Enhanced Thermal Stability, Mechanical Properties and Structural Integrity of MWCNT Filled Bamboo/Kenaf Hybrid Polymer Nanocomposites
Abstract
:1. Introduction
2. Materials and Methods
2.1. Preparation of Laminates
2.2. Characterizations
3. Results and Discussions
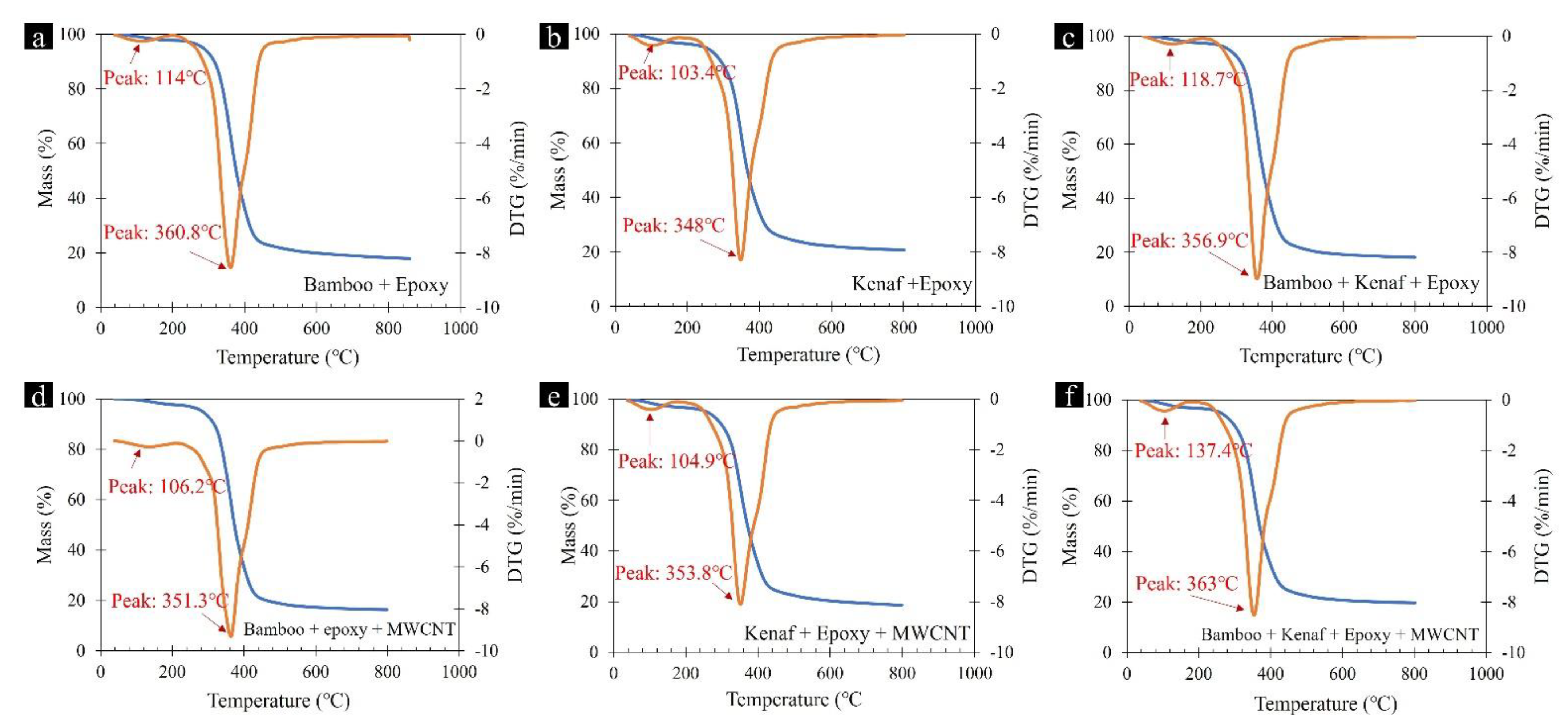
3.1. Thermal Studies (TGA and DTG Analysis)
3.2. FTIR Characterization
3.3. Effect of MWCNT Addition: Raman Analysis
3.4. Mechanical Characterization
3.4.1. Tensile Behaviour and Fracture Mechanism
3.4.2. Impact Behaviour and Fracture Mechanism
3.4.3. Flexural Behaviour and Fracture Mechanism
3.4.4. Dynamic Mechanical Analysis (DMA)
4. Conclusions
Supplementary Materials
Author Contributions
Funding
Institutional Review Board Statement
Informed Consent Statement
Data Availability Statement
Acknowledgments
Conflicts of Interest
References
- Palani Kumar, K.; Keshavan, D.; Natarajan, E.; Narayan, A.; Ashok Kumar, K.; Deepak, M.; Freitas, L.I. Evaluation of mechanical properties of coconut flower cover fibre-reinforced polymer composites for industrial applications. Prog. Rubber Plast. Recycl. Technol. 2021, 37, 3–18. [Google Scholar] [CrossRef]
- Mishra, V.; Biswas, S. Physical and mechanical properties of bi-directional jute fiber epoxy composites. Procedia Eng. 2013, 51, 561–566. [Google Scholar] [CrossRef] [Green Version]
- Mittal, V.; Saini, R.; Sinha, S. Natural fiber-mediated epoxy composites—A review. Compos. Part B Eng. 2016, 99, 425–435. [Google Scholar] [CrossRef]
- Chee, S.S.; Jawaid, M.; Alothman, O.Y.; Fouad, H. Effects of nanoclay on mechanical and dynamic mechanical properties of bamboo/kenaf reinforced epoxy hybrid composites. Polymers 2021, 13, 395. [Google Scholar] [CrossRef]
- Ramesh, M.; Palanikumar, K.; Reddy, K.H. Mechanical property evaluation of sisal-jute-glass fiber reinforced polyester composites. Compos. Part B Eng. 2013, 48, 1–9. [Google Scholar] [CrossRef]
- Bledzki, A.K.; Gassan, J. Composites reinforced with cellulose based fibres. Prog. Polym. Sci. 1999, 24, 221–274. [Google Scholar] [CrossRef]
- Akil, H.M.; Omar, M.F.; Mazuki, A.A.M.; Safiee, S.; Ishak, Z.A.M.; Abu Bakar, A. Kenaf fiber reinforced composites: A review. Mater. Des. 2011, 32, 4107–4121. [Google Scholar] [CrossRef]
- Lazar, P.J.L.; Sengottuvelu, R.; Natarajan, E. Assessments of secondary reinforcement of epoxy matrix-glass fibre composite laminates through nanosilica (SiO2). Materials 2018, 11, 2186. [Google Scholar] [CrossRef] [PubMed] [Green Version]
- Chee, S.S.; Jawaid, M.; Sultan, M.T.H.; Alothman, O.Y.; Abdullah, L.C. Thermomechanical and dynamic mechanical properties of bamboo/woven kenaf mat reinforced epoxy hybrid composites. Compos. Part B Eng. 2019, 163, 165–174. [Google Scholar] [CrossRef]
- Ramesh, M.; Palanikumar, K.; Reddy, K.H. Plant fibre based bio-composites: Sustainable and renewable green materials. Renew. Sustain. Energy Rev. 2017, 79, 558–584. [Google Scholar] [CrossRef]
- Balaji, K.V.; Shirvanimoghaddam, K.; Rajan, G.S.; Ellis, A.V.; Naebe, M. Surface treatment of Basalt fiber for use in automotive composites. Mater. Today Chem. 2020, 17, 100334. [Google Scholar] [CrossRef]
- Ismail, A.S.; Jawaid, M.; Naveen, J. Void content, tensile, vibration and acoustic properties of kenaf/bamboo fiber reinforced epoxy hybrid composites. Materials 2019, 12, 2094. [Google Scholar] [CrossRef] [Green Version]
- Loganathan, T.M.; Hameed Sultan, M.T.; Jawaid, M.; Ahsan, Q.; Naveen, J.; Shah, A.U.M.; Abu Talib, A.R.; Basri, A.A. Physical, Mechanical, and Morphological Properties of Hybrid Cyrtostachys renda/Kenaf Fiber Reinforced with Multi-Walled Carbon Nanotubes (MWCNT)-Phenolic Composites. Polymers 2021, 13, 3448. [Google Scholar] [CrossRef]
- Hanan, F.; Jawaid, M.; Md Tahir, P. Mechanical performance of oil palm/kenaf fiber-reinforced epoxy-based bilayer hybrid composites. J. Nat. Fibers 2020, 17, 155–167. [Google Scholar] [CrossRef]
- Bikiaris, D. Microstructure and Properties of Polypropylene/Carbon Nanotube Nanocomposites. Materials 2010, 3, 2884–2946. [Google Scholar] [CrossRef]
- Elango, N.; Gupta, N.S.; Jiun, Y.L.; Golshahr, A. The effect of high loaded multiwall carbon nanotubes in natural rubber and their nonlinear material constants. J. Nanomater. 2017, 2017, 6193961. [Google Scholar] [CrossRef] [Green Version]
- Khashaba, U.A. Toughness, flexural, damping and interfacial properties of hybridized GFRE composites with MWCNTs. Compos. Part A Appl. Sci. Manuf. 2015, 68, 164–176. [Google Scholar] [CrossRef]
- Khalili, P.; Tshai, K.Y.; Kong, I. Natural fiber reinforced expandable graphite filled composites: Evaluation of the flame retardancy, thermal and mechanical performances. Compos. Part A Appl. Sci. Manuf. 2017, 100, 194–205. [Google Scholar] [CrossRef]
- Adamu, M.; Rahman, M.R.; Hamdan, S. Formulation optimization and characterization of bamboo/polyvinyl alcohol/clay nanocomposite by response surface methodology. Compos. Part B Eng. 2019, 176, 107297. [Google Scholar] [CrossRef]
- Shah, A.U.M.; Sultan, M.T.H.; Cardona, F.; Jawaid, M.; Talib, A.R.A.; Yidris, N. Thermal analysis of bamboo fibre and its composites. BioResources 2017, 12, 2394–2406. [Google Scholar] [CrossRef] [Green Version]
- Atiqah, A.; Jawaid, M.; Sapuan, S.M.; Ishak, M.R.; Alothman, O.Y. Thermal properties of sugar palm/glass fiber reinforced thermoplastic polyurethane hybrid composites. Compos. Struct. 2018, 202, 954–958. [Google Scholar] [CrossRef]
- Zhang, H.H.; Liu, Y.T.; Wang, R.; Yu, X.Y.; Qu, X.W.; Zhang, Q.X. Functionalization of nanodiamond with epoxy monomer. Chinese Chem. Lett. 2011, 22, 485–488. [Google Scholar] [CrossRef]
- Singh, B.P.; Prasanta; Choudhary, V.; Saini, P.; Pande, S.; Singh, V.N.; Mathur, R.B. Enhanced microwave shielding and mechanical properties of high loading MWCNT-epoxy composites. J. Nanoparticle Res. 2013, 15, 1554. [Google Scholar] [CrossRef]
- Munshi, M.R.; Alam, S.S.; Haque, M.M.; Shufian, A.; Rejaul Haque, M.; Gafur, M.A.; Rahman, F.; Hasan, M. An Experimental Study of Physical, Mechanical, and Thermal Properties of Rattan-Bamboo Fiber Reinforced Hybrid Polyester Laminated Composite. J. Nat. Fibers 2020, 1–15. [Google Scholar] [CrossRef]
- Zhou, Y.; Fang, Y.; Ramasamy, R.P. Non-covalent functionalization of carbon nanotubes for electrochemical biosensor development. Sensors 2019, 19, 392. [Google Scholar] [CrossRef] [Green Version]
- Katunin, A.; Krukiewicz, K.; Turczyn, R. Evaluation of residual cross-linking caused by self-heating effect in epoxy-based fibrous composites using Raman spectroscopy. Chemik 2014, 68, 962–966. [Google Scholar]
- Vašková, H. Quasi real-time monitoring of epoxy resin crosslinking via Raman spectroscopy. Int. J. Math. Model. Methods Apllied Sci. 2011, 5, 1205–1212. [Google Scholar]
- Ahmad, I. and R.J.Y. Interfacial Studies of Single-Fibre Aramid/Epoxy Composites using Raman Spectroscopy. Malays. J. Chem. 2004, 6, 091–104. [Google Scholar]
- Agarwal, U.P. 1064 nm FT-Raman spectroscopy for investigations of plant cell walls and other biomass materials. Front. Plant Sci. 2014, 5, 1–12. [Google Scholar] [CrossRef]
- Dresselhaus, M.S.; Dresselhaus, G.; Saito, R.; Jorio, A. Raman spectroscopy of carbon nanotubes. Phys. Rep. 2005, 409, 47–99. [Google Scholar] [CrossRef]
- David, L.; Feldman, A.; Mansfield, E.; Lehman, J.; Singh, G. Evaluating the thermal damage resistance of graphene/carbon nanotube hybrid composite coatings. Sci. Rep. 2014, 4, 1–6. [Google Scholar] [CrossRef] [Green Version]
- Sekar, V.; Namasivayam, S.N. Carbon nanotubes: A reliable additive for the natural fiber-reinforced composites. J. Eng. Sci. Technol. 2020, 15, 1934–1951. [Google Scholar]
- Alavudeen, A.; Rajini, N.; Karthikeyan, S.; Thiruchitrambalam, M.; Venkateshwaren, N. Mechanical properties of banana/kenaf fiber-reinforced hybrid polyester composites: Effect of woven fabric and random orientation. Mater. Des. 2015, 66, 246–257. [Google Scholar] [CrossRef]
- Markandan, K.; Kanaujia, P.K.; Abhineet, J.P.; Yap, X.Y.; Gan, C.L.; Lai, C.Q. Improvements in the modulus and strength of multi-dimensional hybrid composites through synergistic reinforcement between 1D fiber and 0D particle fillers. J. Mater. Sci. 2021, 56, 15162–15179. [Google Scholar] [CrossRef]
- Shirvanimoghaddam, K.; Abolhasani, M.M.; Polisetti, B.; Naebe, M. Periodical patterning of a fully tailored nanocarbon on CNT for fabrication of thermoplastic composites. Compos. Part A Appl. Sci. Manuf. 2018, 107, 304–314. [Google Scholar] [CrossRef]
- Ismail, A.S.; Jawaid, M.; Sultan, M.T.H.; Hassan, A. Physical and mechanical properties of woven kenaf/bamboo fiber mat reinforced epoxy hybrid composites. BioResources 2019, 14, 1390–1404. [Google Scholar] [CrossRef]
- Shirvanimoghaddam, K.; Balaji, K.V.; Yadav, R.; Zabihi, O.; Ahmadi, M.; Adetunji, P.; Naebe, M. Balancing the toughness and strength in polypropylene composites. Compos. Part B Eng. 2021, 223, 109121. [Google Scholar] [CrossRef]
- Okumura, T.; Takahashi, R.; Hagita, K.; King, D.R.; Gong, J.P. Improving the strength and toughness of macroscale double networks by exploiting Poisson’s ratio mismatch. Sci. Rep. 2021, 11, 1–13. [Google Scholar] [CrossRef]
- Li, X.; Wu, H.; Dai, J.; Huang, T.; Wang, Y. Structure and mechanical properties controlling of elastomer modified polypropylene by compounded β/α nucleating agents. J. Polym. Sci. Part B Polym. Phys. 2011, 49, 898–906. [Google Scholar] [CrossRef]
- Bai, H.; Wang, Y.; Song, B.; Huang, T.; Han, L. Effects of nucleating agents on microstructure and fracture toughness of poly(propylene)/ethylene-propylene-diene terpolymer blends. J. Polym. Sci. Part B Polym. Phys. 2009, 47, 46–59. [Google Scholar] [CrossRef]
- Yu, M. Strength and Breaking Mechanism of Multiwalled Carbon Nanotubes Under Tensile Load. Science 2000, 287, 637–640. [Google Scholar] [CrossRef] [Green Version]
- Ma, P.; Mo, S.; Tang, B.; Kim, J. Dispersion, interfacial interaction and re-agglomeration of functionalized carbon nanotubes in epoxy composites Glass substrate Adhesive tape. Carbon N. Y. 2010, 48, 1824–1834. [Google Scholar] [CrossRef]
- Rassmann, S.; Reid, R.G.; Paskaramoorthy, R. Effects of processing conditions on the mechanical and water absorption properties of resin transfer moulded kenaf fibre reinforced polyester composite laminates. Compos. Part A Appl. Sci. Manuf. 2010, 41, 1612–1619. [Google Scholar] [CrossRef]
- Xu, Y.; Wu, Q.; Lei, Y.; Yao, F.; Zhang, Q. Natural fiber reinforced poly(vinyl chloride) composites: Effect of fiber type and impact modifier. J. Polym. Environ. 2008, 16, 250–257. [Google Scholar] [CrossRef]
- Wang, Y.; Tang, L.; Li, Y.; Li, Q.; Bai, B. Preparation of modified multi-walled carbon nanotubes as a reinforcement for epoxy shape-memory polymer composites. Polym. Adv. Technol. 2021, 32, 67–75. [Google Scholar] [CrossRef]
- Jesuarockiam, N.; Jawaid, M.; Zainudin, E.S.; Hameed Sultan, M.T.; Yahaya, R. Enhanced thermal and dynamic mechanical properties of synthetic/natural hybrid composites with graphene nanoplateletes. Polymers 2019, 11, 1085. [Google Scholar] [CrossRef] [Green Version]










| Laminate | Composition | Fibre (g) | Resin (g) | Filler (g) | Total (g) | 
|---|---|---|---|---|---|
| Laminate 1 | Bamboo + Epoxy | 105 | 195 | 0 | 300 | 
| Laminate 2 | Kenaf + Epoxy | 105 | 195 | 0 | 300 | 
| Laminate 3 | Bamboo + Kenaf + Epoxy | 45 b & 60 k | 195 | 0 | 300 | 
| Laminate 4 | Bamboo + Epoxy + MWCNT | 105 | 189 | 6 | 300 | 
| Laminate 5 | Kenaf + Epoxy + MWCNT | 105 | 189 | 6 | 300 | 
| Laminate 6 | Bamboo + Kenaf + Epoxy + MWCNT | 45 b & 60 k | 189 | 6 | 300 | 
| Composite | Mass Change (%) | DTG Peak Values (°C) | Residual Mass (%) | Onset Temp (°C) | |||
|---|---|---|---|---|---|---|---|
| 36.6 °C to 200 °C | 200 °C to 800 °C | 36.6 °C to 200 °C | 200 °C to 800 °C | ||||
| a | Bamboo + Epoxy | 2.14 | 79.62 | 113.9 | 360.8 | 18.25 | 319.9 | 
| b | Kenaf + Epoxy | 3.44 | 75.80 | 103.4 | 348.0 | 20.76 | 311.2 | 
| c | Bamboo + Kenaf + Epoxy | 2.61 | 79.24 | 118.7 | 356.9 | 18.14 | 319.8 | 
| d | Kenaf + Epoxy + MWCNT | 3.13 | 78.15 | 106.2 | 351.3 | 18.69 | 312.1 | 
| e | Bamboo + Kenaf + Epoxy + MWCNT | 3.07 | 77.17 | 104.9 | 353.8 | 19.77 | 315.8 | 
| f | Bamboo + Epoxy + MWCNT | 2.32 | 81.26 | 137.4 | 363.0 | 16.43 | 322.8 | 
| Composite | FTIR Frequencies (cm−1) | Observation | 
|---|---|---|
| (a) Laminate 1: Bamboo + Epoxy | 3363, 2924, 2857, 1591, 1505, 1467, 1242, 1180, 1018, 827, 822, 698. | Epoxy ring peak—915 cm−1 vanished | 
| (b) Laminate 2: Kenaf + Epoxy | 3363, 2924, 2857, 1641 (broad), 1591, 1505, 1467, 1242, 1180, 1018, 827, 822, 698. | Epoxy ring peak—915 cm−1 vanished | 
| (c) Laminate 3: Bamboo + Kenaf + Epoxy | 3363, 2924, 2857, 1641 (broad), 1591, 1505, 1467, 1242, 1180, 1018, 827, 822, 698. | Epoxy ring peak—915 cm−1 vanished | 
| (d) Laminate 4: Bamboo+Epoxy + MWCNT | 3363, 2924, 2857, 1641 (broad), 1591, 1505, 1467, 1242, 1180, 1018, 827, 822, 698. | Epoxy ring peak—915 cm−1 vanished | 
| (e) Laminate 5: Kenaf + Epoxy + MWCNT | 3363, 2924, 2857, 1641 (broad), 1591, 1505, 1467, 1242, 1180, 1018, 827, 822, 698. | Epoxy ring peak—915 cm−1 vanished | 
| (f) Laminate 6: Bamboo + Kenaf + Epoxy + MWCNT | 3363, 2924, 2857, 1641 (broad), 1591, 1505, 1467, 1242, 1180, 1018, 827, 822, 698. | Epoxy ring peak—915 cm−1 vanished | 
| Polymer | Microfiller | Nanofiller | Tensile Strength (MPa) | Tensile Modulus (GPa) | Reference | ||
|---|---|---|---|---|---|---|---|
| Fillers | Filler Concentration (wt.%) | Filler | Filler Concentration (wt.%) | ||||
| Epoxy | Bamboo + Kenaf | 40 | Nanoclay | 1 | 55.8 | 2.51 | [4] | 
| Polyester | Sisal + Jute | NA | Glass fibre | NA | 200 | NA | [5] | 
| Phenolic resin | Cyrtostachys renda + Kenaf | 50 | CNTs | 0.5 | 47.96 | 14.79 | [13] | 
| Epoxy | Bamboo + Kenaf | 35 | MWCNTs | 2 | 67.3 | 1.05 | Present study | 
| Laminates | Tensile Test | Impact Test | Flexural Test | ||||
|---|---|---|---|---|---|---|---|
| Stress (N/mm2) | Strain (%) | Impact Energy (kJ) | Impact Strength (J/mm2) | Maximum Load (N) | Deflection (mm) | ||
| L1 | Bamboo + Epoxy | 45.852 | 2.84 | 0.417 | 13.889 | 172.95 | 5.99 | 
| L2 | Kenaf + Epoxy | 51.403 | 2.8 | 0.433 | 14.444 | 119.584 | 3.22 | 
| L3 | Bamboo + Kenaf + Epoxy | 57.725 | 2.867 | 0.752 | 25.056 | 144.599 | 3.04 | 
| L4 | Bamboo + Epoxy+ MWCNT | 53.253 | 2.913 | 0.450 | 15.000 | 144.599 | 5.89 | 
| L5 | Kenaf + Epoxy + MWCNT | 58.491 | 6.993 | 0.500 | 16.667 | 90.546 | 3.78 | 
| L6 | Bamboo + Kenaf + Epoxy + MWCNT | 67.349 | 6.413 | 0.833 | 27.778 | 123.41 | 3.35 | 
| Publisher’s Note: MDPI stays neutral with regard to jurisdictional claims in published maps and institutional affiliations. | 
© 2022 by the authors. Licensee MDPI, Basel, Switzerland. This article is an open access article distributed under the terms and conditions of the Creative Commons Attribution (CC BY) license (https://creativecommons.org/licenses/by/4.0/).
Share and Cite
Prabhudass, J.M.; Palanikumar, K.; Natarajan, E.; Markandan, K. Enhanced Thermal Stability, Mechanical Properties and Structural Integrity of MWCNT Filled Bamboo/Kenaf Hybrid Polymer Nanocomposites. Materials 2022, 15, 506. https://doi.org/10.3390/ma15020506
Prabhudass JM, Palanikumar K, Natarajan E, Markandan K. Enhanced Thermal Stability, Mechanical Properties and Structural Integrity of MWCNT Filled Bamboo/Kenaf Hybrid Polymer Nanocomposites. Materials. 2022; 15(2):506. https://doi.org/10.3390/ma15020506
Chicago/Turabian StylePrabhudass, J. M., K. Palanikumar, Elango Natarajan, and Kalaimani Markandan. 2022. "Enhanced Thermal Stability, Mechanical Properties and Structural Integrity of MWCNT Filled Bamboo/Kenaf Hybrid Polymer Nanocomposites" Materials 15, no. 2: 506. https://doi.org/10.3390/ma15020506
APA StylePrabhudass, J. M., Palanikumar, K., Natarajan, E., & Markandan, K. (2022). Enhanced Thermal Stability, Mechanical Properties and Structural Integrity of MWCNT Filled Bamboo/Kenaf Hybrid Polymer Nanocomposites. Materials, 15(2), 506. https://doi.org/10.3390/ma15020506
 
         
                                                



 
       