Penetration and Cratering of Steel Target by Jets from Titanium Alloy Shaped Charge Liners
Abstract
:1. Introduction
2. X-ray Testing for Jets from Titanium Alloy Liners
2.1. Experimental Design
2.2. X-ray Test Results
3. Numerical Simulation of Jet Formation from Titanium Alloy Liners
3.1. Numerical Calculation Model and Material Parameters
3.2. Comparison of Numerical Simulation and X-ray Testing Results
4. Jet Penetration Test from Titanium Alloy Liners into Steel Target
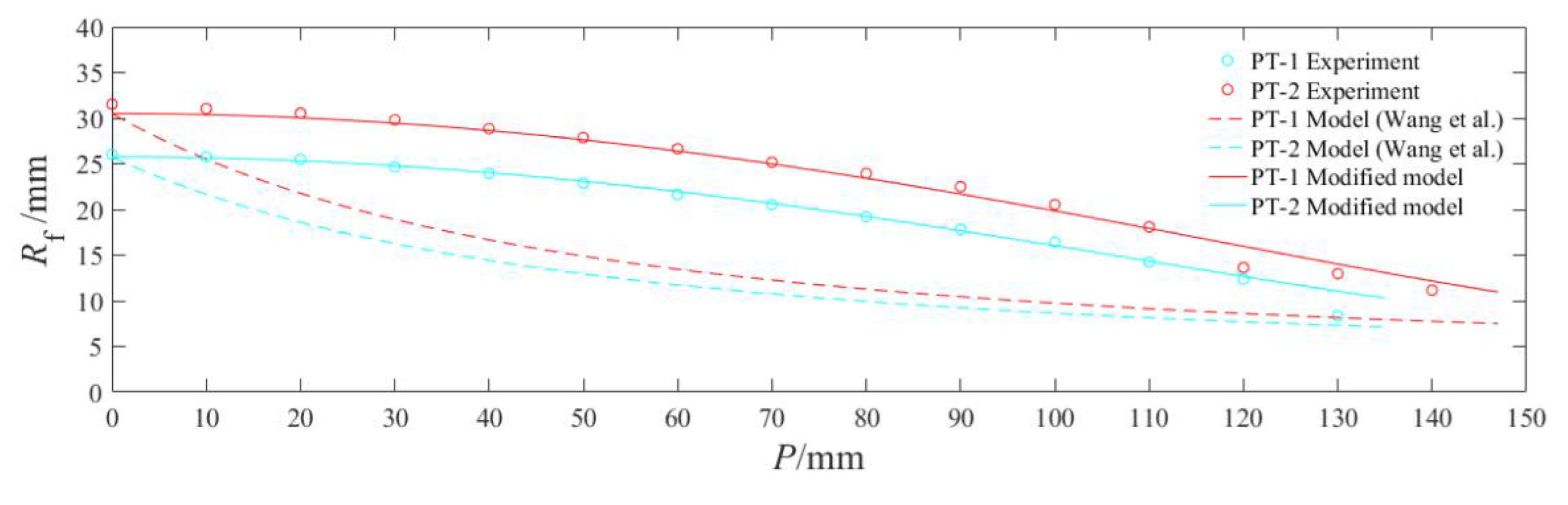
5. Variation Laws of Penetration Depth and Aperture Diameter
6. Conclusions
Author Contributions
Funding
Institutional Review Board Statement
Informed Consent Statement
Data Availability Statement
Conflicts of Interest
References
- Zhao, T.; Luo, H.; Jia, W.M.; Ma, S.H.; Zhang, X.Q. Discussion on the basic elements of shaped charge liner material. Ordnance Mater. Sci. Eng. 2007, 30, 77–82. [Google Scholar]
- Xue, X.Y. Research and Realization of the Tandem Warhead for Anti-Concrete Munition; Nanjing University of Science and Technology: Nanjing, China, 2012. [Google Scholar]
- Xue, X.Y.; Jing, T.; Li, G.D. Research on titanium alloy liner of shaped charge. J. Proj. Rocket. Missiles Guid. 2012, 32, 83–86. [Google Scholar] [CrossRef]
- Zhao, T.; Luo, H.; Jia, W.M.; Ma, S.H. Influencing factors analysis of the application performance of shaped liner material. Ordnance Mater. Sci. Eng. 2007, 30, 82–86. [Google Scholar] [CrossRef]
- Mahmood, Y.; Chen, P.W.; Bataev, I.A.; Gao, X. Experimental and numerical investigations of interface properties of Ti6Al4V/CP-Ti/Copper composite plate prepared by explosive welding. Def. Technol. 2021, 17, 1592–1601. [Google Scholar] [CrossRef]
- Kang, Y.L.; Jiang, J.W.; Wang, S.Y.; Men, J.B. Experimental and Numerical Simulation Study of Penetration into Multi-Layer Target by Shaped Charge with Different Liner Materials. Chin. J. High Press. Phys. 2012, 26, 487–493. [Google Scholar] [CrossRef]
- Zhang, X.W.; Duan, Z.P.; Zhang, Q.M. Experimental Study on the Jet Formation and Penetration of Conical Shaped Charges with Titanium Alloy Liner. Trans. Beijing Inst. Technol. 2014, 34, 1229–1233. [Google Scholar] [CrossRef]
- Zhi-Jia, E.; Duan, Z.P.; Zhang, X.W.; Ou, Z.C.; Huang, F.L. Research on high-density titanium alloy shaped charge liner. Acta Armamentarii 2014, 35, 22–26. [Google Scholar] [CrossRef]
- Hao, Y.J.; Liu, J.X.; Li, J.C.; Feng, W.; Liu, X.Z. Performance of Titanium Alloy Shaped Charge Liner Penetrating Pure Copper Target and Carbon Steel Target. Chin. J. High Press. Phys. 2017, 31, 535–540. [Google Scholar] [CrossRef]
- Yan, C.Y.; Wang, L.; Wang, D.Y.; Zhang, Y.Z. Mechanical Properties of TC4 Matrix Composites Prepared by Laser Cladding. J. Aeronaut. Mater. 2017, 37, 68–72. [Google Scholar] [CrossRef]
- Wang, S.Y. Penetration Mechanism of Reinforced Concrete Targets by Tandem Warhead; Nanjing University of Science and Technology: Nanjing, China, 2006. [Google Scholar]
- Szendrei, T. Analytical model of crater formation by jet impact and its application to calculation of penetration curves and hole profiles. In Proceedings of the 7th International Symposium on Ballistics, The Hague, The Netherlands, 19–21 April 1983. [Google Scholar]
- Held, M. Verification of the equation for radial crater growth by shaped charge jet penetration. Int. J. Impact Eng. 1995, 17, 387–398. [Google Scholar] [CrossRef]
- Xiao, Q.Q.; Huang, Z.X.; Gu, X.H. Engineering Research on Radial Crater Growth for the Penetration in Concrete Target by Shaped Charge Jet. Acta Armamentarii 2010, 31, 464–484. [Google Scholar]
- Xiao, Q.Q.; Huang, Z.X.; Gu, X.H. Equation of penetration and crater growth by shaped charge jet under the influence of shock wave. Chin. J. High Press. Phys. 2011, 25, 333–338. [Google Scholar] [CrossRef]
- Xiao, Q.Q.; Huang, Z.X.; Zu, X.; Jia, X.; Zhu, Q.F.; Cai, W. Shaped charge penetration into high- and ultrahigh-strength Steel–Fiber reactive powder concrete targets. Def. Technol. 2020, 16, 217–224. [Google Scholar] [CrossRef]
- Wang, J.; Wang, C.; Ning, J.G. Theoretical model for the calculation of concrete target resistance and numerical simulation of penetration by shaped charge jets. Acta Armamentarii 2008, 29, 1409–1416. [Google Scholar] [CrossRef]
- Wang, J.; Wang, C.; Ning, J.G. Theoretical model for shaped charge jets penetration and cavity radius calculation. Eng. Mech. 2009, 26, 21–26. [Google Scholar] [CrossRef]
- Li, L.; Shen, Z.W.; Li, X.L.; Ni, X.J. Application of SPH method to numerical simulation of shaped charge jet. Explos. Shock Waves 2012, 32, 316–322. [Google Scholar] [CrossRef]
- Qiang, H.F.; Fan, S.J.; Chen, F.Z.; Liu, H. Numerical simulation on penetration of concrete target by shaped charge jet with SPH method. Explos. Shock Waves 2016, 36, 516–524. [Google Scholar] [CrossRef]
- Remington, T.P.; Owen, J.M.; Nakamura, A.M.; Miller, P.L.; Bruck Syal, M. Numerical Simulations of Laboratory-Scale, Hypervelocity-Impact Experiments for Asteroid-Deflection Code Validation. Earth Space Sci. 2020, 7, e2018EA000474. [Google Scholar] [CrossRef] [Green Version]
- Jankowiak, T.; Łodygowski, T. Smoothed particle hydrodynamics versus finite element method for blast impact. Bull. Pol. Acad. Sci. Tech. Sci. 2013, 61, 111–121. [Google Scholar] [CrossRef]
- Kong, X.; Wu, W.; Li, J.; Liu, F.; Chen, P.; Li, Y. A numerical investigation on explosive fragmentation of metal casing using Smoothed Particle Hydrodynamic method. Mater. Des. 2013, 51, 729–741. [Google Scholar] [CrossRef]
- Pu, B.; Li, W.B.; Zhang, Q.; Zheng, Y.; Wang, X.M. Research on the Dynamic Compressive Deformation Behavior of 3D-Printed Ti6Al4V. Metals 2021, 11, 1327. [Google Scholar] [CrossRef]
- Hu, B.Y.; Dong, Q.D. Analysis of The Firing Mechanics for Ti-6AI-4V Natural Fragments. Explos. Shock Waves 1995, 15, 254–258. [Google Scholar]
- Allison, F.E.; Vitali, R. A New Method of Computing Penetration Variables for Shaped-Charge Jets; Ballistic Research Laboratory Report, No. 1184; Army Ballistic Research Lab, Aberdeen Proving Ground: Aberdeen, MD, USA, 1963. [Google Scholar]
- Wang, F.; Jiang, J.W.; Men, J.B. A Penetration Model for Tunsgsten-copper Shaped Charge Jet with Non-constant Density. Acta Armamentarii 2018, 39, 2289–2297. [Google Scholar] [CrossRef]
- Elshenawy, T.; Elbeih, A.; Ming, L.Q. A modified penetration model for copper-tungsten shaped charge jets with non-uniform density distribution. Cent. Eur. J. Energetic Mater. 2016, 13, 927–943. [Google Scholar] [CrossRef]
- Walters, W.P.; Flis, W.J.; Chou, P.C. A survey of shaped-charge jet penetration models. Int. J. Impact Eng. 1988, 7, 307–325. [Google Scholar] [CrossRef]
- Simon, J.; Dipersio, R.; Merendino, A.B. Penetration of Shaped-Charge Jets into Metallic Targets; Ballistic Research Laboratory Memorandum, Report No. 1296; Ballistic Research Laboratory: Aberdeen, MD, USA, 1965. [Google Scholar]







| Liner | t = 56 μs | t = 76 μs |
|---|---|---|
| XT-1 | ![]() | ![]() |
| XT-2 | ![]() | ![]() |
| Result | Head Velocity (m/s) | Tail Velocity (m/s) | Head Radius (mm) | Liner Density/(kg/m3) |
|---|---|---|---|---|
| XT-1 | 4850 | 1350 | 5.19 | 4459 |
| XT-2 | 4320 | 1215 | 5.60 | 4200 |
| ρ (kg/m3) | D (m/s) | PCJ (GPa) | A (GPa) | B (GPa) | R1 | R2 | ω | E0 (J/kg) |
|---|---|---|---|---|---|---|---|---|
| 1690 | 8425 | 29.5 | 8.524 | 0.18 | 4.6 | 1.3 | 0.38 | 6.04 × 106 |
| Results | Head Velocity (m/s) | Tail Velocity (m/s) | Head Radius (mm) | Jet Length at 56 μs (mm) | Jet Length at 76 μs (mm) |
|---|---|---|---|---|---|
| XT-1 | 4850 | 1350 | 5.19 | 174.5 | 243.4 |
| XT-2 | 4320 | 1215 | 5.60 | >163 | >244.5 |
| Numerical simulation | 4710 | 1075 | 5.40 | 165.9 | 234.6 |
| Error/% | 8.8 | 11.3 | 6.0 | 4.9 | 3.6 |
| Liner | Initial Crater Radius (mm) | Penetration Depth (mm) | Liner Density (kg/m3) |
|---|---|---|---|
| PT-1 | 26.04 | 135.1 | 4428 |
| PT-2 | 31.54 | 147.8 | 4200 |
Publisher’s Note: MDPI stays neutral with regard to jurisdictional claims in published maps and institutional affiliations. |
© 2022 by the authors. Licensee MDPI, Basel, Switzerland. This article is an open access article distributed under the terms and conditions of the Creative Commons Attribution (CC BY) license (https://creativecommons.org/licenses/by/4.0/).
Share and Cite
Gao, D.; Li, W.; Yao, W.; Zhang, K.; Li, Y.; Song, P.; Pu, B. Penetration and Cratering of Steel Target by Jets from Titanium Alloy Shaped Charge Liners. Materials 2022, 15, 5000. https://doi.org/10.3390/ma15145000
Gao D, Li W, Yao W, Zhang K, Li Y, Song P, Pu B. Penetration and Cratering of Steel Target by Jets from Titanium Alloy Shaped Charge Liners. Materials. 2022; 15(14):5000. https://doi.org/10.3390/ma15145000
Chicago/Turabian StyleGao, Dacheng, Wenbin Li, Wenjin Yao, Kebin Zhang, Yiming Li, Ping Song, and Bo Pu. 2022. "Penetration and Cratering of Steel Target by Jets from Titanium Alloy Shaped Charge Liners" Materials 15, no. 14: 5000. https://doi.org/10.3390/ma15145000
APA StyleGao, D., Li, W., Yao, W., Zhang, K., Li, Y., Song, P., & Pu, B. (2022). Penetration and Cratering of Steel Target by Jets from Titanium Alloy Shaped Charge Liners. Materials, 15(14), 5000. https://doi.org/10.3390/ma15145000





