Thermal Behavior Modeling Based on BP Neural Network in Keras Framework for Motorized Machine Tool Spindles
Abstract
1. Introduction
2. Experimental Setup
2.1. Experimental Plan
2.2. Analysis of Experimental Data
3. BP Neural Network Modeling
3.1. Impact of Network Architecture on Model Performance
3.2. Impact of Cross-Validation Technique on Model Performance
- Holdout cross-validation technique
- KFold cross-validation technique.
3.3. Choosing the Number of Folds for Cross-Validation
4. Results and Discussion
4.1. Verification of ANN Model
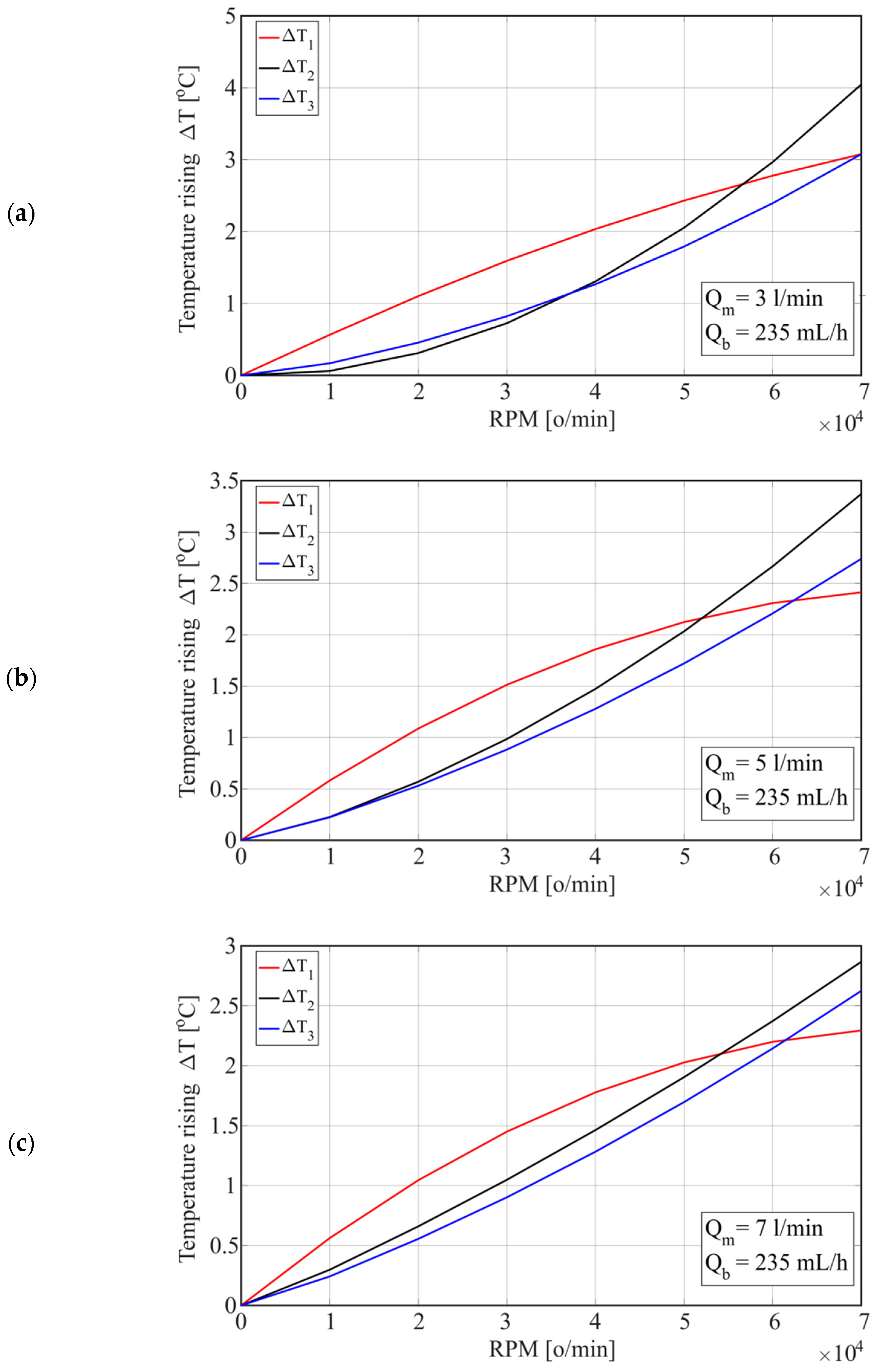
4.2. Analysis of Working Conditions Effect on the Spindle Thermal Characteristics Obtained by the Proposed ANN Model
5. Conclusions
- Network performances does not improve significantly by increasing the number of hidden layers and neurons within;
- A smaller value of the learning parameter improves the performance of a neural network with more than one hidden layer but significantly slows down training;
- All models have high variance since the dataset was split randomly.
- It can be seen that the model with the 4-8-8-3 network topology has the lowest RMSE value, which indicates that this model has the best performance.
- Increasing fold number has no significant impact on the bias but slightly improves variance.
- When handling small datasets, cross-validation is more desirable than the hold-out method since the model is trained on multiple folds. This provides a more reliable indicator of the model acting on unseen data. For datasets up to 40 input/output values, with multiple outputs, the LOOCV method provides the lowest bias and variance, and this model can be considered more reliable than models using lower Kfold values.
Author Contributions
Funding
Institutional Review Board Statement
Informed Consent Statement
Data Availability Statement
Conflicts of Interest
Appendix A
| Randomized Row | No. | Block | n [rpm] | Qm [L/min] | Qb [mL/h] | H | T1 [°C] | T2 [°C] | T3 [°C] |
|---|---|---|---|---|---|---|---|---|---|
| 1 | 2 | 55,000 | 6 | 235.2 | Oil | 31.3 | 32.0 | 31.7 | |
| 27 | 2 | 2 | 55,000 | 4 | 235.2 | Oil | 30.9 | 32.7 | 33.5 |
| 34 | 3 | 2 | 70,000 | 5 | 235.2 | Water | 23.5 | 25.3 | 22.5 |
| 31 | 4 | 2 | 55,000 | 5 | 235.2 | Oil | 31.9 | 31.3 | 31.8 |
| 39 | 5 | 2 | 55,000 | 5 | 235.2 | Water | 21.8 | 22.4 | 20.9 |
| 37 | 6 | 2 | 55,000 | 5 | 187.2 | Water | 21.7 | 22.5 | 20.8 |
| 26 | 7 | 2 | 70,000 | 5 | 235.2 | Oil | 34.5 | 38.1 | 35.9 |
| 40 | 8 | 2 | 55,000 | 5 | 235.2 | Water | 21.8 | 22.4 | 20.9 |
| 25 | 9 | 2 | 40,000 | 5 | 235.2 | Oil | 29.8 | 28.8 | 29.0 |
| 35 | 10 | 2 | 55,000 | 4 | 235.2 | Water | 22.0 | 22.6 | 21.2 |
| 32 | 11 | 2 | 55,000 | 5 | 235.2 | Oil | 31.9 | 31.3 | 31.8 |
| 38 | 12 | 2 | 55,000 | 5 | 283.6 | Water | 21.2 | 22.0 | 20.4 |
| 33 | 13 | 2 | 40,000 | 5 | 235.2 | Water | 20.7 | 20.6 | 19.8 |
| 36 | 14 | 2 | 55,000 | 6 | 235.2 | Water | 21.9 | 22.5 | 21.2 |
| 30 | 15 | 2 | 55,000 | 5 | 283.6 | Oil | 31.9 | 32.4 | 33.1 |
| 29 | 16 | 2 | 55,000 | 5 | 187.2 | Oil | 29.4 | 30.1 | 30.2 |
| 3 | 17 | 1 | 40,000 | 6 | 187.2 | Oil | 28.3 | 28.3 | 28.1 |
| 16 | 18 | 1 | 70,000 | 6 | 187.2 | Water | 25.8 | 27.6 | 24.9 |
| 15 | 19 | 1 | 40,000 | 6 | 187.2 | Water | 22.2 | 22.7 | 21.5 |
| 19 | 20 | 1 | 40,000 | 6 | 283.6 | Water | 21.8 | 21.9 | 21.2 |
| 5 | 21 | 1 | 40,000 | 4 | 283.6 | Oil | 30.3 | 30.3 | 30.1 |
| 17 | 22 | 1 | 40,000 | 4 | 283.6 | Water | 21.4 | 21.2 | 21.6 |
| 4 | 23 | 1 | 70,000 | 6 | 187.2 | Oil | 36.4 | 37.1 | 38.8 |
| 8 | 24 | 1 | 70,000 | 6 | 283.6 | Oil | 35.8 | 36.6 | 38.3 |
| 20 | 25 | 1 | 70,000 | 6 | 283.6 | Water | 24.1 | 25.9 | 23.2 |
| 10 | 26 | 1 | 55,000 | 5 | 235.2 | Oil | 31.9 | 31.3 | 31.8 |
| 13 | 27 | 1 | 40,000 | 4 | 187.2 | Water | 21.3 | 21.7 | 20.5 |
| 1 | 28 | 1 | 40,000 | 4 | 187.2 | Oil | 29.3 | 29.0 | 28.9 |
| 6 | 29 | 1 | 70,000 | 4 | 283.6 | Oil | 35.8 | 37.2 | 38.5 |
| 24 | 30 | 1 | 55,000 | 5 | 235.2 | Water | 21.8 | 22.4 | 20.9 |
| 23 | 31 | 1 | 55,000 | 5 | 235.2 | Water | 21.8 | 22.4 | 20.9 |
| 12 | 32 | 1 | 55,000 | 5 | 235.2 | Oil | 31.9 | 31.3 | 31.8 |
| 11 | 33 | 1 | 55,000 | 5 | 235.2 | Oil | 31.9 | 31.3 | 31.8 |
| 22 | 34 | 1 | 55,000 | 5 | 235.2 | Water | 21.8 | 22.4 | 20.9 |
| 9 | 35 | 1 | 55,000 | 5 | 235.2 | Oil | 31.9 | 31.3 | 31.8 |
| 7 | 36 | 1 | 40,000 | 6 | 283.6 | Oil | 29.6 | 29.6 | 29.5 |
| 18 | 37 | 1 | 70,000 | 4 | 283.6 | Water | 23.5 | 23.3 | 25.5 |
| 2 | 38 | 1 | 70,000 | 4 | 187.2 | Oil | 36.2 | 37.8 | 39.0 |
| 21 | 39 | 1 | 55,000 | 5 | 235.2 | Water | 21.8 | 22.4 | 20.9 |
| 14 | 40 | 1 | 70,000 | 4 | 187.2 | Water | 24.2 | 26.0 | 23.0 |
References
- Ramesh, R.; Mannan, M.A.; Poo, A.N. Error compensation in machine tools—A review: Part II: Thermal errors. Int. J. Mach. Tools Manuf. 2000, 40, 1257–1284. [Google Scholar] [CrossRef]
- Mayr, J.; Jedrzejewski, J.; Uhlmann, E.; Alkan Donmez, M.; Knapp, W.; Härtig, F.; Wendt, K.; Moriwaki, T.; Shore, P.; Schmitt, R.; et al. Thermal issues in machine tools. CIRP Ann.-Manuf. Technol. 2012, 61, 771–791. [Google Scholar] [CrossRef]
- Denkena, B.; Bergmann, B.; Klemme, H. Cooling of motor spindles—A review. Int. J. Adv. Manuf. Technol. 2020, 110, 3273–3294. [Google Scholar] [CrossRef]
- Holkup, T.; Cao, H.; Kolář, P.; Altintas, Y.; Zelený, J. Thermo-mechanical model of spindles. CIRP Ann. 2010, 59, 365–368. [Google Scholar] [CrossRef]
- Uhlmann, E.; Hu, J. Thermal Modelling of a High Speed Motor Spindle. Procedia CIRP 2012, 1, 313–318. [Google Scholar] [CrossRef]
- Zhang, P.; Chen, X. Thermal–mechanical coupling model-based dynamical properties analysis of a motorized spindle system. Proc. Inst. Mech. Eng. Part B J. Eng. Manuf. 2014, 230, 732–743. [Google Scholar] [CrossRef]
- Zivkovic, A.; Zeljkovic, M.; Tabakovic, S.; Milojevic, Z. Mathematical modeling and experimental testing of high-speed spindle behavior. Int. J. Adv. Manuf. Technol. 2015, 77, 1071–1086. [Google Scholar] [CrossRef]
- Fang, B.; Gu, T.; Ye, D.; Luo, T. An improved thermo-mechanical model for vertical machining center. Int. J. Adv. Manuf. Technol. 2016, 87, 2581–2592. [Google Scholar] [CrossRef]
- Zhang, L.; Li, J.; Wu, Y.; Zhang, K.; Wang, Y. Prediction model and experimental validation for the thermal deformation of motorized spindle. Heat Mass Transf. 2018, 54, 2691–2704. [Google Scholar] [CrossRef]
- Liu, J.; Ma, C.; Wang, S.; Wang, S.; Yang, B.; Shi, H. Thermal-structure interaction characteristics of a high-speed spindle- bearing system. Int. J. Mach. Tools Manuf. 2019, 137, 42–57. [Google Scholar] [CrossRef]
- Zivkovic, A.; Zeljkovic, M.; Mladjenovic, C.; Tabakovic, S.; Milojevic, Z.; Hadzistevic, M. A study of thermal behavior of the machine tool spindle. Therm. Sci. 2019, 23, 2117–2130. [Google Scholar] [CrossRef]
- Zhou, H.; Fan, K.; Gao, R. Fast heat conduction-based thermal error control technique for spindle system of machine tools. Int. J. Adv. Manuf. Technol. 2020, 107, 653–666. [Google Scholar] [CrossRef]
- Bossmanns, B.; Tu, J.F. A thermal model for high speed motorized spindles. Int. J. Mach. Tools Manuf. 1999, 39, 1345–1366. [Google Scholar] [CrossRef]
- Bossmanns, B.; Tu, J.F. A Power Flow Model for High Speed Motorized Spindles—Heat Generation Characterization. J. Manuf. Sci. Eng. 2000, 123, 494–505. [Google Scholar] [CrossRef]
- Jedrzejewski, J.; Kowal, Z.; Kwaśny, W.; Modrzycki, W. Hybrid model of high speed machining centre headstock. CIRP Ann. 2004, 53, 285–288. [Google Scholar] [CrossRef]
- Jędrzejewski, J.; Kowal, Z.; Kwaśny, W.; Modrzycki, W. High-speed precise machine tools spindle units improving. J. Mater. Process. Technol. 2005, 162, 615–621. [Google Scholar] [CrossRef]
- Mayrl, J. Comparing the thermo-mechanical behaviour of machine tool frame designs using a FDM-FEM simulation approach. In Proceedings of the ASPE Annual Meeting, Dallas, TX, USA, 14–19 October 2007; pp. 14–19. [Google Scholar]
- Liu, Z.; Pan, M.; Zhang, A.; Zhao, Y.; Yang, Y.; Ma, C. Thermal characteristic analysis of high-speed motorized spindle system based on thermal contact resistance and thermal-conduction resistance. Int. J. Adv. Manuf. Technol. 2015, 76, 1913–1926. [Google Scholar] [CrossRef]
- Yan, K.; Hong, J.; Zhang, J.; Mi, W.; Wu, W. Thermal-deformation coupling in thermal network for transient analysis of spindle-bearing system. Int. J. Therm. Sci. 2016, 104, 1–12. [Google Scholar] [CrossRef]
- Lo, Y.C.; Hu, Y.C.; Chang, P.Z. Parameter Estimation of the Thermal Network Model of a Machine Tool Spindle by Self-made Bluetooth Temperature Sensor Module. Sensors 2018, 18, 656. [Google Scholar] [CrossRef]
- Zhou, C.; Qu, Z.; Hu, B.; Li, S. Thermal network model and experimental validation for a motorized spindle including thermal-mechanical coupling effect. Int. J. Adv. Manuf. Technol. 2021, 115, 487–501. [Google Scholar] [CrossRef]
- Yang, Y.; Du, Z.; Feng, X.; Yang, J. Real-time thermal modelling approach of a machine tool spindle based on bond graph method. Int. J. Adv. Manuf. Technol. 2021, 113, 99–115. [Google Scholar] [CrossRef]
- Lippmann, R. An introduction to computing with neural nets. IEEE Assp Mag. 1987, 4, 4–22. [Google Scholar] [CrossRef]
- Bebis, G.; Georgiopoulos, M. Feed-forward neural networks. IEEE Potentials 1994, 13, 27–31. [Google Scholar] [CrossRef]
- Kosarac, A.; Mladjenovic, C.; Zeljkovic, M.; Tabakovic, S.; Knezev, M. Neural-Network-Based Approaches for Optimization of Machining Parameters Using Small Dataset. Materials 2022, 15, 700. [Google Scholar] [CrossRef]
- Al Hazza, M.H.; Adesta, E.Y. Investigation of the Effect of Cutting Speed on the Surface Roughness Parameters in CNC End Milling using Artificial Neural Network. In IOP Conference Series: Materials Science and Engineering; IOP Publishing: Bristol, UK, 2013; p. 012089. [Google Scholar]
- Karagiannis, S.; Stavropoulos, P.; Ziogas, C.; Kechagias, J. Prediction of surface roughness magnitude in computer numerical controlled end milling processes using neural networks, by considering a set of influence parameters: An aluminium alloy 5083 case study. Proc. Inst. Mech. Eng. Part B J. Eng. Manuf. 2014, 228, 233–244. [Google Scholar] [CrossRef]
- Eser, A.; Aşkar Ayyıldız, E.; Ayyıldız, M.; Kara, F. Artificial intelligence-based surface roughness estimation modelling for milling of AA6061 alloy. Adv. Mater. Sci. Eng. 2021, 2021, 5576600. [Google Scholar] [CrossRef]
- Hao, W.; Hongtao, Z.; Qianjian, G.; Xiushan, W.; Jianguo, Y. Thermal error optimization modeling and real-time compensation on a CNC turning center. J. Mater. Process. Technol. 2008, 207, 172–179. [Google Scholar] [CrossRef]
- Feng, T.; Ming, Y.; Ji, P.; Yabin, W.; Guofu, Y. CNC machine tool spindle thermal error modeling based on ensemble BP neural network. Comput. Integr. Manuf. Syst. 2018, 24, 1383–1390. [Google Scholar]
- Li, B.; Tian, X.; Zhang, M. Thermal error modeling of machine tool spindle based on the improved algorithm optimized BP neural network. Int. J. Adv. Manuf. Technol. 2019, 105, 1497–1505. [Google Scholar] [CrossRef]
- Li, Z.; Zhu, B.; Dai, Y.; Zhu, W.; Wang, Q.; Wang, B. Research on Thermal Error Modeling of Motorized Spindle Based on BP Neural Network Optimized by Beetle Antennae Search Algorithm. Machines 2021, 9, 286. [Google Scholar] [CrossRef]
- Cui, L.Y.; Zhang, D.W.; Gao, W.G.; Qi, X.Y.; Shen, Y. Thermal Errors Simulation and Modeling of Motorized Spindle; Trans Tech Publications: Stafa-Zurich, Switzerland, 2011; pp. 1305–1309. [Google Scholar]
- Lv, C.; Liu, Z.Y.; Liu, Z.J.; Yu, Z.M. Application of generalized radial basis function neural network to thermal error modeling. Opt. Precis. Eng. 2015, 23, 1705–1713. [Google Scholar]
- Zhang, H.N. Research on Modeling of Machining Center Spindle Thermal Error Based on Improved RBF Network. Tech. Autom. Appl. 2019, 38, 60–74. [Google Scholar]
- Fu, G.; Gong, H.; Gao, H.; Gu, T.; Cao, Z. Integrated thermal error modeling of machine tool spindle using a chicken swarm optimization algorithm-based radial basic function neural network. Int. J. Adv. Manuf. Technol. 2019, 105, 2039–2055. [Google Scholar] [CrossRef]
- Li, Y.; Zhao, W.; Lan, S.; Ni, J.; Wu, W.; Lu, B. A review on spindle thermal error compensation in machine tools. Int. J. Mach. Tools Manuf. 2015, 95, 20–38. [Google Scholar] [CrossRef]
- Kang, Y.; Chang, C.W.; Huang, Y.; Hsu, C.L.; Nieh, I.F. Modification of a neural network utilizing hybrid filters for the compensation of thermal deformation in machine tools. Int. J. Mach. Tools Manuf. 2007, 47, 376–387. [Google Scholar] [CrossRef]
- Yang, Z.; Sun, M.; Li, W.; Liang, W. Modified Elman network for thermal deformation compensation modeling in machine tools. Int. J. Adv. Manuf. Technol. 2011, 54, 669–676. [Google Scholar] [CrossRef]
- Li, Z.; Zhu, B.; Dai, Y.; Zhu, W.; Wang, Q.; Wang, B. Thermal error modeling of motorized spindle based on Elman neural network optimized by sparrow search algorithm. Int. J. Adv. Manuf. Technol. 2022, 121, 349–366. [Google Scholar] [CrossRef]
- Zhang, Y.; Yang, J.; Jiang, H. Machine tool thermal error modeling and prediction by grey neural network. Int. J. Adv. Manuf. Technol. 2012, 59, 1065–1072. [Google Scholar] [CrossRef]
- Abdulshahed, A.M.; Longstaff, A.P.; Fletcher, S.; Potdar, A. Thermal error modelling of a gantry-type 5-axis machine tool using a Grey Neural Network Model. J. Manuf. Syst. 2016, 41, 130–142. [Google Scholar] [CrossRef]
- Qian, X.; Yang, R. Machine learning for predicting thermal transport properties of solids. Mater. Sci. Eng. R: Rep. 2021, 146, 100642. [Google Scholar] [CrossRef]
- Raza, A.; Bardhan, S.; Xu, L.; Yamijala, S.S.R.K.C.; Lian, C.; Kwon, H.; Wong, B.M. A Machine Learning Approach for Predicting Defluorination of Per- and Polyfluoroalkyl Substances (PFAS) for Their Efficient Treatment and Removal. Environ. Sci. Technol. Lett. 2019, 6, 624–629. [Google Scholar] [CrossRef]












| Condition | Factor | Units | Low Level | Middle Level | High Level |
|---|---|---|---|---|---|
| −1 | 0 | +1 | |||
| Number of revolutions | n | o/min | 40,000 | 55,000 | 70,000 |
| Coolant flow of motor | Qm | L/min | 4 | 5 | 6 |
| Bearing coolant flow | Qb | mL/h | 187.2 | 235.2 | 283.6 |
| Coolant type | H | - | Oil | Water |
| Thermocouples Type K | Thermal Imager | Acrylic Flow Meters | Integral Flowmeter AXF ISO 9104 | Infrared Thermometer | |
|---|---|---|---|---|---|
| Operation range | −200 to 1200 °C | −20 to 250 °C | to 7 bar | to 100 bar | −40 to 500 °C |
| Accuracy | ±0.2 °C at 100 °C | ±1% | ±5% from whole range | ±0.15% from flow velocity | ±0.2% |
| NN Architecture | No. of Epochs | Loss of Training Set | Loss of Evaluation Set | R2 (T1) | R2 (T2) | R2 (T3) | R2 (Aver.) | Learning Rate | |
|---|---|---|---|---|---|---|---|---|---|
| RMSE | RMSE | RMSE | RMSE (Aver.) | ||||||
| 1. | 4-2-3 | 5059 | 1.731 | 2.404 | 0.892 | 0.835 | 0.905 | 0.877 | 0.01 |
| 1.437 | 1.723 | 1.474 | 1.544 | ||||||
| 2. | 4-2-3 | 11,689 | 1.738 | 2.399 | 0.896 | 0.826 | 0.910 | 0.877 | 0.001 |
| 1.418 | 1.767 | 1.436 | 1.540 | ||||||
| 3. | 4-3-3 | 2837 | 1.682 | 2.414 | 0.879 | 0.832 | 0.911 | 0.874 | 0.01 |
| 1.521 | 1.705 | 1.421 | 1.549 | ||||||
| 4. | 4-3-3 | 8216 | 1.852 | 5.105 | 0.759 | 0.643 | 0.825 | 0.742 | 0.001 |
| 2.195 | 2.479 | 2.084 | 2.252 | ||||||
| 5. | 4-4-3 | 3801 | 1.731 | 2.381 | 0.890 | 0.816 | 0.917 | 0.874 | 0.01 |
| 1.439 | 1.784 | 1.374 | 1.532 | ||||||
| 6. | 4-4-3 | 9473 | 1.720 | 2.446 | 0.887 | 0.816 | 0.916 | 0.837 | 0.001 |
| 1.472 | 1.801 | 1.388 | 1.553 | ||||||
| 7. | 4-5-3 | 1754 | 1.746 | 2.433 | 0.866 | 0.828 | 0.924 | 0.872 | 0.01 |
| 1.606 | 1.722 | 1.323 | 1.550 | ||||||
| 8. | 4-5-3 | 8506 | 1.685 | 2.459 | 0.879 | 0.816 | 0.917 | 0.870 | 0.001 |
| 1.520 | 1.777 | 1.380 | 1.559 | ||||||
| 9. | 4-3-3-3 | 118 | 7.979 | 24.12 | 0.025 | −0.26 | 0.35 | 0.041 | 0.01 |
| 5.141 | 5.045 | 4.527 | 4.904 | ||||||
| 10. | 4-3-3-3 | 4320 | 1.612 | 2.535 | 0.868 | 0.803 | 0.937 | 0.869 | 0.001 |
| 1.626 | 1.879 | 1.195 | 1.566 | ||||||
| 11. | 4-4-4-3 | 124 | 13.992 | 26.011 | 0.146 | −0.06 | 0.378 | 0.154 | 0.01 |
| 5.198 | 5.196 | 4.899 | 5.097 | ||||||
| 12. | 4-4-4-3 | 7651 | 1.7867 | 2.3945 | 0.881 | 0.827 | 0.921 | 0.876 | 0.001 |
| 1.523 | 1.752 | 1.338 | 1.537 | ||||||
| 13. | 4-8-8-3 | 93 | 13.7252 | 18.358 | 0.4685 | 0.0893 | 0.5202 | 0.359 | 0.01 |
| 4.016 | 4.692 | 4.115 | 4.274 | ||||||
| 14. | 4-8-8-3 | 5214 | 1.7200 | 2.391 | 0.892 | 0.8312 | 0.9085 | 0.877 | 0.001 |
| 1.445 | 1.728 | 1.448 | 1.540 | ||||||
| 15. | 4-4-4-4-3 | 590 | 1.084 | 3.381 | 0.842 | 0.757 | 0.915 | 0.838 | 0.01 |
| 1.900 | 2.073 | 1.494 | 1.822 | ||||||
| 16. | 4-4-4-4-3 | 10,370 | 1.733 | 2.392 | 0.893 | 0.834 | 0.906 | 0.877 | 0.001 |
| 1.429 | 1.723 | 1.471 | 1.541 | ||||||
| 17. | 4-4-10-4-3 | 4955 | 36.101 | 19.723 | 0 | 2.22 | 0 | 0.74 | 0.01 |
| 4.35 | 4.16 | 4.788 | 4.43 | ||||||
| 18. | 4-4-10-4-3 | 6017 | 1.8126 | 2.4341 | 0.877 | 0.809 | 0.929 | 0.871 | 0.001 |
| 1.533 | 1.828 | 1.268 | 1.543 |
| Network Topology | RMSE | σ |
|---|---|---|
| 4-2-3 | 1.9545 | 0.34766 |
| 4-4-3 | 1.7158 | 0.20772 |
| 4-4-4-3 | 1.6068 | 0.26232 |
| 4-8-8-3 | 1.3850 | 0.20518 |
| 4-10-10-3 | 1.4067 | 0.22730 |
| n | Qm | Qb | H | T1 | T2 | T3 | ||||||
|---|---|---|---|---|---|---|---|---|---|---|---|---|
| Pred. | Measured | Err % | Pred. | Measured | Err % | Pred. | Measured | Err % | ||||
| 60,000 | 4 | 235.2 | Oil | 33.240 | 33.6 | −1.07 | 34.044 | 35.4 | −3.83 | 34.248 | 37.0 | −7.44 |
| 60,000 | 5 | 235.2 | Oil | 33.156 | 33.6 | −1.32 | 34.032 | 32.8 | 3.76 | 34.093 | 34.2 | −0.31 |
| 60,000 | 6 | 235.2 | Oil | 33.073 | 32.50 | 1.76 | 34.021 | 34.70 | −1.96 | 33.937 | 33.10 | 2.53 |
| 50,000 | 4 | 235.2 | Oil | 31.210 | 31.7 | −1.55 | 31.949 | 32.6 | −2.00 | 32.157 | 33.4 | −3.72 |
| 50,000 | 5 | 235.2 | Oil | 31.127 | 31.7 | −1.81 | 31.937 | 30.9 | 3.36 | 32.002 | 31.7 | 0.95 |
| 50,000 | 6 | 235.2 | Oil | 31.044 | 31.30 | −0.82 | 31.926 | 32.00 | −0.23 | 31.846 | 31.70 | 0.46 |
| 60,000 | 4 | 235.2 | Water | 23.365 | 22.4 | 4.31 | 23.856 | 23.7 | 0.66 | 23.004 | 21.5 | 7.00 |
| 60,000 | 5 | 235.2 | Water | 23.282 | 22.60 | 3.02 | 23.845 | 23.80 | 0.19% | 22.848 | 21.70 | 5.29 |
| 60,000 | 6 | 235.2 | Water | 23.199 | 22.30 | 4.03 | 23.833 | 23.70 | 0.56 | 22.693 | 21.50 | 5.55 |
| 50,000 | 4 | 235.2 | Water | 21.337 | 21.2 | 0.65 | 21.761 | 22.2 | −1.98 | 20.912 | 20.7 | 1.02 |
| 50,000 | 5 | 235.2 | Water | 21.253 | 21.80 | −2.51 | 21.750 | 22.30 | −2.47 | 20.757 | 20.80 | −0.21 |
| 50,000 | 6 | 235.2 | Water | 21.170 | 21.90 | −3.33 | 21.738 | 22.50 | −3.39 | 20.602 | 21.20 | −2.82 |
| 30,000 | 4 | 235.2 | Oil | 27.153 | 26.5 | 2.46 | 27.759 | 26.6 | 4.36 | 27.975 | 26.1 | 7.18 |
| 30,000 | 5 | 235,2 | Oil | 27.069 | 27.2 | −0.48 | 27.747 | 27.1 | 2.39 | 27.819 | 27.7 | 0.43 |
Publisher’s Note: MDPI stays neutral with regard to jurisdictional claims in published maps and institutional affiliations. |
© 2022 by the authors. Licensee MDPI, Basel, Switzerland. This article is an open access article distributed under the terms and conditions of the Creative Commons Attribution (CC BY) license (https://creativecommons.org/licenses/by/4.0/).
Share and Cite
Kosarac, A.; Cep, R.; Trochta, M.; Knezev, M.; Zivkovic, A.; Mladjenovic, C.; Antic, A. Thermal Behavior Modeling Based on BP Neural Network in Keras Framework for Motorized Machine Tool Spindles. Materials 2022, 15, 7782. https://doi.org/10.3390/ma15217782
Kosarac A, Cep R, Trochta M, Knezev M, Zivkovic A, Mladjenovic C, Antic A. Thermal Behavior Modeling Based on BP Neural Network in Keras Framework for Motorized Machine Tool Spindles. Materials. 2022; 15(21):7782. https://doi.org/10.3390/ma15217782
Chicago/Turabian StyleKosarac, Aleksandar, Robert Cep, Miroslav Trochta, Milos Knezev, Aleksandar Zivkovic, Cvijetin Mladjenovic, and Aco Antic. 2022. "Thermal Behavior Modeling Based on BP Neural Network in Keras Framework for Motorized Machine Tool Spindles" Materials 15, no. 21: 7782. https://doi.org/10.3390/ma15217782
APA StyleKosarac, A., Cep, R., Trochta, M., Knezev, M., Zivkovic, A., Mladjenovic, C., & Antic, A. (2022). Thermal Behavior Modeling Based on BP Neural Network in Keras Framework for Motorized Machine Tool Spindles. Materials, 15(21), 7782. https://doi.org/10.3390/ma15217782

