Broadband Sound Insulation and Dual Equivalent Negative Properties of Acoustic Metamaterial with Distributed Piezoelectric Resonators
Abstract
:1. Introduction
2. Theoretical Modeling and Methodology
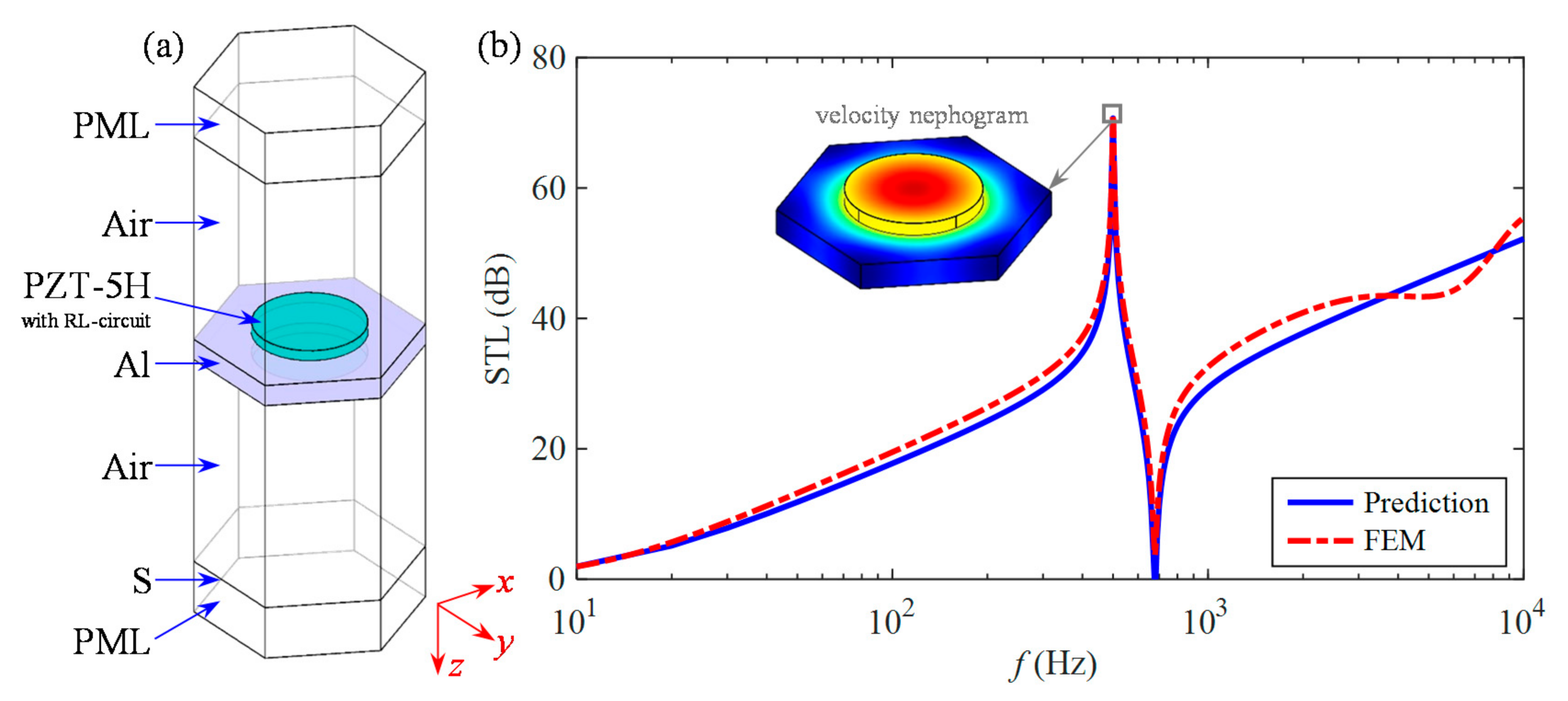
2.1. Physical Model
2.2. Dual Equivalent Properties
2.3. Sound Transmission Loss Characteristics
3. Model Validation
4. Results and Discussion
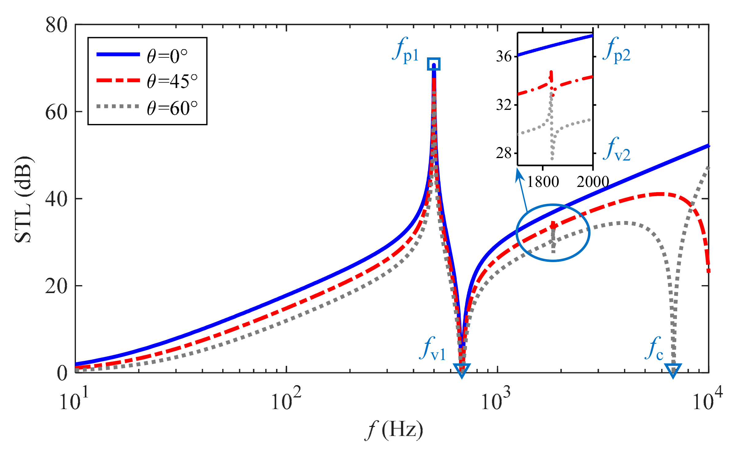
4.1. Sound Insulation Mechanisms
4.2. Change Law of Double Negative Characteristics
4.2.1. Impact of Geometric Parameters
4.2.2. Influence of Material Parameters
4.3. Low-Mid Frequency Broadband Transmission Loss
5. Conclusions
- (1).
- The present metamaterial is an excellent sound insulation metamaterial, which possesses dual equivalent negative properties, that is, equivalent negative surface density (SD) and equivalent negative bending stiffness (BS).
- (2).
- The sound insulation peaks correspond to equivalent negative SD and BS, respectively, which are attributed to the distributed piezoelectric resonators and resonant shunts in turn, and the multi-modal resonant energy-dissipation modes effectively broaden the upper-frequency limit of the improved region.
- (3).
- The resistive and inductive elements in an external RL shunt circuit serve in turn to suppress the amplitude of the equivalent negative bending stiffness (BS) for the present metamaterial and to modulate the resonant frequency of this circuit, similar to the damping and spring elements in a mechanical system, respectively.
- (4).
- The low-mid frequency sound insulation of this metamaterial is better than that of the substrate over 5 dB, even up to 44.49 dB.
Author Contributions
Funding
Institutional Review Board Statement
Informed Consent Statement
Data Availability Statement
Conflicts of Interest
References
- Gwon, J.G.; Kim, S.K.; Kim, J.H. Sound absorption behavior of flexible polyurethane foams with distinct cellular structures. Mater. Design 2016, 89, 448–454. [Google Scholar] [CrossRef]
- Mehdi, M.R.; Kim, M.; Seong, J.C.; Arsalan, M.H. Spatio-temporal patterns of road traffic noise pollution in Karachi, Pakistan. Environ. Int. 2011, 37, 97–104. [Google Scholar] [CrossRef] [PubMed]
- Bai, P.; Yang, X.; Shen, X.; Zhang, X.; Li, Z.; Yin, Q.; Jiang, G.; Yang, F. Sound absorption performance of the acoustic absorber fabricated by compression and microperforation of the porous metal. Mater. Design 2019, 167, 107637. [Google Scholar] [CrossRef]
- Veselago, V.G. The electrodynamics of substances with simultaneously negative values of ε and μ. Sov. Phys. Uspekhi 1968, 10, 509–514. [Google Scholar] [CrossRef]
- Smith, D.R.; Padilla, W.J.; Vier, D.C.; Nemat-Nasser, S.C.; Schultz, S. Composite medium with simultaneously negative permeability and permittivity. Phys. Rev. Lett. 2000, 84, 4184–4187. [Google Scholar] [CrossRef] [PubMed] [Green Version]
- Kim, Y.; Park, P.; Jo, J.; Lee, J.; Jeong, L.; Shin, J.; Lee, J.-H.; Lee, H.-J. Ultrawideband electromagnetic metamaterial absorber utilizing coherent absorptions and surface plasmon polaritons based on double layer carbon metapatterns. Sci. Rep. 2021, 11, 23045. [Google Scholar] [CrossRef]
- Huang, Q.; Wang, G.; Zhou, M.; Zheng, J.; Tang, S.; Ji, G. Metamaterial electromagnetic wave absorbers and devices: Design and 3D microarchitecture. J. Mater. Sci. Technol. 2022, 108, 90–101. [Google Scholar] [CrossRef]
- Duan, G.; Schalch, J.; Zhao, X.; Li, A.; Chen, C.; Averitt, R.D.; Zhang, X. A survey of theoretical models for terahertz electromagnetic metamaterial absorbers. Sens. Actuator A Phys. 2019, 287, 21–28. [Google Scholar] [CrossRef]
- Zhou, Y.; Qin, Z.; Liang, Z.; Meng, D.; Xu, H.; Smith, D.R.; Liu, Y. Ultra-broadband metamaterial absorbers from long to very long infrared regime. Light Sci. Appl. 2021, 10, 138. [Google Scholar] [CrossRef]
- Lee, D.; So, S.; Hu, G.; Kim, M.; Badloe, T.; Cho, H.; Kim, J.; Kim, H.; Qiu, C.-W.; Rho, J. Hyperbolic metamaterials: Fusing artificial structures to natural 2D materials. eLight 2022, 2, 1. [Google Scholar] [CrossRef]
- Zhao, Y.; Askarpour, A.N.; Sun, L.; Shi, J.; Li, X.; Alù, A. Chirality detection of enantiomers using twisted optical metamaterials. Nat. Commun. 2017, 8, 14180. [Google Scholar] [CrossRef] [PubMed]
- Bertoldi1, K.; Vitelli, V.; Christensen, J.; Hecke, M. Flexible mechanical metamaterials. Nat. Rev. Mater. 2017, 2, 17066. [Google Scholar] [CrossRef] [Green Version]
- Dong, L.; King, W.P.; Raleigh, M.; Wadley, H.N.G. A microfabrication approach for making metallic mechanical metamaterials. Mater. Design 2018, 160, 147–168. [Google Scholar] [CrossRef]
- Wu, W.; Hu, W.; Qian, G.; Liao, H.; Xu, X.; Berto, F. Mechanical design and multifunctional applications of chiral mechanical metamaterials: A review. Mater. Design 2019, 180, 107950. [Google Scholar] [CrossRef]
- Li, J.; Shi, Y.; Jiang, R.; Zhang, Z.; Huang, Q. Acoustic insulation mechanism of membrane-type acoustic metamaterials loaded with arbitrarily shaped mass blocks of variable surface density. Materials 2022, 15, 1556. [Google Scholar] [CrossRef] [PubMed]
- Yang, G.; Huang, Q.; Yang, M.; Huang, Y. Sound transmission loss of metamaterial honeycomb core sandwich plate elastically connected with periodic subwavelength arrays of shunted piezoelectric patches. Materials 2022, 15, 3923. [Google Scholar] [CrossRef]
- Man, X.; Luo, Z.; Liu, J.; Xia, B. Hilbert fractal acoustic metamaterials with negative mass density and bulk modulus on subwavelength scale. Mater. Des. 2019, 180, 107911. [Google Scholar] [CrossRef]
- Liu, Z.; Zhang, X.; Mao, Y.; Zhu, Y.; Yang, Z.; Chan, C.; Sheng, P. Locally resonant sonic materials. Science 2000, 289, 1734–1736. [Google Scholar] [CrossRef]
- Hirsekorn, M. Small-size sonic crystals with strong attenuation bands in the audible frequency range. Appl. Phys. Lett. 2004, 84, 3364–3366. [Google Scholar] [CrossRef]
- Xiao, Y.; Wen, J.H.; Wen, X.S. Sound transmission loss of metamaterial-based thin plates with multiple subwavelength arrays of attached resonators. J. Sound Vib. 2012, 331, 5408–5423. [Google Scholar] [CrossRef]
- Gusev, V.E.; Wright, O.B. Double-negative flexural acoustic metamaterial. New J. Phys. 2014, 16, 123053. [Google Scholar] [CrossRef] [Green Version]
- Fang, N.; Xi, D.; Xu, J.; Ambati, M.; Srituravanich, W.; Sun, C.; Zhang, X. Ultrasonic metamaterials with negative modulus. Nat. Mater. 2006, 5, 452–456. [Google Scholar] [CrossRef] [PubMed]
- Cheng, Y.; Xu, J.; Liu, X. One-dimensional structured ultrasonic metamaterials with simultaneously negative dynamic density and modulus. Phys. Rev. B 2008, 77, 045134. [Google Scholar] [CrossRef]
- Yang, Z.; Mei, J.; Yang, M.; Chan, N.H.; Sheng, P. Membrane-type acoustic metamaterial with negative dynamic mass. Phys. Rev. Lett. 2008, 101, 204301. [Google Scholar] [CrossRef] [PubMed]
- Zhang, Y.; Wen, J.; Zhao, H.; Yu, D.; Cai, L.; Wen, X. Sound insulation property of membrane-type acoustic metamaterials carrying different masses at adjacent cells. J. Appl. Phys. 2013, 114, 063515. [Google Scholar] [CrossRef]
- Casadei, F.; Ruzzene, M.; Dozio, L.; Cunefare, K.A. Broadband vibration control through periodic arrays of resonant shunts: Experimental investigation on plates. Smart Mater. Struct. 2010, 19, 015002. [Google Scholar] [CrossRef]
- Casadei, F.; Dozio, L.; Ruzzene, M.; Cunefare, K.A. Periodic shunted arrays for the control of noise radiation in an enclosure. J. Sound Vib. 2010, 329, 3632–3646. [Google Scholar] [CrossRef]
- Zhang, H.; Wen, J.; Xiao, Y.; Wang, G.; Wen, X. Sound transmission loss of metamaterial thin plates with periodic subwavelength arrays of shunted piezoelectric patches. J. Sound Vib. 2015, 343, 104–120. [Google Scholar] [CrossRef]
- Thorp, O.; Ruzzene, M.; Baz, A. Attenuation and localization of wave propagation in rods with periodic shunted piezoelectric patches. Smart Mater. Struct. 2001, 10, 979–989. [Google Scholar] [CrossRef]
- Thorp, O.; Ruzzene, M.; Baz, A. Attenuation of wave propagation in fluid-loaded shells with periodic shunted piezoelectric rings. Smart Mater. Struct. 2005, 14, 594–604. [Google Scholar] [CrossRef]
- Hollkamp, J.J. Multimodal passive vibration suppression with piezoelectric materials and resonant shunts. J. Intel. Mat. Syst. Str. 1994, 5, 49–56. [Google Scholar] [CrossRef]
- Airoldi, L.; Ruzzene, M. Design of tunable acoustic metamaterials through periodic arrays of resonant shunted piezos. New J. Phys. 2011, 13, 113010. [Google Scholar] [CrossRef]
- Casadei, F.; Delpero, T.; Bergamini, A.; Ermanni, P.; Ruzzene, M. Piezoelectric resonator arrays for tunable acoustic waveguides and metamaterials. J. Appl. Phys. 2012, 112, 064902. [Google Scholar] [CrossRef] [Green Version]
- Jin, Y.; Bonello, B.; Pan, Y. Acoustic metamaterials with piezoelectric resonant structures. J. Phys. D Appl. Phys. 2014, 47, 245301. [Google Scholar] [CrossRef]
- Hou, Z.; Assouar, B.M. Tunable solid acoustic metamaterial with negative elastic modulus. Appl. Phys. Lett. 2015, 106, 251901. [Google Scholar] [CrossRef]
- Qi, S.; Oudich, M.; Li, Y.; Assouar, B. Acoustic energy harvesting based on a planar acoustic metamaterial. Appl. Phys. Lett. 2016, 108, 263501. [Google Scholar] [CrossRef]
- Kaijun, Y.; Lin, L.; Ichchou, M.; Collet, M. Sound insulation performance of plates with interconnected distributed piezoelectric patches. Chin. J. Aeronaut. 2017, 30, 99–108. [Google Scholar] [CrossRef]
- Zhang, Z.; Zheng, W.; Huang, Q. Low-frequency broadband sound transmission loss of infinite orthogonally rib-stiffened sandwich structure with periodic subwavelength arrays of shunted piezoelectric patches. Shock Vib. 2017, 2017, 2791351. [Google Scholar] [CrossRef]
- Dym, C.L.; Shames, I.H. Solid Mechanics: A Variational Approach; Springer: New York, NY, USA, 2013. [Google Scholar]
- Maldovan, M.; Thomas, E.L. Periodic Materials and Interference Lithography for Photonics, Phononics and Mechanics; Wiley-VCH: Weinheim, Germany, 2009. [Google Scholar]
- Jalili, N. Piezoelectric-Based Vibration Control; Springer: Berlin, Germany, 2010. [Google Scholar]
- Wang, J.; Shi, Z. Dynamic characteristics of an axially polarized multilayer piezoelectric/elastic composite cylindrical transducer. IEEE Trans Ultrason. Ferroelectr. Freq. Control. 2013, 60, 2196–2203. [Google Scholar] [CrossRef]
- Wang, G.; Wang, J.; Chen, S.; Wen, J. Vibration attenuations induced by periodic arrays of piezoelectric patches connected by enhanced resonant shunting circuits. Smart Mater. Struct. 2011, 20, 125019. [Google Scholar] [CrossRef]
- Reddy, J.N. Mechanics of Laminated Composite Plates and Shells: Theory and Analysis; CRC Press: Boca Raton, FL, USA, 2003. [Google Scholar]
- Zhang, Z.; Li, S.; Huang, Q. Low-frequency sound radiation of infinite orthogonally rib-stiffened sandwich structure with periodic subwavelength arrays of shunted piezoelectric patches. Compos. Struct. 2018, 187, 144–156. [Google Scholar] [CrossRef]
- Xin, F.X.; Lu, T.J. Analytical modeling of fluid loaded orthogonally rib-stiffened sandwich structures: Sound transmission. J Mech. Phys. Solids 2010, 58, 1374–1396. [Google Scholar] [CrossRef]
- Zhang, Z.; Li, S.; Wang, J.; Huang, Q. Low-frequency broadband absorption of semi-active composite anechoic coating with subwavelength piezoelectric arrays in hydrostatic environments. Results Phys. 2021, 30, 104879. [Google Scholar] [CrossRef]
- Zhang, Z.; Huang, Y.; Huang, Q. Low-frequency broadband absorption of underwater composite anechoic coating with periodic subwavelength arrays of shunted piezoelectric patches. Compos. Struct. 2019, 216, 449–463. [Google Scholar] [CrossRef]










Publisher’s Note: MDPI stays neutral with regard to jurisdictional claims in published maps and institutional affiliations. |
© 2022 by the authors. Licensee MDPI, Basel, Switzerland. This article is an open access article distributed under the terms and conditions of the Creative Commons Attribution (CC BY) license (https://creativecommons.org/licenses/by/4.0/).
Share and Cite
Zhang, Z.; Wang, J.; Li, Z.; Zhang, X. Broadband Sound Insulation and Dual Equivalent Negative Properties of Acoustic Metamaterial with Distributed Piezoelectric Resonators. Materials 2022, 15, 4907. https://doi.org/10.3390/ma15144907
Zhang Z, Wang J, Li Z, Zhang X. Broadband Sound Insulation and Dual Equivalent Negative Properties of Acoustic Metamaterial with Distributed Piezoelectric Resonators. Materials. 2022; 15(14):4907. https://doi.org/10.3390/ma15144907
Chicago/Turabian StyleZhang, Zhifu, Jiaxuan Wang, Zhuang Li, and Xirui Zhang. 2022. "Broadband Sound Insulation and Dual Equivalent Negative Properties of Acoustic Metamaterial with Distributed Piezoelectric Resonators" Materials 15, no. 14: 4907. https://doi.org/10.3390/ma15144907
APA StyleZhang, Z., Wang, J., Li, Z., & Zhang, X. (2022). Broadband Sound Insulation and Dual Equivalent Negative Properties of Acoustic Metamaterial with Distributed Piezoelectric Resonators. Materials, 15(14), 4907. https://doi.org/10.3390/ma15144907

