Improved Insulation Properties of Polypropylenes in HVDC Cables Using Aqueous Suspension Grafting
Abstract
:1. Introduction
2. Materials and Methods
2.1. Materials and Instruments
2.2. Materials Preparation
2.3. Material Property Testing
3. Results and Discussion
3.1. Infrared Spectroscopy
3.2. DSC Analysis
3.3. Process Condition Analysis
3.4. Effect of Grafting Ratio on Volume Resistivity of the Grafted Materials
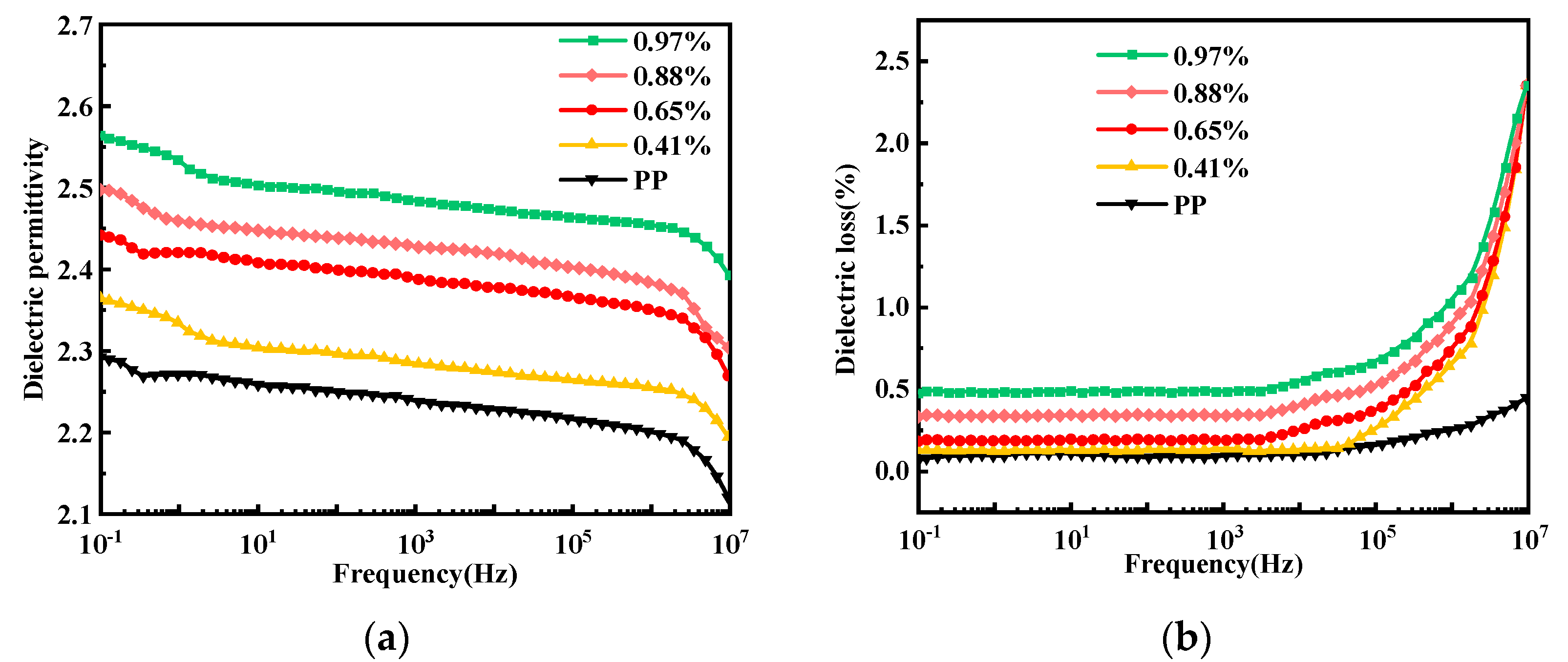
3.5. Influence of Grafting Ratio on the Dielectric Permittivity and Dielectric Loss of Grafted Materials
3.6. Effect of Grafting Ratio on Space Charge of Grafted Materials
3.7. Trap Level Analysis
3.8. Influence of Grafting Ratio on the Breakdown Field Strength of Grafted Materials
4. Conclusions
Author Contributions
Funding
Institutional Review Board Statement
Informed Consent Statement
Data Availability Statement
Conflicts of Interest
References
- He, J.; Peng, L.; Zhou, Y. Research progress of environment-friendly HVDC power cable insulation materials. High Volt. Eng. 2017, 43, 337–343. [Google Scholar]
- Montanar, G.C.; Laurent, C.; Teyssedre, G.; Campus, A.; Nilsson, U.H. From LDPE to XLPE: Investigating the change of electrical properties. Part I. space charge, conduction and lifetime. IEEE Trans. Dielectr. Electr. Insul. 2005, 12, 438–446. [Google Scholar] [CrossRef]
- Teyssedre, G.; Laurent, C.; Montanari, G.C.; Campus, A.; Nilsson, U.H. From LDPE to XLPE: Investigating the change of electrical properties. Part II. Luminescence. IEEE Trans. Dielectr. Electr. Insul. 2005, 12, 447–454. [Google Scholar] [CrossRef]
- Green, C.D.; Vaughan, A.S.; Stevens, G.C.; Pye, A.; Sutton, S.J.; Geussens, T.; Fairhurst, M.J. Thermoplastic cable insulation comprising a blend of isotactic polypropylene and a propylene-ethylene copolymer. IEEE Trans. Dielectr. Electr. Insul. 2015, 22, 639–648. [Google Scholar] [CrossRef]
- Hosier, I.L.; Vaughan, A.S.; Swingler, S.G. An investigation of the potential of ethylene vinyl acetate/polyethylene blends for use in recyclable high voltage cable insulation systems. J. Mater. Sci. 2010, 45, 2747–2759. [Google Scholar] [CrossRef]
- Fu, M.; Chen, G.; Dissado, L.A.; Fothergill, J.C. Influence of thermal treatment and residues on space charge accumulation in XLPE for DC power cable application. IEEE Trans. Dielectr. Electr. Insul. 2007, 14, 53–64. [Google Scholar] [CrossRef]
- Yuan, X.; Chung, T.C.M. Cross-linking effect on dielectric properties of polypropylene thin films and applications in electric energy storage. Appl. Phys. Lett. 2011, 98, 062901. [Google Scholar] [CrossRef]
- Hosier, I.L.; Vaughan, A.S.; Swingler, S.G. An investigation of the potential of polypropylene and its blends for use in recyclable high voltage cable insulation systems. J. Mater. Sci. 2011, 46, 4058–4070. [Google Scholar] [CrossRef]
- Dang, B.; He, J.; Hu, J.; Zhou, Y. Tailored sPP/Silica nanocomposite for ecofriendly insulation of extruded HVDC cable. J. Nanomater. 2015, 16, 439. [Google Scholar] [CrossRef]
- Lau, K.Y.; Vaughan, A.S.; Chen, G.; Hosier, I.L.; Holt, A.F.; Ching, K.Y. On the space charge and DC breakdown behavior of polyethylene/silica nanocomposites. IEEE Trans. Dielectr. Electr. Insul. 2014, 21, 340–351. [Google Scholar] [CrossRef]
- Pitsa, D.; Danikas, M.G.; Vardakis, G.E.; Tanaka, T. Influence of homocharges and nanoparticles in electrical tree propagation under DC voltage application. Electr. Eng. 2012, 94, 81–88. [Google Scholar] [CrossRef]
- Danikas, M.G.; Tanaka, T. Nanocomposites—A review of electrical treeing and breakdown. IEEE Electr. Insul. Mag. 2009, 25, 19–25. [Google Scholar] [CrossRef]
- Mazzanti, G.; Chen, G.; Fothergill, J.C. A protocol for space charge measurements in full-size HVDC extruded cables. IEEE Trans. Dielectr. Electr. Insul. 2015, 22, 21–34. [Google Scholar] [CrossRef]
- Zha, J.; Wu, Y.; Wang, S.; Wu, D.; Yan, H.; Dang, Z. Improvement of space charge suppression of polypropylene for potential application in HVDC cables. IEEE Trans. Dielectr. Electr. Insul. 2016, 23, 2337–2343. [Google Scholar] [CrossRef]
- Liang, Y.; Weng, L.; Zhang, W. Preparation and electrical properties of 4-allyloxy-2-hydroxybenzophenone grafted polypropylene for HVDC cables. J. Electron. Mater. 2021, 50, 6228–6236. [Google Scholar] [CrossRef]
- Zhou, Y.; Hu, J.; Dang, B.; He, J. Mechanism of highly improved electrical properties in polypropylene by chemical modification of grafting maleic anhydride. J. Phys. D-Appl. Phys. 2016, 49, 415301. [Google Scholar] [CrossRef]
- Dang, B.; Hu, J.; Zhou, Y.; He, J. Remarkably improved electrical insulating performances of lightweight polypropylene nanocomposites with fullerene. J. Phys. D-Appl. Phys. 2017, 50, 45503. [Google Scholar] [CrossRef]
- Liu, W.; Cheng, L.; Li, S. Review of electrical properties for polypropylene based nanocomposite. Compos. Commun. 2018, 10, 221–225. [Google Scholar] [CrossRef]
- Zhou, Y.; Hu, J.; Chen, X.; Yu, F.; He, J. Thermoplastic polypropylene/aluminum nitride nanocomposites with enhanced thermal conductivity and low dielectric loss. IEEE Trans. Dielectr. Electr. Insul. 2016, 23, 2768–2776. [Google Scholar] [CrossRef]
- Yang, J.; Wang, X.; Zhao, H.; Zhang, W.; Xu, M. Influence of moisture absorption on the DC conduction and space charge property of MgO/LDPE nanocomposite. IEEE Trans. Dielectr. Electr. Insul. 2014, 21, 1957–1964. [Google Scholar] [CrossRef]
- Tian, F.; Yao, J.; Li, P.; Wang, Y.; Wu, M.; Li, Q. Stepwise electric field induced charging current and its correlation with space charge formation in LDPE/ZnO nanocomposite. IEEE Trans. Dielectr. Electr. Insul. 2015, 22, 1232–1239. [Google Scholar] [CrossRef]
- Li, S.; Zhao, N.; Nie, Y.; Wang, X.; Chen, G.; Teyssedre, G. Space charge characteristics of LDPE nanocomposite/LDPE insulation system. IEEE Trans. Dielectr. Electr. Insul. 2015, 22, 92–100. [Google Scholar] [CrossRef]
- Huang, X.; Liu, F.; Jiang, P. Effect of nanoparticle surface treatment on morphology, electrical and water treeing behavior of LLDPE composites. IEEE Trans. Dielectr. Electr. Insul. 2010, 17, 1697–1704. [Google Scholar] [CrossRef]
- Liu, G. Grafting copolymerization of cationic vinyl monomer with quaternary ammonium groups onto polypropylene. Iran. J. Chem. Chem. Eng. 2015, 34, 17–23. [Google Scholar]
- Dou, Q.; Duan, J. Melting and crystallization behaviors, morphology, and mechanical properties of β-polypropylene/polypropylene-graft-maleic anhydride/calcium sulfate whisker composites. Polym. Compos. 2015, 37, 2121–2132. [Google Scholar] [CrossRef]
- Badrossamay, M.R.; Sun, G. Graft polymerization of N-tert-butylacrylamide onto polypropylene during melt extrusion and biocidal properties of its products. Polym. Eng. Sci. 2009, 49, 359–368. [Google Scholar] [CrossRef]
- Chen, L.; Wong, B.; Baker, W.E. Melt grafting of glycidyl methacrylate onto polypropylene and reactive compatibilization of rubber toughened polypropylene. Polym. Eng. Sci. 1996, 36, 1594–1607. [Google Scholar] [CrossRef]
- Fei, J.; Xin, H. Grafting of styrene on to polypropylene by water phase suspension method. Petrochem. Technol. 2006, 35, 638–642. [Google Scholar]










| Grafting Ratio (%) | Crystallization Temperature (°C) | Melting Temperature (°C) | Crystallinity (%) |
|---|---|---|---|
| 0 | 114.5 | 168.1 | 53.2 |
| 0.41 | 117.6 | 166.0 | 47.3 |
| 0.65 | 120.6 | 165.1 | 46.8 |
| 0.88 | 122.2 | 163.7 | 42.1 |
| 0.97 | 123.5 | 157.1 | 39.5 |
| Grafting Ratio (%) | Breakdown Field Strength (kV·mm−1) | Shape Factor |
|---|---|---|
| 0 | 257.4 | 14.5 |
| 0.41 | 275.2 | 17.5 |
| 0.65 | 312.8 | 18.9 |
| 0.73 | 347.9 | 26.7 |
| 0.88 | 400.8 | 31.4 |
| 0.97 | 361.6 | 28.5 |
Publisher’s Note: MDPI stays neutral with regard to jurisdictional claims in published maps and institutional affiliations. |
© 2022 by the authors. Licensee MDPI, Basel, Switzerland. This article is an open access article distributed under the terms and conditions of the Creative Commons Attribution (CC BY) license (https://creativecommons.org/licenses/by/4.0/).
Share and Cite
Zhang, Y.; Shi, K.; Zang, C.; Wei, W.; Xu, C.; Zha, J. Improved Insulation Properties of Polypropylenes in HVDC Cables Using Aqueous Suspension Grafting. Materials 2022, 15, 6298. https://doi.org/10.3390/ma15186298
Zhang Y, Shi K, Zang C, Wei W, Xu C, Zha J. Improved Insulation Properties of Polypropylenes in HVDC Cables Using Aqueous Suspension Grafting. Materials. 2022; 15(18):6298. https://doi.org/10.3390/ma15186298
Chicago/Turabian StyleZhang, Yiyi, Keshuo Shi, Chunyan Zang, Wenchang Wei, Chuanhui Xu, and Junwei Zha. 2022. "Improved Insulation Properties of Polypropylenes in HVDC Cables Using Aqueous Suspension Grafting" Materials 15, no. 18: 6298. https://doi.org/10.3390/ma15186298
APA StyleZhang, Y., Shi, K., Zang, C., Wei, W., Xu, C., & Zha, J. (2022). Improved Insulation Properties of Polypropylenes in HVDC Cables Using Aqueous Suspension Grafting. Materials, 15(18), 6298. https://doi.org/10.3390/ma15186298

