11 | - | - |
| Sand equivalent | EN 933-8 | % | - | - | - | 82 | - |
| LA coefficient | EN 1097-2 | % | 21 | - | - | - | - |
| Particle density | EN 1097-6 | Mg/m3 | 2.71 | 2.72 | 2.69 | 2.66 | - |
| Rigden voids | EN 1097-4 | % | - | - | - | - | 32.7 |
| Particle density | EN 1097-7 | Mg/m3 | - | - | - | - | 2.74 |
| Property | Standard | Unit | Value |
|---|---|---|---|
| Penetration at 25 °C | EN 1426 | 0.1 mm | 78 |
| Softening point | EN 1427 | °C | 42 |
| Ductility | ASTM D113 | cm | >100 |
| Sieve Size, mm | 32 | 16 | 10 | 4 | 2 | 0.5 | 0.25 | 0.063 |
|---|---|---|---|---|---|---|---|---|
| Passing, % | ||||||||
| Min. envelop limit | 100 | 90 | 73 | 45 | 28 | 16 | 11 | 4 |
| Max. envelop limit | 100 | 100 | 85 | 56 | 38 | 24 | 18 | 8 |
| Mix gradation | 100 | 96.4 | 83.5 | 45.5 | 34.1 | 18.5 | 14.3 | 6.8 |
| Mix Designation | Aggregate | Bitumen | PE |
|---|---|---|---|
| REF | |||
| Content by agg. weight, % | 100.00 | 5.00 | - |
| Content by mix weight, % | 95.24 | 4.76 | - |
| Content by mix volume, % | 88.18 | 11.82 | - |
| Max. density, Mg/m3 | 2.506 | ||
| Target voids, % | 4.5 | ||
| PEs02 | |||
| Content by agg. weight, % | 100.00 | 5.00 | 0.26 |
| Content by mix weight, % | 95.00 | 4.75 | 0.25 |
| Content by mix volume, % | 87.61 | 11.74 | 0.65 |
| Max. density, Mg/m3 | 2.496 | ||
| Target voids, % | 4.5 | ||
| PEs15 | |||
| Content by agg. weight, % | 100.00 | 5.00 | 1.60 |
| Content by mix weight, % | 93.81 | 4.69 | 1.50 |
| Content by mix volume, % | 84.77 | 11.36 | 3.87 |
| Max. density, Mg/m3 | 2.446 | ||
| Target voids, % | 4.5 | ||
| Quantity | Frequency, Hz | |||||||
|---|---|---|---|---|---|---|---|---|
| 0.1 | 0.2 | 0.5 | 1 | 2 | 5 | 10 | 20 | |
| REF | ||||||||
| |E*| Δmax − min | 914 | 1006 | 1261 | 1496 | 1666 | 1979 | 2204 | 2436 |
| Limits | 1328 | 1386 | 1774 | 2060 | 2283 | 2730 | 3180 | 3661 |
| Φ Δmax − min | 2.90° | 2.70° | 2.30° | 2.71° | 3.66° | 2.81° | 2.06° | 2.90° |
| Limits | 4.21° | 3.82° | 3.12° | 3.56° | 4.85° | 3.97° | 2.71° | 3.71° |
| PEs02 | ||||||||
| |E*| Δmax − min | 903 | 1094 | 1042 | 1532 | 1766 | 2077 | 2210 | 2936 |
| Limits | 1226 | 1540 | 1571 | 2222 | 2510 | 2924 | 3172 | 3967 |
| Φ Δmax − min | 5.66° | 2.07° | 2.25° | 9.34° | 2.25° | 3.61° | 1.97° | 2.49° |
| Limits | 7.24° | 2.74° | 3.07° | 13.18° | 3.11° | 4.69° | 2.85° | 4.26° |
| PEs15 | ||||||||
| |E*| Δmax − min | 786 | 573 | 655 | 737 | 831 | 931 | 1053 | 1120 |
| Limits | 1044 | 835 | 965 | 1060 | 1155 | 1272 | 1429 | 1468 |
| Φ Δmax − min | 1.87° | 2.69° | 2.92° | 2.36° | 2.22° | 2.42° | 3.53° | 3.49° |
| Limits | 2.51° | 3.76° | 3.94° | 3.30° | 3.16° | 3.45° | 4.57° | 4.77° |
| Mixture | Parameter | Reliability | ||||
|---|---|---|---|---|---|---|
| fc, Hz | k | me | Ee, MPa | Eg, MPa | R2 | |
| REF | 30.17 | 0.446 | 0.434 | 107 | 18,120 | 0.9963 |
| PEs02 | 54.17 | 0.411 | 0.420 | 118 | 19,546 | 0.9975 |
| PEs15 | 56.66 | 0.459 | 0.254 | 189 | 13,645 | 0.9959 |
| Mixes Comparison | Significant? | F | F-Crit. | p-Value |
|---|---|---|---|---|
| REF vs. PEs02 | Yes | 58.116 | 4.300 | 1.30 × 10−7 |
| REF vs. PEs15 | Yes | 162.558 | 4.300 | 1.23 × 10−11 |
| PEs02 vs. PEs15 | Yes | 34.547 | 4.300 | 6.49 × 10−6 |
| Mixture | 100 kPa | 300 kPa | ||||
|---|---|---|---|---|---|---|
| εca,f [µstrain] | fc [µstrain/cycle] | Ef [MPa] | εca,f [µstrain] | fc [µstrain/cycle] | Ef [MPa] | |
| REF | 17068 | 1.483 | 5.86 | 54432 | 8.832 | 5.51 |
| PEs02 | 11999 | 0.905 | 8.33 | 30213 | 2.801 | 9.93 |
| PEs15 | 11246 | 0.488 | 8.89 | 23787 | 1.135 | 12.61 |
| Mixture | ITS, MPa | |||
|---|---|---|---|---|
| Rep. 1 | Rep. 2 | Rep. 3 | Average | |
| REF | 0.67 | 0.58 | 0.62 | 0.62 |
| PEs02 | 0.64 | 0.76 | 0.68 | 0.69 |
| PEs15 | 0.95 | 0.81 | 1.11 | 0.96 |
Publisher’s Note: MDPI stays neutral with regard to jurisdictional claims in published maps and institutional affiliations. |
© 2022 by the authors. Licensee MDPI, Basel, Switzerland. This article is an open access article distributed under the terms and conditions of the Creative Commons Attribution (CC BY) license (https://creativecommons.org/licenses/by/4.0/).
Share and Cite
Pasetto, M.; Baliello, A.; Pasquini, E.; Poulikakos, L. Dry Addition of Recycled Waste Polyethylene in Asphalt Mixtures: A Laboratory Study. Materials 2022, 15, 4739. https://doi.org/10.3390/ma15144739
Pasetto M, Baliello A, Pasquini E, Poulikakos L. Dry Addition of Recycled Waste Polyethylene in Asphalt Mixtures: A Laboratory Study. Materials. 2022; 15(14):4739. https://doi.org/10.3390/ma15144739
Chicago/Turabian StylePasetto, Marco, Andrea Baliello, Emiliano Pasquini, and Lily Poulikakos. 2022. "Dry Addition of Recycled Waste Polyethylene in Asphalt Mixtures: A Laboratory Study" Materials 15, no. 14: 4739. https://doi.org/10.3390/ma15144739
APA StylePasetto, M., Baliello, A., Pasquini, E., & Poulikakos, L. (2022). Dry Addition of Recycled Waste Polyethylene in Asphalt Mixtures: A Laboratory Study. Materials, 15(14), 4739. https://doi.org/10.3390/ma15144739

