Next Article in Journal
Exploiting Partial Solubility in Partially Fluorinated Thermoplastic Blends to Improve Adhesion during Fused Deposition Modeling
Previous Article in Journal
Impact Analysis of Potential Induced Degradation on Crystalline Silicon Solar Cell Performance by Correlating Practical Diagnosis with MATLAB Simulation
 
 
Font Type:
Arial Georgia Verdana
Font Size:
Aa Aa Aa
Line Spacing:
Column Width:
Background:
Article

Phase Transitions and Physical Properties of the Mixed Valence Iron Phosphate Fe3(PO3OH)4(H2O)4

1
National Institute for Research and Development in Electrochemistry and Condensed Matter, Str. Dr. Aurel Păunescu Podeanu Nr. 144, 300569 Timisoara, Romania
2
MANSiD Research Center and Faculty of Forestry, Stefan Cel Mare University, 720229 Suceava, Romania
3
Rutherford Appleton Laboratory, ISIS Facility, Chilton Didcot, Oxfordshire OX11 0QX, UK
4
Institute of Physics, Academy of Sciences of the Czech Republic, 182 21 Prague 8, Czech Republic
5
Mineralogisch-Petrographisches Institute, Universität Hamburg, 20146 Hamburg, Germany
6
Deutsches Elektronensynchrotron DESY, Notkestrasse 85, 22603 Hamburg, Germany
7
Institut Lumière Matière, Université Claude Bernard Lyon 1, University of Lyon, CNRS, F-69622 Villeurbanne, France
*
Authors to whom correspondence should be addressed.
Materials 2022, 15(22), 8059; https://doi.org/10.3390/ma15228059
Submission received: 4 October 2022 / Revised: 3 November 2022 / Accepted: 10 November 2022 / Published: 15 November 2022
(This article belongs to the Section Materials Chemistry)

Abstract

Iron phosphate materials have attracted a lot of attention due to their potential as cathode materials for lithium-ion rechargeable batteries. It has been shown that lithium insertion or extraction depends on the Fe mixed valence and reduction or oxidation of the Fe ions’ valences. In this paper, we report a new synthesis method for the Fe3(PO3OH)4(H2O)4 mixed valence iron phosphate. In addition, we perform temperature-dependent measurements of structural and physical properties in order to obtain an understanding of electronic–structural interplay in this compound. Scanning electron microscope images show needle-like single crystals of 50 μm to 200 μm length which are stable up to approximately 200 °C, as revealed by thermogravimetric analysis. The crystal structure of Fe3(PO3OH)4(H2O)4 single crystals has been determined in the temperature range of 90 K to 470 K. A monoclinic isostructural phase transition was found at ~213 K, with unit cell volume doubling in the low temperature phase. While the local environment of the Fe2+ ions does not change significantly across the structural phase transition, small antiphase rotations occur for the Fe3+ octahedra, implying some kind of electronic order. These results are corroborated by first principle calculations within density functional theory, which also point to ordering of the electronic degrees of freedom across the transition. The structural phase transition is confirmed by specific heat measurements. Moreover, hints of 3D antiferromagnetic ordering appear below ~11 K in the magnetic susceptibility measurements. Room temperature visible light absorption is consistent with the Fe2+/Fe3+ mixed valence.

1. Introduction

Rechargeable batteries are an efficient way to store electrical energy in the form of chemical energy. Thus far, lithium-ion rechargeable batteries are considered to be the most promising candidates [1,2,3,4,5,6]. Recently, iron phosphate materials have been extensively investigated for potential electrode materials in rechargeable batteries due to the discovery of LiFePO4 material, which is considered inexpensive and environmentally friendly [7,8,9]. For the case of lithium-ion rechargeable batteries, cathode materials are usually host compounds into/from which lithium ions of the electrolyte can be inserted/extracted as a guest species [10]. It has been shown that insertion of lithium ions into LiFePO4 and Li3Fe2(PO4)3 occurs through the reduction of Fe3+ to Fe2+ [11,12]. Therefore, understanding the temperature-dependent behavior of the crystal structures and their influence on the electronic properties is of great interest. Phosphate materials could lead to a new playground for studying the structural, electronic and magnetic properties in order to find materials with improved characteristics for cathode applications. Out of these phosphate materials, the Fe-containing class based on Fe/P/OH (iron hydroxyphosphates) stands out due to the complexity of their crystal structures, which is the result of various compositions with varying water content, leading to a large range of exotic properties [13]. Besides this, iron phosphate materials show additional interesting properties with many possible applications such as catalysis [14,15], electrode materials for Li-ion batteries [15,16,17,18,19], soil fertilization [20] and pigments in art paintings [21].
Iron hydroxyphosphates occur naturally, and their properties have been intensely studied in order to understand how to obtain artificially synthetic phosphate compounds. In this respect, different synthesis routes were used, varying the composition/element ratio/water molecules aiming to obtain novel induced properties [8,14]. Among these routes, hydrothermal synthesis was the most successful in synthesizing the naturally occurring or unknown phases of iron hydroxyphosphates or hydrate phosphates. Although many studies have been dedicated to the structural, magnetic, electronic and catalytic properties of iron phosphate minerals, such as (Fe2+)(Fe3+)2(PO4)2(OH)2 (barbosalite) and (Fe2+, Mn2+)(Fe3+)2(PO4)2(OH)2 (lipscombite) [22,23,24,25,26,27,28,29], questions still remain unanswered about the electronic–structural interplay in these compounds. Namely, how the Fe mixed valences control the temperature-dependent properties, how the valence ratio of the Fe ions can be tuned by the synthesis methods [25], etc.
In this paper, we report a new synthesis route for obtaining the synthetic mineral Fe3(PO3OH)4(H2O)4 [30]. In addition, we report temperature-dependent measurements of the crystal structures, specific heat, magnetic susceptibility and absorption spectra, aiming to probe the occurrence of mixed valence states for the Fe ions and the possible underlying electronic–structural mechanism to complement the scarce studies that are available in the literature [14,15]. First principle calculations, in the form of density functional theory, corroborate the experimental findings and point to some kind of electronic ordering across the structural phase transition. The structural and magnetic properties of (Fe2+)3(PO4)2·8H2O (vivianite) compound, a related mineral that also occurs naturally and has only Fe2+, have been extensively studied, and no structural phase transition occurs upon cooling [31] but a long-range antiferromagnetic order has been found below 8.8 K with neutron diffraction [32]. However, upon exposing the vivianite (Fe2+)3(PO4)2·8H2O compound to air, the mixed valence metavivianite phosphate hydroxide hydrate (Fe2+)3−x(Fe3+)x(PO4)2(OH)x·(8 − x)H2O compound is found, which is reported to have a possible charge order of the Fe2+/Fe3+ ions [33]. In contrast, the mixed valence (Fe2+)(Fe3+)2(PO3OH)4(H2O)4 studied in this paper does not occur naturally, and only micron-sized crystals have been obtained thus far by a hydrothermal route reacting vivianite (Fe2+)3(PO4)2·8H2O with FeCO3 in the presence of FePO4 and water at a temperature of 220 °C [30].
Thus, the complex chemistry of synthesizing these materials, together with various physical properties of iron phosphates, leads to a rich playground in which to discover novel functional materials for potential applications, such as lithium-ion rechargeable batteries. Our current studies complement the existing studies in understanding the complex interplay of charge, spin and lattice degrees of freedom in this class of materials [14,15].

2. Experimental and Theoretical Methods

Fe3(PO3OH)4(H2O)4 samples were obtained by low-temperature and low-pressure hydrothermal synthesis using vivianite (Fe2+)3(PO4)2·8H2O and H3PO4 as starting materials, which is a different synthesis route from the one reported in the literature so far. First, the vivianite (Fe2+)3(PO4)2·8H2O, material was obtained by the co-precipitation method, starting from (NH4)2HPO4 and FeSO4·7H2O precursors which were added in distilled water and mixed at 80 °C for 1 h on the magnetic stirrer until the precipitation was complete. The sample was then washed with distilled water and dried in air. Second, the obtained vivianite sample (Fe2+)3(PO4)2·8H2O, was mixed with 1 mL H3PO4 and 2 mL distilled water in an autoclave (total volume of 45 mL). The autoclave was sealed and placed in a furnace at 110 °C for 5 days. Third, the resulting yellow-light as-obtained precipitate was filtered, washed with distilled water and air dried at 80 °C, thus obtaining our Fe3(PO3OH)4(H2O)4 sample. To check the temperature stability of the sample, we performed thermogravimetric measurements using a SETARAM apparatus—LabSys Evo model (Setaram, Caluire, France), in which a typical 20–35 mg amount of sample was heated in synthetic air (debit flow of 27 mL/min) at temperatures up to 750 °C (with a temperature rate of 5 °C/min). To check the sample’s quality and morphology, we recorded scanning electron microscope (SEM) images using a FEI Inspect S microscope (FEI, Hillsboro, OR, USA). To characterize the structural, magnetic and electronic properties of the samples, we performed the following measurements: Single crystal diffraction was carried out at 100 K and 300 K at beamline P24 (PETRA III, DESY, Hamburg, Germany) equipped with a Pilatus3 CdTe 2 M detector and a nitrogen cryostream. In this experiment, a crystal of 100 μm size was mounted on a loop on a spindle and rotated through a range of 360 degrees with an oscillation range of 0.25 degrees and 1 s exposure per frame. A wavelength of 0.5166 Å was used and the detector set to a distance of 110 mm; —Laboratory X-ray single crystal data were recorded in fine temperature steps between 90 K and 470 K on a Rigaku Synergy Xtalab X diffractometer (Rigaku, Wroclaw, Poland) using the Molybdenum source and a nitrogen cryostream. Data were treated using Crysalis Pro [34] and XDS [35]; Powder neutron diffraction data were collected at 300 K on the WISH instrument (Oxfordshire, UK) at the ISIS neutron and muon source [36] on about 0.5 g of powder sample. A Rietveld refinement was carried out using the JANA2020 program. The resulting fits prove the single-phase character of the sample; Specific heat data were recorded using a Quantum Design MPMS (Quantum Design, San Diego, CA, USA), in the 2 K–270 K temperature range; Field-cooled (100 Oe) and zero-field cooled magnetic susceptibility were recorded using the same apparatus with the vibrating sample magnetometry setup; The room temperature diffuse reflectance spectra were obtained in the 250–800 nm wavelength range using a Lambda 950 UV–Vis–NIR Spectrophotometer (PerkinElmer, Waltham, MA, USA) with 150 mm integrating sphere. From the reflectance spectra we obtained the absorption spectra, which is an indirect probe of the electronic structure. First principle calculations based on density functional theory were performed to achieve an insight into the electronic–structural interplay of this material. The calculations were performed with the Wien2k code, which implements a self-consistent all-electrons method to solve the Kohn–Sham equations [37]. The generalized gradient approximation Perdew–Burke–Ernzerhof (GGA-PBE) functional was used for the exchange and correlation potential [38]. Muffin-tin (MT) spheres of radius 1.94, 1.34, 1.00 and 0.54 Bohr were used for the Fe, P, O and H ions, respectively. RMT*Kmax was set to 2.57, due to the small spheres chosen for the hydrogen ions. The core and valence states were selected by an energy cutoff of −10 Ry. To obtain the charge density in each self-consistent step, the integration over the Brillouin zone of the high-temperature (HT)/low temperature (LT) unit cell was performed by the tetrahedron method with 72/50 special k-points in the irreducible wedge corresponding to a 12 × 3 × 6/7 × 3 × 7 k-point mesh (250/200 k-points in the full Brillouin zone). To compute the density of states (DOS), integrations over the Brillouin zone were performed for 584/316 special k-points in the irreducible wedge corresponding to a 24 × 6 × 12/13 × 7 × 12 k-points mesh (2000/1200 k-points in the full Brillouin zone). During the self-consistent cycles, the convergence criteria for the HT/LT unit cell were set to 0.00005/0.0005 Ry and 0.001/0.005 e for the energy and charge, respectively. To compute the projected density of states (PDOS), we used tools developed within the eDMFT code [39,40,41,42,43]. An orthogonal local coordinate system (XYZ) was chosen such that it described the oxygen environment around the Fe ions. Then, quasi-atomic orbitals were constructed within this coordinate system from solutions of the Schrodinger equation (inside the MT sphere) projected to bands in a large hybridization window (−10 eV to 10 eV), with respect to the Fermi energy. A schematic representation of the angular part of these quasi-atomic orbitals (in the local XYZ coordinate system) is given later on for Fe2+ and Fe3+, respectively. They are labelled by t and e symbols depending on the contributions of the five d real orbitals, xy, xz, yz, x2 − y2 and z2, to their linear combinations. t1, t2 and t3 quasi-atomic orbitals are mostly linear combinations of the xy, xz and yz real orbitals, while the e1 and e2 quasi-atomic orbitals are mostly linear combinations of the x2 − y2 and z2 orbitals.

3. Results and Discussions

The room temperature crystal structure of Fe3(PO3OH)4(H2O)4 determined in this study is shown in Figure 1a. For the HT crystal structure, we are using the same crystallographic settings for the space group and the unit cell as the one used previously in the literature [30].
Sample stability was checked by the thermogravimetric analysis (TGA) and differential thermal analysis (DTA) in the 30–750 °C (303–1023 K) temperature range. The TGA and DTA curves, shown in Figure 2a, reveal that this compound is thermally stable in a low temperature range, up to approximately 150–200 °C, which is consistent with previous reports for this material [30] and reports for other phosphates, such as the related vivianite mineral [44]. Two weight loss events are observed from the TGA and DTA curves. The first weight loss starts from approximatively 200 °C, as shown by the sharp drop in the TGA and an intense dip in the DTA endothermic curves. The second weight loss looks like a continuation of the first, extending from 270 °C to about 450 °C, as shown by the smooth drop in the TGA curve and the broad dip in the DTA curve. The first/second measured weight loss event corresponds to about 3.7 mg (11.2%)/0.93 mg (2.2%) of water molecules from a starting mass of 33.4 mg. Based on the experimental weight loss, we propose that four and one water molecules, respectively, are sublimated with increasing temperature, according to the following pyrolytic reactions:
235 °C   Fe2+Fe3+2(PO3OH)4(H2O)4    Fe2+Fe3+2(PO3OH)4 + 4H2O
440 °C   Fe2+Fe3+2(PO3OH)4                Fe2+Fe3+2(P4O15H2) + 1H2O
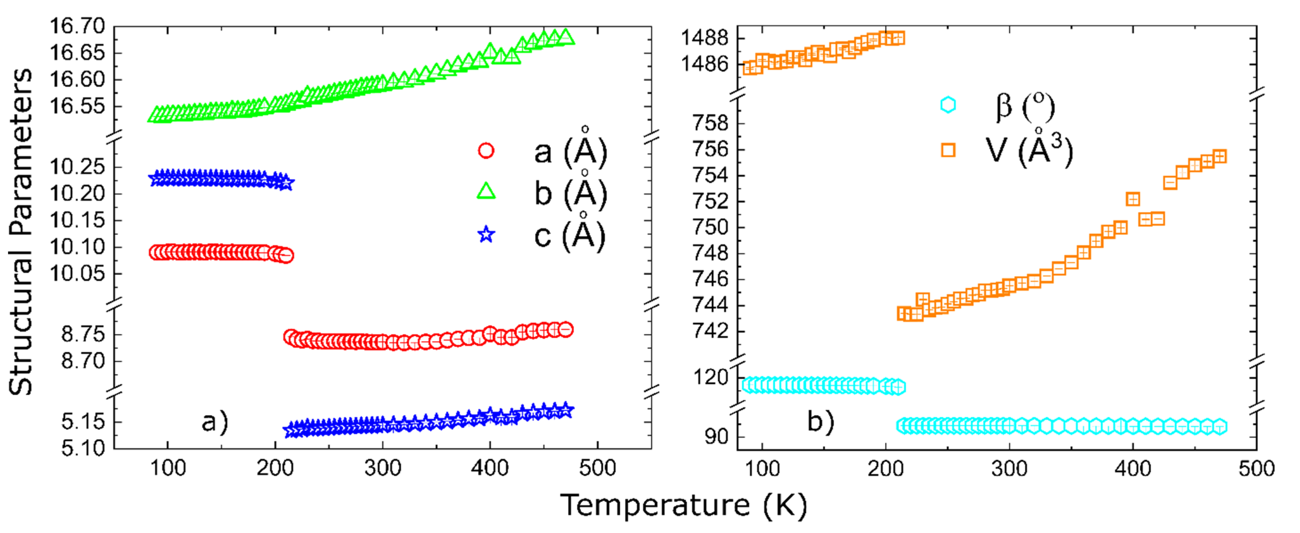
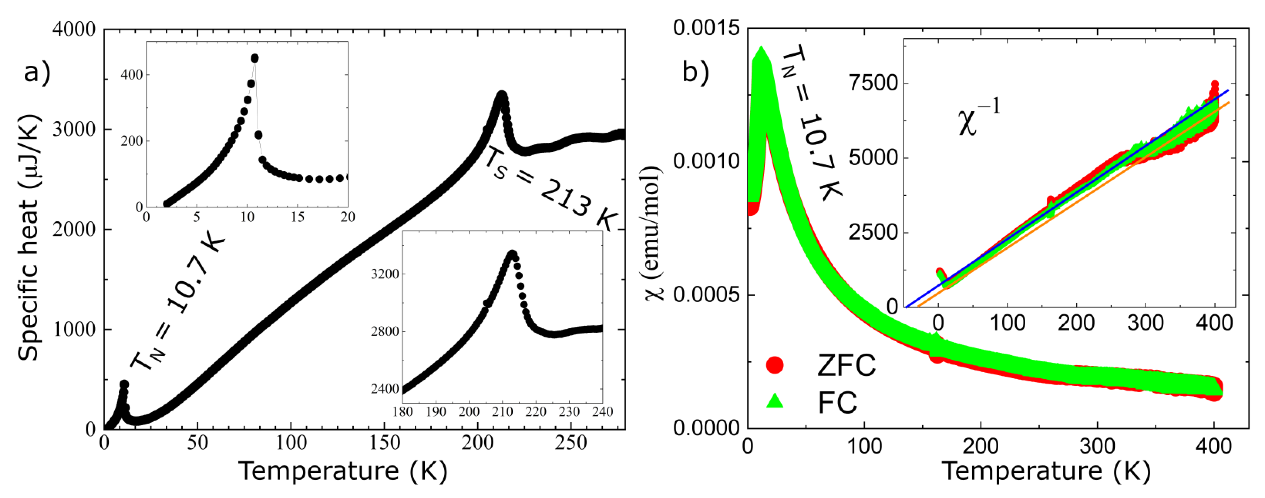
The agreement between the measured and calculated weight losses (3.7 mg and 0.93 mg) corresponding to the sublimation of exactly four and one water molecules implies a stoichiometric sample. Moreover, the two weight losses of water molecules are also consistent with the crystallographic structure at HT, which has two inequivalent Fe sites corresponding to the Fe2+ and Fe3+ ions, each with its own attached water molecules, and thus different activation energies. Besides the two main water losses, we also observe, in the DTA curve, the presence of two small dips around 560 °C and 705 °C with no changes in the TGA curve (thus, no weight loss), suggesting that at these temperatures, there are atomic rearrangements in the sample, consistent with previous reports [30]. SEM images, shown in Figure 2b to e, reveal crystals characterized by a needle-like shape with lengths of 50–200 μm and different widths. The particle size distribution chart that we obtained, shown in Figure 2f, does not have trends of a particular distribution, but if we assume a Gaussian distribution, we obtain a mean particle size of 125 μm with a standard deviation of 36 μm. The reason for the needle-like shape of the single crystal could be the pH of the solution used in the synthesis. The effects of the pH solution on the size and shape of the single crystal were demonstrated for calcium phosphate [45,46,47] and hydroxyapatite [48,49] crystals. Further studies are needed to understand the effects of the pH on the size and morphology of the iron phosphate’s crystals. Neutron powder diffraction does not show any impurity peaks, thus demonstrating the high quality of our sample. A Rietveld refinement of the data was successfully performed using the room temperature crystal structure model (see Figure 3). Using single crystal x-ray diffraction data recorded on beamline P24 at 100 K and 300 K, we found that the HT crystal structure was best described by the monoclinic space group P21/n with lattice parameters a = 8.7512(12) Å, b = 16.6203(29) Å, c = 5.1560(10) Å and β = 90.865(14)° [30]. However, at 100 K, additional reflections were seen at positions corresponding to (½, 0, ½) with respect to the HT cell, as shown in Figure 4. The LT data could be indexed in an enlarged monoclinic cell with a = 10.1057(25) Å, b = 16.5549(23) Å, c = 10.2414(14) Å and β = 119.423(7)°, corresponding to a doubling of the cell volume with respect to the HT cell. A schematic representation of the HT and LT crystal structures together with the crystallographic axes is shown in Figure 1. The LT crystal structure was solved in space group P21/c using the JANA2020 program [50] and Superflip [51]. The validity of the space group was confirmed from the group–subgroup analysis using the Bilbao Crystallographic Server [52]. Hydrogens were located from the Fourier difference maps and included in the refinements using a riding model with the usual constraints on distance and displacement parameter. Refinement statistics are listed in Table 1. Given the two different cells suggesting a temperature-dependent phase transition, a more extended dataset was thus collected on a laboratory X-ray diffractometer to locate the structural phase transition. The occurrence of these superlattice reflections, shown in Figure 4, was monitored as a function of temperature, and they were found to appear below 211(2) K. Additionally, the specific heat curve, shown in Figure 5a, shows a cusp at TS = 213(2) K, confirming the structural phase transition. The structural parameters of the two crystal structures at 300 K and 100 K are given in Table 2 and Table 3.
The crystal structures at 300 K and 100 K are illustrated in Figure 1 using VESTA [53]. Previously reported Mössbauer spectroscopy measurements at room temperature found that the two nonequivalent Fe sites have different oxidation states. Thus, the FeO6 octahedra have been colored to highlight the distribution of Fe2+ and Fe3+ sites (Fe2+O6—cyan and Fe3+O6—beige and orange, depending on the HT or LT crystal structure). At 300 K, the crystal structure, shown in Figure 1a, consists of layers of octahedra perpendicular to the b-axis, with the Fe2+O6 layers alternating with wrinkled Fe3+O6 layers. Within the Fe2+O6 layers, the octahedral tilts (red arrows) are aligned in the bc-plane, oscillating around the b-axis. Within the wrinkled Fe3+O6 layers, the octahedral tilts (blue arrows) are aligned in the ac-plane, oscillating around the a-axis.
The FeO6 octahedra are neither corner- nor edge-shared but rather linked together by PO4 tetrahedra. The bond lengths and bond-valence sums within the FeO6 octahedra, shown in Table 4, were obtained using the program VESTA [54] and bond-valence parameters from [55] using R0 = 1.734 Å and b = 0.37 Å. The Fe2+O6 octahedra have pairs of long (Fe12+–O(3) ~2.213 Å), medium (Fe12+–O(5) ~2.155 Å) and short (Fe12+–O(10) ~2.065 Å) Fe–O bonds forming the three principal axes of the octahedron. At the corners of the octahedron, for the longest Fe-O bond, there is an associated OH group (O(3)–H1O3 bond), for the medium Fe-O bond, there is an associated H2O water molecule (O(5)–H1O5 and O(5)–H2O5 bonds), while, for the shortest Fe-O bond, there are no H ions or H2O molecules attached to the oxygen. In previous reports, this environment was described as the hydrogen having a donor–acceptor character, donating or removing charge from the octahedron [30]. The apical hydrogen, H1O3, is shared with a neighboring PO4 tetrahedron. The bonds within the Fe3+O6 octahedra are generally shorter than in the Fe2+O6 octahedra, and they are all distinct in the range of ~1.924 Å to ~2.084 Å, giving the octahedron a slightly more irregular shape. In both octahedra, the longest bonds (Fe12+–O(3) ~2.213 Å x2) for Fe2+O6 and (Fe23+–O(9) ~2.084 Å x1) for Fe3+O6 are associated with water molecules at octahedra corners. For the Fe3+O6 octahedra, along the direction of the longest bond Fe–O (Fe23+–O(9) ~2.084 Å), at the opposite corner of the water molecule (Fe23+–O(4) ~1.994 Å), there is no apical hydrogen shared between O(4) and the PO4 tetrahedron. This is different from the case of the Fe2+O6 octahedra where water molecules are found at both ends of the longest Fe-O bonds. Bond-valence sums, given in Table 4, suggest mixed valence for the Fe ions in the Fe3(PO3OH)4(H2O)4 compound, with the Fe2+ and Fe3+ oxidation states consistent with earlier reported Mössbauer spectra [30].
Further, we focused on the electronic properties and discuss the absorption (F) spectra, which were obtained from the corresponding reflectance (R) spectra by applying the Kubelka−Munk function [56]. The optical absorption spectrum in the UV–visible region (250–800 nm), shown in Figure 6, has three absorption peaks: an intense and broad peak around 308 nm followed by two smaller peaks around 380 nm and 415 nm which indicates a visible-light absorption ability for the Fe3(HPO4)4(H2O)4 mixed iron phosphate compound. The mixed valence character is also inferred from the similarities of the absorption spectra (similar trends in position and strength of the absorption peaks) with the spectra of the mixed valence barbosalite (Fe2+)(Fe3+)2(PO3OH)2(OH)2. We would like to mention that various mechanisms are reported in the literature to explain similar absorption spectra for mixed valence compounds. Some of them are based on the idea of polaronic transfer (intervalence charge transfer, as the electron transfer between Fe2+ and Fe3+ may be mediated by O2− ions) [57,58,59], while other mechanisms have their origins in the Fe3+ d-d transitions [60]. Thus, bond-valence, added together with the absorption spectra and previously reported Mössbauer spectra at HT [30], is consistent with the mixed valence character of type (Fe2+)(Fe3+)2(PO3OH)4(H2O)4. The applicability of the mixed valence iron barbosalite Fe3(PO4)2(OH)2 compound for visible light absorption is shown in [26,61,62]. Owing to the similarities in properties with the barbosalite Fe3(PO4)2(OH)2 compound, we expect that Fe3(PO3OH)4(H2O)4 could also have potential applications for visible light absorption.
For a better presentation of the macroscopic measurements of this material, we also extracted the optical gap using the Tauc method [61,62]. This method assumes that the energy-dependent absorption coefficient F(R) can be expressed in terms of the incident photon energy (hυ) and the band gap energy Eg by the following expression [F(R) hυ]n = C (hυ-Eg), where C is a constant and n is a coefficient whose value is determined by the type of electronic transition giving rise to the absorption and can take the values 2 or ½ for direct and indirect band gaps, respectively. Figure 6b shows the reflectance data transformed according to the expression above. The spectra show a linear regime (steep linear change) which is characteristic for wide band gap semiconductors. The intersection point between the extrapolation of the linear fit of the Tauc plot with the energy axis offers an estimate of the optical band gap energy which, in this case, is Eg ~ 3.64 eV (here, we assume that the gap is a result of a direct electronic transition).
In order to obtain qualitative insights into the microscopic properties, we have performed nonmagnetic calculations for the HT unit cell. The results are presented in Figure 7 as orbital projected density of states (PDOS). In each panel, the PDOS is plotted in two energy panels, one around the Fermi energy (−1.04 eV to 1.7 eV) and the other below the Fermi energy (−9.2 eV to −0.96 eV), to point out the different scales of DOS. As discussed in Section 2, the Fe2+ and Fe3+ d-PDOS are labeled by t1, t2, t3, e1 and e2. A schematic representation of these quasi-atomic orbitals given in the local orthogonal coordinate XYZ system of the oxygen ions can be seen in Figure 7a,b for Fe2+ and Fe3+, respectively. Looking at the PDOS plots, we can identify three energy regions depending on the strength of DOS. The first region around the Fermi energy, between 1.7 and −1.0 eV, where the largest contribution comes from the Fe d−PDOS, the second region, between −1 eV and −5.5 eV, where the largest contribution comes from the O p−PDOS, and the third region, between −5.5 eV and −9.2 eV, where the largest contribution comes from the P/H p/s−PDOS. Of course, due to hybridization between the Fe−d, O−p, P−p and H−s states, we find some contributions of all PDOS states in the three energy regions. From Figure 7c,d for Fe2+ and Figure 7g,h for the Fe3+ ions, we see that the t−type orbitals have equally strong hybridization with the oxygen ions in the second energy region while the e–type orbitals hybridize stronger in the third energy region. This is expected if we look at Figure 7a,b, where we see that the e–type orbitals are pointing directly towards the corners of the octahedra and thus, towards the oxygen ions, while the t–type orbitals are pointing towards the face of the octahedra, thus, in between the oxygen ions. We also observed that the crystal field significantly splits the t−type orbitals for Fe2+, while for Fe3+, they look almost degenerate (see Figure 7c,g) in the first energy region. In terms of orbital occupation, we see that for Fe2+, the t1 orbital is fully occupied, the t2 and t3 orbitals are mostly occupied and the e1 and e2 orbitals are slightly occupied due to the covalent bonding with the O, P and H ions due to hybridization. For Fe3+, all t orbitals are mostly occupied and the e orbitals slightly occupied due to the covalent bonding. Thus, we see that t orbitals have a higher occupation for the Fe2+ than for Fe3+, which is qualitatively consistent with the mixed valence scenario.
Now, we turn our attention to the LT crystal structure, shown in Figure 1b. The structural phase transition below TS consists of the sudden rotation of the Fe3+ octahedra accompanied by slight distortions of the Fe-O bonds. The Fe2+ site remains a single crystallographic site within the LT unit cell (Fe2 in Table 3), whilst the Fe3+ site splits into two inequivalent sites (Fe1 and Fe3 in Table 3). These are colored as cyan (Fe2+O6) and beige/orange for the (Fe3+O6). We first discuss the individual octahedra. The bond-lengths and bond-valence sums within the FeO6 octahedra at 100 K are listed in Table 4. The Fe2+O6 octahedra distorts such that all six Fe-O bonds are of different lengths. These can still be grouped into long (Fe22+–O(3) ~2.192 Å and Fe22+–O(1) ~2.185 Å), medium (Fe22+–O(12) ~2.162 Å and Fe22+–O(16) ~2.139 Å) and short (Fe22+–O(20) ~2.075 Å and Fe22+–O(18) ~2.062 Å) bonds with their associated presence or absence of hydrogen. In the two LT inequivalent Fe3+O6 octahedra, the Fe-O bond associated with a water molecule shortens/elongates in the beige (Fe13+–O(17) ~2.060 Å)/orange (Fe33+–O(15) ~2.120 Å) octahedra, respectively, when compared with the corresponding Fe-O bond of the HT phase (~2.084 Å). It appears that the orange Fe3+O6 octahedra are becoming a bit more regular with respect to their bond lengths, whilst the distortions remain similar in the beige octahedra compared to the 300 K Fe3+O6 octahedra. Next, we discuss the octahedral arrangements within the lattice. The Fe2+O6 slabs remain planar as in the HT phase, whilst, within the wrinkled Fe3+O6 layers, the octahedra splits into two inequivalent octahedra (orange and beige) due to rotations, as shown by the black arrows in Figure 1c.
To understand the effects of distortions in the Fe3+O6 octahedra in the LT phase on the electronic properties, we have performed additional calculations using the crystal structure outlined in Table 3. By carefully analyzing the PDOS for all the atoms in the LT unit cell, we could again identify three energy regions (depending on the strength of DOS) with similar trends in the hybridization of the states in the three energy regions, similar to the calculations for the HT. Fe d-PDOS are presented in Figure 8c–e. For comparison purposes, in Figure 8a,b, we again plot Fe d–PDOS calculated for the HT. Comparing the PDOS for the Fe2+ ions in the two temperature regimes, we observe that there are very small changes in the energy position and shape of the main PDOS peaks, which is consistent with the small structural distortions of the Fe–O bonds within the local Fe2+O6 octahedra (see Table 4). However, we find visible changes in the energy position and shape for the Fe3+ DOS compared with the HT DOS. With increasing/decreasing the Fe-O bond along the direction of the e23+-type orbital, its PDOS energy position is decreasing/increasing (see Figure 8d,e) compared with panel b, as expected, for example, in the case of a Jahn–Teller distortion. The electronic configuration of the Fe3+ ions is d5, and the local environment at HT is already a distorted octahedron, thus, Jahn–Teller-like distortions are probably not the reason for the LT structural distortions. The similarity between the HT- and LT-PDOS for the Fe2+ and Fe3+ ions give us another indication that, at low temperature, we still have mixed valence of Fe ions (in addition to the bond valence sums). The pattern of the structural distortions at LT, together with the mixed valence character of Fe ions, points to some unusual electronic states in the Fe3(PO3OH)4(H2O)4 compound. We see similarities with other systems such as AgNiO2, where a pattern of structural distortions exists at LT and is associated with a charge-disproportionation inside a metallic state [63,64], BiMnO3 and LaMnO3, where a pattern of structural distortions exists at LT and is associated with an orbital order that can be interpreted as site and orbital selectivity [65,66,67,68,69], RNiO3, where a pattern of structural distortions exists at LT and is associated with a metal to insulator transition [70,71,72,73], TM2Mo3O8 (TM = Mn, Fe, Co, Ni, Zn), where tiny structural distortions exist together with band and Mott gaps within the same electronic state [74,75], etc. Thus, our work shows that further theoretical and experimental studies are necessary to obtain deeper insights into the electronic–structural interplay responsible for the structural phase transition discovered in the Fe3(PO3OH)4(H2O)4 compound.
Other macroscopic properties such as specific heat and magnetic susceptibility have been measured. At lower temperature, both specific heat and magnetic susceptibility show the onset of long-range magnetic order at around TN~11 K, as shown in Figure 5. However, no peak is seen in the magnetic susceptibility at the structural transition, implying that this is a purely structural transition. Combining all the information, we suggest that the structural phase transition is most likely induced by the electronic instabilities of the Fe3+ ions. The inverse susceptibility shows two linear regimes in the paramagnetic state, spanning between 40 K–250 K and 250 K–300 K. The Curie–Weiss fits in these regimes result in Curie temperatures of approximately −50 K and slightly lower, both consistent with antiferromagnetic ordering. The Curie–Weiss behavior is consistent with the presence of a local moment on the Fe sites, which shows the existence of strong correlations between the d electrons of the Fe ions. Thus, to obtain quantitative results, a more appropriate theoretical method should be used to investigate this material, such as density functional theory plus embedded dynamical mean field theory [39,40,41,42,43]. Although the theoretical method used in this paper is good to obtain qualitative results about the electronic properties, it cannot describe the presence of local moments on the Fe ions in the paramagnetic state or the existence of a gap, as demonstrated by the Tauc plot.
For a complete characterization of the structural transition, we also present the temperature-dependent evolution of the structural parameters. They evolve smoothly, above and below the phase transition, as shown in Figure 9. Powder neutron diffraction experiments are underway to solve the magnetic structure. The Supporting Information contains an animation of the crystal structure as a function of temperature, with the crystal structure projected along the three principal crystallographic axes with respect to the LT cell.

4. Conclusions

In this paper, we propose a new route to synthesize the mixed valence mineral (Fe2+)(Fe3+)2(PO3OH)4(H2O)4. We have performed a series of microscopic and macroscopic measurements such as single crystal x-ray diffraction, specific heat, magnetic susceptibility and optical reflectance. Temperature dependent x-ray measurements showed the presence of an isostructural monoclinic phase transition at TS~213 K, with the HT crystal structure being described by the monoclinic P21/n setting, while the LT crystal structure (with a doubled volume) was described by the P21/c setting. Specific heat and magnetic susceptibility measurements confirm the presence of the structural transition at TS and, in addition, they reveal the presence of a magnetic transition at lower temperatures (TN~11 K). HT reflectance spectra, plotted as the Tauc plot, give an optical energy gap of 3.64 eV. Theoretical calculations, within the density functional theory, performed for both the HT and LT crystal structures, are presented in the form of orbital projected density of states. We find a correspondence between the orbital projected density of states and the distortions of the Fe octahedra, which implies some kind of electronic order, for example, orbital or charge order, on the Fe3+ sites. We also discuss the qualitative hybridization of the Fe-d, P-p, O-p and H-s states.
In conclusion, we have studied the structural properties of the mixed valence mineral (Fe2+)(Fe3+)2(PO3OH)4(H2O)4 using single crystal x-ray diffraction, powder diffraction, specific heat and magnetic susceptibility measurements, and we reveal, for the first time, the presence of a phase transition which, we believe, is a consequence of the Fe2+/Fe3+ mixed valence and a complex electronic–structural interplay. Experimental results corroborated by first principle calculations suggest that the mechanism responsible for the structural phase transition is some kind of electronic order. Similar transitions may exist in other mixed valence iron phosphates and could have an impact on the electrochemical performance of iron phosphates used as cathode materials.

Supplementary Materials

The following supporting information can be downloaded at: https://www.mdpi.com/article/10.3390/ma15228059/s1, Video S1: Evolution of the crystal structure viewed along aLT axis, Video S2: Evolution of the crystal structure viewed along bLT axis and Video S3: Evolution of the crystal structure viewed along cLT axis.

Author Contributions

Conceptualization, M.J.G. and G.L.P.; data curation, M.P., M.J.G., G.S., P.S., C.P., M.P., M.T. and P.M.; funding acquisition, G.L.P.; formal analysis, M.J.G., G.L.P., V.P. and P.S.; Investigation, M.P., M.J.G., G.L.P., G.S., P.S., M.T. and P.M.; methodology, M.P., G.L.P., P.V. (Paulina Vlazan), P.S. and P.V. (Philippe Veber); resources, M.P, G.S., P.V. (Paulina Vlazan), P.S., C.P., M.P., M.T. and P.M.; software, V.P.; validation, M.J.G., P.V. (Philippe Veber) and G.L.P.; visualization, M.P., M.J.G. and G.L.P.; writing—original draft, M.P., M.J.G. and G.L.P.; writing—review & editing, M.P., M.J.G., G.L.P., V.P., G.S., P.V. (Paulina Vlazan), P.S., C.P., M.P., P.M., M.T. and P.V. (Philippe Veber); project administration, G.L.P. All authors have read and agreed to the published version of the manuscript.

Funding

M.P. and G.L.P.’s work was supported by a grant of the Romanian Ministry of Education and Research, CNCS-UEFISCDI, project number PN-III-P1-1.1-TE-2019-1767, within PNCDI III.

Institutional Review Board Statement

Not applicable.

Informed Consent Statement

Not applicable.

Data Availability Statement

The data used to support the findings of this study are available from the corresponding authors upon request.

Acknowledgments

We acknowledge access to the X-ray single crystal facilities in the Materials Characterization Laboratory at the ISIS Facility. We would like to thank Daniel Nye for help with setting up the diffractometer. DESY (Hamburg, Germany), a member of the Helmholtz Association HGF, is being acknowledged for the provision of experimental facilities. Parts of this research were carried out at PETRA III at beamline P24. We thank A. Dabici for UV–Vis spectroscopy measurements. Computing resources for the theoretical calculations were provided by STFC Scientific Computing Department’s SCARF cluster. Preparation of the input files and data processing for the theoretical calculations were performed on the local cluster at USV, obtained through a grant of the Romanian Ministry of Education and Research, CNCS—UEFISCDI, project number PN-III-P1-1.1-TE-2019-1767, within PNCDI III.

Conflicts of Interest

The authors declare no conflict of interest.

References

  1. Tian, Y.; Zeng, G.; Rutt, A.; Shi, T.; Kim, H.; Wang, J.; Koettgen, J.; Sun, Y.; Ouyang, B.; Chen, T.; et al. Promises and Challenges of Next-Generation “Beyond Li-ion” Batteries for Electric Vehicles and Grid Decarbonization. Chem. Rev. 2021, 121, 1623–1669. [Google Scholar] [CrossRef] [PubMed]
  2. Chen, Y.; Kang, Y.; Zhao, Y.; Wang, L.; Liu, J.; Li, Y.; Liang, Z.; He, X.; Li, X.; Tavajohi, N.; et al. A review of lithium-ion battery safety concerns: The issues, strategies, and testing standards. J. Energy Chem. 2021, 59, 83–99. [Google Scholar] [CrossRef]
  3. Weiss, M.; Ruess, R.; Kasnatscheew, J.; Levartovsky, Y.; Levy, N.R.; Minnmann, P.; Stolz, L.; Waldmann, T.; Wohlfahrt-Mehrens, M.; Aurbach, D.; et al. Fast Charging of Lithium-Ion Batteries: A Review of Materials Aspects. Adv. Energy Mater. 2021, 11, 2101126. [Google Scholar] [CrossRef]
  4. Kim, T.; Song, W.; Son, D.Y.; Ono, L.K.; Qi, Y. Lithium-ion batteries: Outlook on present, future, and hybridized technologies. J. Mater. Chem. A 2019, 7, 2942–2964. [Google Scholar] [CrossRef]
  5. Manthiram, A. A reflection on lithium-ion battery cathode chemistry. Nat. Commun. 2020, 11, 1550. [Google Scholar] [CrossRef]
  6. Kim, H.-J.; Krishna, T.; Zeb, K.; Rajangam, V.; Gopi, C.V.V.M.; Sambasivam, S.; Raghavendra, K.V.G.; Obaidat, I.M. A Comprehensive Review of Li-Ion Battery Materials and Their Recycling Techniques. Electronics 2020, 9, 1161. [Google Scholar] [CrossRef]
  7. Chen, J. Recent Progress in Advanced Materials for Lithium Ion Batteries. Materials 2013, 6, 156–183. [Google Scholar] [CrossRef]
  8. Yuan, L.-X.; Wang, Z.-H.; Zhang, W.-X.; Hu, X.-L.; Chen, J.-T.; Huang, Y.-H.; Goodenough, J.-B. Development and Challenges of LiFePO4 Cathode Material for Lithium-Ion Batteries. Energy Environ. Sci. 2011, 4, 269–284. [Google Scholar] [CrossRef]
  9. Marx, N.; Croguennec, L.; Carlier, D.; Wattiaux, A.; Cras, F.L.; Suard, E.; Delmas, C. The structure of tavorite LiFePO4(OH) from diffraction and GGA + U studies and its preliminary electrochemical characterization. Dalton Trans. 2010, 39, 5108. [Google Scholar] [CrossRef]
  10. Nanjundaswamy, K.S.; Padhi, A.K.; Goodenough, J.B.; Okada, S.; Ohtsuka, H.; Arai, H.; Yamaki, J. Synthesis, redox potential evaluation and electrochemical characteristics of NASICON-related-3D framework compounds. Solid State Ion. 1996, 92, 1–10. [Google Scholar] [CrossRef]
  11. Masquelier, C.; Padhi, A.; Nanjundaswamy, K.; Goodenough, J.B. New cathode materials for rechargeable lithium batteries: The 3-D framework structures Li3Fe2(XO4)3(X = P, As). J. Solid State Chem. 1998, 135, 228–234. [Google Scholar] [CrossRef]
  12. Padhi, A.K.; Nanjundaswamy, K.S.; Goodenough, J.B. Phospho-olivines as Positive-Electrode Materials for Rechargeable Lithium Batteries. J. Electrochem. Soc. 1997, 144, 1188–1194. [Google Scholar] [CrossRef]
  13. Moore, P.B. Crystal chemistry of the basic iron phosphate. Am. Mineral. 1970, 55, 135–169. [Google Scholar]
  14. Mille, J.M.M. FePO Catalysts for the Selective Oxidative Dehydrogenation of Isobutyric Acid into Methacrylic Acid. Catal. Rev. Sci. Eng. 1998, 40, 1–38. [Google Scholar] [CrossRef]
  15. Millet, J.M.M.; Rouzies, D.; Vedrine, J.C. Isobutyric acid oxidative dehydrogenation over iron hydroxyphosphates. II. Tentative description of the catalytic sites based on Mossbauer spectroscopic study. Appl. Catal. A Gen. 1995, 124, 205–219. [Google Scholar] [CrossRef]
  16. Mahmoud, A.; Caes, S.; Brisbois, M.; Hermann, R.P.; Berardo, L.; Schrijnemakers, A.; Malherbe, C.; Eppe, G.; Cloots, R.; Vertruyen, B.; et al. Spray-drying as a Tool to Disperse Conductive Carbon Inside Na2FePO4F Particles by Addition of Carbon Black or Carbon Nanotubes to the Precursor Solution. J. Solid State Electrochem. 2018, 22, 103–112. [Google Scholar] [CrossRef]
  17. He, L.; Li, H.; Ge, X.; Li, S.; Wang, X.; Wang, S.; Zhang, L.; Zhang, Z. Iron-Phosphate-Based Cathode Materials for Cost-Effective Sodium-Ion Batteries: Development, Challenges, and Prospects. Adv. Mater. Interfaces 2022, 9, 2200515. [Google Scholar] [CrossRef]
  18. Hadouchi, M.; Koketsu, T.; Hu, Z.; Ma, J. The origin of fast-charging lithium iron phosphate for batteries. Battery Energy 2022, 1, 20210010. [Google Scholar] [CrossRef]
  19. Nitta, N.; Wu, F.; Lee, J.T.; Yushin, G. Li-ion battery materials: Present and future. Mater. Today 2015, 18, 252–264. [Google Scholar] [CrossRef]
  20. Rosado, R.; del Campillo, M.C.; Martínez, M.A.; Barrón, V.; Torrent, J. Long-term effectiveness of vivianite in reducing iron chlorosis in olive trees. Plant Soil 2002, 241, 139–144. [Google Scholar] [CrossRef]
  21. Scott, D.A.; Eggert, G. The vicissitudes of vivianite as pigment and corrosion product. Stud. Conserv. 2007, 52 (Suppl. 1), 3–13. [Google Scholar] [CrossRef]
  22. Redhammer, G.J.; Tippelt, G.; Roth, G.; Lottermoser, W.; Amthauer, G. Structure and Mossbauer spectroscopy of barbosalite Fe2+Fe3+2(PO4)2(OH)2 between 80 K and 300 K. Phys. Chem. Miner. 2000, 27, 419–429. [Google Scholar] [CrossRef]
  23. Sandineni, P.; Ghosh, K.; Choudhury, A. Electrochemistry of illusive barbosalite, Fe2+Fe3+2(PO4)2(OH)2: An iron phosphate related to lipscombite structure. J. Electrochem. Soc. 2019, 166, A3585–A3592. [Google Scholar] [CrossRef]
  24. Frost, R.L.; Xi, Y.; López, A.; Scholz, R.; de Carvalho Lana, C.; e Souza, B.F. Vibrational spectroscopic characterization of the phosphate mineral barbosalite Fe2+Fe23+(PO4)2(OH)2—Implications for the molecular structure. J. Mol. Struct. 2013, 1051, 292–298. [Google Scholar] [CrossRef]
  25. Poienar, M.; Damay, F.; Rouquette, J.; Ranieri, V.; Malo, S.; Maignan, A.; Elkaïm, E.; Haines, J.; Martin, C. Structural and magnetic characterization of barbosalite Fe3(PO4)2(OH)2. J. Solid State Chem. 2020, 287, 121357. [Google Scholar] [CrossRef]
  26. Poienar, M.; Taranu, B.O.; Svera, P.; Sfirloaga, P.; Vlazan, P. Disclosing the thermal behaviour, electrochemical and optical properties of synthetic Fe3(PO4)2(OH)2 materials. J. Therm. Anal. Calorim. 2022, 147, 11839–11855. [Google Scholar] [CrossRef]
  27. Gheith, M.A. Lipscombite: A new synthetic ‘iron lazulite’. Am. Mineral. 1953, 38, 612–628. [Google Scholar]
  28. Dollé, M.; Patoux, S.; Richardson, T.J. Lithium insertion chemistry of phosphate phases with the lipscombite structure. J. Power Source 2005, 144, 208–213. [Google Scholar] [CrossRef]
  29. Poienar, M.; Sfirloaga, P.; Vlazan, P. Investigation of thermal and magnetic behaviour of mixed valence iron hydroxyphosphate from Fe3(PO4)2(OH)2 lipscombite systems. Ceram. Int. 2019, 45, 16540–16544. [Google Scholar] [CrossRef]
  30. Vencato, I.; Mascarenhas, Y.P.; Mattievich, E. The crystal structure of FeFe2(PO3OH)4(H2O)4: A new synthetic compound of mineralogic interest. Am. Mineral. 1986, 71, 222. [Google Scholar]
  31. Speer, J.A.; Gibbs, G.V. The crystal structure of synthetic titanite, CaTiOSiO4, and the domain textures of natural titanites. Am. Mineral. 1976, 61, 238–247. [Google Scholar]
  32. Forsyth, J.B.; Johnson, C.E.; Wilkinson, C.J. The magnetic structure of vivianite, Fe3(PO4)2.8H2O. Phys. C 1970, 3, 1127. [Google Scholar] [CrossRef]
  33. Frost, R.L.; Weier, M.L.; Lyon, W. Metavivianite an intermediate mineral phase between vivianite, and ferro/ferristrunzite—A Raman spectroscopic study. Neues Jahrb. Für Mineral. 2004, 5, 228–240. [Google Scholar] [CrossRef]
  34. Rigaku Oxford Diffraction. CrysAlisPro Software System, version 1.171.40.53; Rigaku Corporation: Wroclaw, Poland, 2009.
  35. Kabsch, W. XDS. Acta Cryst. D 2010, 66, 125–132. [Google Scholar] [CrossRef] [PubMed]
  36. Duxbury, D.; Khalyavin, D.; Manuel, P.; Raspino, D.; Rhodes, N.; Schooneveld, E.; Spill, E. Operational performance characteristics of the WISH detector array on the ISIS spallation neutron source. J. Instrum. 2014, 9, C12008. [Google Scholar] [CrossRef][Green Version]
  37. Blaha, P.; Schwarz, K.; Tran, F.; Laskowski, R.; Madsen, G.K.H.; Marks, L.D. WIEN2k: An APW + lo program for calculating the properties of solids. J. Chem. Phys. 2020, 152, 074101. [Google Scholar] [CrossRef]
  38. Perdew, J.P.; Burke, K.; Ernzerhof, M. Generalized Gradient Approximation Made Simple. Phys. Rev. Lett. 1996, 77, 3865. [Google Scholar] [CrossRef]
  39. Haule, K.; Yee, C.-H.; Kim, K. Dynamical mean-field theory within the full-potential methods: Electronic structure of CeIrIn5, CeCoIn5, and CeRhIn5. Phys. Rev. B 2010, 81, 195107. [Google Scholar] [CrossRef]
  40. Haule, K. Structural predictions for correlated electron materials using the functional dynamical mean field theory approach. J. Phys. Soc. Jpn. 2018, 87, 041005. [Google Scholar] [CrossRef]
  41. Paul, A.; Birol, T. Applications of DFT + DMFT in materials science. Ann. Rev. Mater. Res. 2019, 49, 31. [Google Scholar] [CrossRef]
  42. Haule, K.; Pascut, G.L. Forces for structural optimizations in correlated materials within a DFT + embedded DMFT functional approach. Phys. Rev. B 2016, 94, 195146. [Google Scholar] [CrossRef]
  43. Koçer, C.P.; Haule, K.; Pascut, G.L.; Monserrat, B. Efficient lattice dynamics calculations for correlated materials with DFT + DMFT. Phys. Rev. B 2020, 102, 245104. [Google Scholar] [CrossRef]
  44. Brindusoiu, S.; Poienar, M.; Marin, C.N.; Sfirloaga, P.; Vlazan, P.; Malaescu, I. The electrical conductivity of Fe3(PO4)2·8H2O materials. J. Mater. Sci. Mater. Electron. 2019, 30, 15693–15699. [Google Scholar] [CrossRef]
  45. Lin, K.; Wu, C.; Chang, J. Advances in synthesis of calcium phosphate crystals with controlled size and shape. Acta Biomater. 2014, 10, 4071–4102. [Google Scholar] [PubMed]
  46. Kim, T.-G.; Park, B. Synthesis and Growth Mechanisms of One-Dimensional Strontium Hydroxyapatite Nanostructures. Inorg. Chem. 2005, 44, 9895–9901. [Google Scholar] [CrossRef] [PubMed]
  47. Swain, S.K.; Sarkar, D. A comparative study: Hydroxyapatite spherical nanopowders and elongated nanorods. Ceram. Int. 2011, 37, 2927–2930. [Google Scholar] [CrossRef]
  48. Sadat-Shojai, M.; Khorasani, M.T.; Dinpanah-Khoshdargi, E.; Jamshidi, A. Synthesis methods for nanosized hydroxyapatite with diverse structures. Acta Biomater. 2013, 9, 7591–7621. [Google Scholar] [CrossRef] [PubMed]
  49. Chen, J.D.; Wang, Y.J.; Wei, K.; Zhang, S.H.; Shi, X.T. Self-organization of 2559 hydroxyapatite nanorods through oriented attachment. Biomaterials 2007, 28, 2275–2280. [Google Scholar] [CrossRef] [PubMed]
  50. Petricek, V.; Dusek, M.; Palatinus, L. Crystallographic Computing System JANA2006: General features. Z. Kristallogr. 2014, 229, 345–352. [Google Scholar] [CrossRef]
  51. Palatinus, L.; Chapuis, G. Superflip—A computer program for the solution of crystal structures by charge flipping in arbitrary dimensions. J. Appl. Cryst. 2007, 40, 786–790. [Google Scholar] [CrossRef]
  52. Aroyo, M.I.; Perez-Mato, J.M.; Orobengoa, D.; Tasci, E.; G de la Flor Kirov, A. Crystallography online: Bilbao Crystallographic Server. Bulg. Chem. Commun. 2011, 43, 183–197. [Google Scholar]
  53. Brese, N.E.; O’Keefe, N. Bond-valence parameters for solids. Acta Cryst. 1991, B47, 192–197. [Google Scholar] [CrossRef]
  54. Momma, K.; Izumi, F. VESTA 3 for three-dimensional visualization of crystal, volumetric and morphology data. J. Appl. Crystallogr. 2011, 44, 1272–1276. [Google Scholar] [CrossRef]
  55. Brown, I.D.; Altermatt, D. Bond-Valence Parameters Obtained from a Systematic Analysis of the Inorganic Crystal Structure Database. Acta Crystallogr. B 1985, 41, 244–247. Available online: www.iucr.org/data/datasets/bond-valence-parameters (accessed on 3 October 2022). [CrossRef]
  56. Grodzicki, M.; Redhammer, G.J.; Amthauer, G.; Schunemann, V.; Trautwein, A.X.; Velickov, B.; Schimid-Beurmann, P. Electronic structure of Fe-bearing lazulites. Am. Miner. 2003, 88, 481–488. [Google Scholar] [CrossRef]
  57. Fontijn, W.F.J.; van der Zaag, P.J.; Feiner, L.F.; Metselaar, R.; Devillers, M.A.C. A consistent interpretation of the magneto-optical spectra of spinel type ferrites (invited). J. Appl. Phys. 1999, 85, 5100. [Google Scholar] [CrossRef]
  58. Allen, G.C.; Hush, N.S. Intervalence-transfer absorption. In Progress in Inorganic Chemistry; Cotton, F.A., Ed.; Interscience Publishers: New York, NY, USA, 1967. [Google Scholar]
  59. Sherman, D.M. Molecular orbital (SCF-Xα-SW) theory of metal-metal charge transfer processes in minerals. Phys. Chem. Miner. 1987, 14, 355–363. [Google Scholar] [CrossRef]
  60. Rada, S.; Dehelean, A.; Stan, M.; Chelcea, R.; Culea, E. Structural studies on iron–tellurite glasses prepared by sol–gel method. J. Alloys Compd. 2011, 509, 147–151. [Google Scholar] [CrossRef]
  61. Kubelka, P.; Munk, F. A Contribution to the Optics of Pigments. Z. Technol. Phys. 1931, 12, 593–599. [Google Scholar]
  62. Tauc, J.; Grigorovici, R.; Vancu, A. Optical Properties and Electronic Structure of Amorphous Germanium. Phys. Stat. Sol. 1966, 15, 627–637. [Google Scholar] [CrossRef]
  63. Wawrzyńska, E.; Coldea, R.; Wheeler, E.M.; Sörgel, T.; Jansen, M.; Ibberson, R.M.; Radaelli, P.G.; Koza, M.M. Charge disproportionation and collinear magnetic order in the frustrated triangular antiferromagnet AgNiO2. Phys. Rev. B 2008, 77, 094439. [Google Scholar] [CrossRef]
  64. Pascut, G.L.; Coldea, R.; Radaelli, P.G.; Bombardi, A.; Beutier, G.; Mazin, I.I.; Johannes, M.D.; Jansen, M. Direct Observation of Charge Order in Triangular Metallic AgNiO2 by Single-Crystal Resonant X-Ray Scattering. Phys. Rev. Lett. 2011, 106, 157206. [Google Scholar] [CrossRef] [PubMed]
  65. Rodríguez-Carvajal, J.; Hennion, M.; Moussa, F.; Moudden, A.H.; Pinsard, L.; Revcolevschi, A. Neutron-diffraction study of the Jahn-Teller transition in stoichiometric LaMnO3. Phys. Rev. B 1998, 57, R3189(R). [Google Scholar] [CrossRef]
  66. Colella, R.; Shen, Q. Resonant scattering and multiple Bragg X-ray diffraction in LaMnO3. a classical view. Acta Cryst. 2006, A62, 459–462. [Google Scholar] [CrossRef] [PubMed]
  67. Yang, C.-H.; Koo, J.; Song, C.; Koo, T.Y.; Lee, K.-B.; Jeong, Y.H. Resonant x-ray scattering study on multiferroic BiMnO3. Phys. Rev. B 2006, 73, 224112. [Google Scholar] [CrossRef]
  68. Belik, A.A.; Iikubo, S.; Yokosawa, T.; Kodama, K.; Igawa, N.; Shamoto, S.; Azuma, M.; Takano, M.; Kimoto, K.; Matsui, Y.; et al. Origin of the Monoclinic-to-Monoclinic Phase Transition and Evidence for the Centrosymmetric Crystal Structure of BiMnO3. J. Am. Chem. Soc. 2007, 129, 971–977. [Google Scholar] [CrossRef]
  69. Pascut, G.L.; Haule, K. Role of Orbital Selectivity on Crystal Structures and Electronic States in BiMnO3 and LaMnO3 Perovskites. Available online: https://arxiv.org/abs/2005.12179 (accessed on 3 October 2022).
  70. Medarde, M.L. Structural, magnetic and electronic properties of RNiO3 perovskites (R = rare earth). J. Phys. Condens. Matter 1997, 9, 1679. [Google Scholar] [CrossRef]
  71. Garca-Muñoz, J.L.; Aranda MA, G.; Alonso, J.A.; Martnez-Lope, M.J. Structure and charge order in the antiferromagnetic band-insulating phase of NdNiO3. Phys. Rev. B 2009, 79, 134432. [Google Scholar] [CrossRef]
  72. Alonso, J.A.; García-Muñoz, J.L.; Fernández-Díaz, M.T.; Aranda, M.A.; Martínez-Lope, M.J.; Casais, M.T. Charge disproportionation in RNiO3 perovskites: Simultaneous metal-insulator and structural transition in ynio3. Phys. Rev. Lett. 1999, 82, 3871–3874. [Google Scholar] [CrossRef]
  73. Haule, K.; Pascut, G.L. Mott Transition and Magnetism in Rare Earth Nickelates and its Fingerprint on the X-ray Scattering. Sci. Rep. 2017, 7, 10375. [Google Scholar] [CrossRef]
  74. Stanislavchuk, T.N.; Pascut, G.L.; Litvinchuk, A.P.; Liu, Z.; Choi, S.; Gutmann, M.J.; Gao, B.; Haule, K.; Kiryukhin, V.; Cheong, S.-W.; et al. Spectroscopic and first principle DFT+eDMFT study of complex structural, electronic, and vibrational properties of M2Mo3O8 (M = Fe, Mn) polar magnets. Phys. Rev. B 2020, 102, 115139. [Google Scholar] [CrossRef]
  75. Park, K.; Pascut, G.L.; Khanal, G.; Yokosuk, M.O.; Xu, X.; Gao, B.; Gutmann, M.J.; Litvinchuk, A.P.; Kiryukhin, V.; Cheong, S.W.; et al. Band-Mott mixing hybridizes the gap in Fe2Mo3O8. Phys. Rev. B 2021, 104, 195143. [Google Scholar] [CrossRef]
Figure 1. Panels (a,b), shows the crystal structures at 300 K and 100 K from laboratory X-ray data; Fe2+O6 and Fe3+O6 octahedra are colored cyan and beige for the 300 K crystal structure, while they are colored cyan, beige and orange for the 100 K crystal structure; colored arrows are plotted inside the octahedra along the largest Fe-O bonds. Panel (c) shows a schematic view of the 100 K crystal structure, showing the three inequivalent octahedra and emphasizing the rotation (black arrow) of the two Fe3+ octahedra with respect to the 300 K crystal structure. The relation between the low-temperature (aLT, bLT, cLT) and room-temperature (aHT, bHT, cHT) lattice vectors is given by aLT = aHT + cHT, bLT = bHT, cLT = −aHT + cHT.
Figure 1. Panels (a,b), shows the crystal structures at 300 K and 100 K from laboratory X-ray data; Fe2+O6 and Fe3+O6 octahedra are colored cyan and beige for the 300 K crystal structure, while they are colored cyan, beige and orange for the 100 K crystal structure; colored arrows are plotted inside the octahedra along the largest Fe-O bonds. Panel (c) shows a schematic view of the 100 K crystal structure, showing the three inequivalent octahedra and emphasizing the rotation (black arrow) of the two Fe3+ octahedra with respect to the 300 K crystal structure. The relation between the low-temperature (aLT, bLT, cLT) and room-temperature (aHT, bHT, cHT) lattice vectors is given by aLT = aHT + cHT, bLT = bHT, cLT = −aHT + cHT.
Materials 15 08059 g001
Figure 2. Panel (a) TG measurements, indicating the weight evolution, between 30 °C and 750 °C (303 K to 1023 K). The grey line and arrow refer to the TG and the blue line and arrows to the HeatFlow, respectively. The inset photo shows the sample. Panels (be) SEM image for Fe2+Fe3+2(PO3OH)4(H2O)4 sample at different magnifications. Panel (f) is the single crystal length distribution chart.
Figure 2. Panel (a) TG measurements, indicating the weight evolution, between 30 °C and 750 °C (303 K to 1023 K). The grey line and arrow refer to the TG and the blue line and arrows to the HeatFlow, respectively. The inset photo shows the sample. Panels (be) SEM image for Fe2+Fe3+2(PO3OH)4(H2O)4 sample at different magnifications. Panel (f) is the single crystal length distribution chart.
Materials 15 08059 g002
Figure 3. Neutron diffraction measurements collected on WISH instrument at the ISIS spallation neutron source; black open circles represent data collected on bank 3 (2θ = 90 degrees) in panel (a) and bank 2 (2θ = 58 degrees) in panel (b); red solid line represents the results of the Rietveld refinement; blue solid line represents the difference between the model and the experimental data; green vertical lines represent the position of the d spacings corresponding to crystallographic planes in the crystal model.
Figure 3. Neutron diffraction measurements collected on WISH instrument at the ISIS spallation neutron source; black open circles represent data collected on bank 3 (2θ = 90 degrees) in panel (a) and bank 2 (2θ = 58 degrees) in panel (b); red solid line represents the results of the Rietveld refinement; blue solid line represents the difference between the model and the experimental data; green vertical lines represent the position of the d spacings corresponding to crystallographic planes in the crystal model.
Materials 15 08059 g003
Figure 4. Reconstructed (h 0 l) reciprocal space section at 300 K in panel (a) and 100 K in panel (b) from the data collected at beamline P24. Several superlattice reflections are marked by red circles; the inset shows the zoom in for one of the superlattice reflections.
Figure 4. Reconstructed (h 0 l) reciprocal space section at 300 K in panel (a) and 100 K in panel (b) from the data collected at beamline P24. Several superlattice reflections are marked by red circles; the inset shows the zoom in for one of the superlattice reflections.
Materials 15 08059 g004
Figure 5. Panel (a) shows the specific heat as a function of temperature; the two insets highlight the low temperature region around TN and high temperature region around TS, respectively, where TN and TS are the temperatures where we have the magnetic and structural phase transitions; panel (b), shows the magnetic susceptibility versus temperature in zero field cooled (ZFC, red symbols) and field cooled (FC, green symbols) mode (H = 100 Oe); the inset shows the inverse magnetic susceptibility data together with two solid lines representing linear fits of the Curie–Weiss behavior, to low and high temperature regions.
Figure 5. Panel (a) shows the specific heat as a function of temperature; the two insets highlight the low temperature region around TN and high temperature region around TS, respectively, where TN and TS are the temperatures where we have the magnetic and structural phase transitions; panel (b), shows the magnetic susceptibility versus temperature in zero field cooled (ZFC, red symbols) and field cooled (FC, green symbols) mode (H = 100 Oe); the inset shows the inverse magnetic susceptibility data together with two solid lines representing linear fits of the Curie–Weiss behavior, to low and high temperature regions.
Materials 15 08059 g005
Figure 6. Panel (a) UV–Vis absorption spectra in the 250–800 nm range; the arrows show the three optical bands at 308, 380 and 415 nm. Panel (b) Tauc plot for the direct bandgap; the gray arrow shows a fitted line to the linear part of the curve; the intercept of the gray solid line with the energy axis defines the value of the band gap.
Figure 6. Panel (a) UV–Vis absorption spectra in the 250–800 nm range; the arrows show the three optical bands at 308, 380 and 415 nm. Panel (b) Tauc plot for the direct bandgap; the gray arrow shows a fitted line to the linear part of the curve; the intercept of the gray solid line with the energy axis defines the value of the band gap.
Materials 15 08059 g006
Figure 7. Projected density of states for the atoms of the HT unit cell: Panels (a,b) show a schematic representation of the XYZ Cartesian coordinate system constructed to best fit the directions of the oxygen ions; the oxygen ions are represented by the red spheres and labeled according to Table 2 and Table 3; the t and e orbital are labeled by 2+ or 3+ depending on whether they correspond to Fe2+ or Fe3+. For each orbital, we show the contributions from the real orbitals, for example, t22+~(xz, yz) means the second orbital of the Fe2+ for which the t2 orbital is a linear combination of the real xz and yz orbitals. Panels (cj) show the projected density of states for the Fe-d, O-p, P-p and H-s atoms. Fermi energy is represented by the 0 value on the energy axis.
Figure 7. Projected density of states for the atoms of the HT unit cell: Panels (a,b) show a schematic representation of the XYZ Cartesian coordinate system constructed to best fit the directions of the oxygen ions; the oxygen ions are represented by the red spheres and labeled according to Table 2 and Table 3; the t and e orbital are labeled by 2+ or 3+ depending on whether they correspond to Fe2+ or Fe3+. For each orbital, we show the contributions from the real orbitals, for example, t22+~(xz, yz) means the second orbital of the Fe2+ for which the t2 orbital is a linear combination of the real xz and yz orbitals. Panels (cj) show the projected density of states for the Fe-d, O-p, P-p and H-s atoms. Fermi energy is represented by the 0 value on the energy axis.
Materials 15 08059 g007
Figure 8. Projected density of states for the Fe d- orbitals: Panels (a,b) show the Fe–d projected density of states for the HT unit cell; panels (ce) show the Fe–d projected density of states for the LT unit cell. Fermi energy is represented by the 0 value on the energy axis; panels (a,c) have the same legend; panels (d,e) also have the same legend as panel (a). Dotted vertical lines show the correspondence between the peaks in the PDOS computed for the HT and LT unit cell; black arrows in panels (d,e) show the opposite energy shifts in the LT e23+ PDOS peak’s position with respect to the HT PDOS peak.
Figure 8. Projected density of states for the Fe d- orbitals: Panels (a,b) show the Fe–d projected density of states for the HT unit cell; panels (ce) show the Fe–d projected density of states for the LT unit cell. Fermi energy is represented by the 0 value on the energy axis; panels (a,c) have the same legend; panels (d,e) also have the same legend as panel (a). Dotted vertical lines show the correspondence between the peaks in the PDOS computed for the HT and LT unit cell; black arrows in panels (d,e) show the opposite energy shifts in the LT e23+ PDOS peak’s position with respect to the HT PDOS peak.
Materials 15 08059 g008
Figure 9. Temperature dependent lattice parameters: panel (a) shows the lattice parameters, while panel (b) shows the monoclinic angle and the unit cell volume.
Figure 9. Temperature dependent lattice parameters: panel (a) shows the lattice parameters, while panel (b) shows the monoclinic angle and the unit cell volume.
Materials 15 08059 g009
Table 1. Data collection statistics at 300 K and 100 K from the P24 and Rigaku Oxford Diffraction instruments; 1st column provides the name of the physical quantities used to described the experiment and data analysis, 2nd and 3rd columns provide the values to the physical quantities from the P24 instrument, while the 4th and 5th columns list the values from the laboratory instrument.
Table 1. Data collection statistics at 300 K and 100 K from the P24 and Rigaku Oxford Diffraction instruments; 1st column provides the name of the physical quantities used to described the experiment and data analysis, 2nd and 3rd columns provide the values to the physical quantities from the P24 instrument, while the 4th and 5th columns list the values from the laboratory instrument.
InstrumentP24P24Rigaku Oxford
Diffraction Xtalab Synergy S
Rigaku Oxford
Diffraction Xtalab Synergy S
Empirical formulaFe3P4H12O20Fe3P4H12O20Fe3P4H12O20Fe3P4H12O20
Formula weight623.5623.5623.5623.5
Temperature300(4) K100(2) K300(4) K100(2) K
Wavelength0.5166 Å0.5166 Å0.71073 Å0.71073 Å
Crystal systemMonoclinicMonoclinicMonoclinicMonoclinic
Space groupP21/nP21/cP21/nP21/c
Unit cell dimensionsa = 8.7512(12) Å
b = 16.6203(29) Å
c = 5.1560(10) Å
β = 90.865(14)°
a = 10.1057(25) Å
b = 16.5549(23) Å
c = 10.2414(14) Å
β = 119.423(7)°
a = 8.7363(1) Å
b = 16.5905(2) Å
c = 5.1443(1) Å
β = 90.8860(13)°
a = 10.0916(2) Å
b = 16.5328(2) Å
c = 10.2303(2) Å
β = 119.449(3)°
Volume749.8(2) Å31492.3(5) Å3745.524(19) Å31486.31(6) Å3
Z2424
Density (calculated)2.7616 g/cm32.7752 g/cm32.7776 g/cm32.7864 g/cm3
Absorption coefficient1.337 mm−11.343 mm−13.425 mm−13.436 mm−1
F(000)62012406201240
Crystal size--0.32 × 0.06 × 0.05 mm30.32 × 0.06 × 0.05 mm3
Theta range for data collection1.78 to 43.09°1.68 to 43.1°2.46 to 37.565°2.33 to 37.88°
Index ranges−22 ≤ h ≤ 22
−43 ≤ k ≤ 43
−7 ≤ l ≤ 8
−25 ≤ h ≤ 26
−43 ≤ k ≤ 43
−23 ≤ l ≤ 24
−15 ≤ h ≤ 14
−28 ≤ k ≤ 28
−8 ≤ l ≤ 8
−17 ≤ h ≤ 17
−28 ≤ k ≤ 28
−17 ≤ l ≤ 17
Reflections collected30,68564,52432,66964,953
Independent reflections (I > 3σ(I)/all)7710/811414,661/17,6883261/38635263/7690
R(int)0.0710.06450.05190.0571
Absorption correctionEmpiricalEmpiricalNumerical Gauss IntegrationNumerical Gauss Integration
Max. and min. transmission1.0 and 0.411.0 and 0.47
Refinement methodFull-matrix least-squares on F2Full-matrix least-squares on F2Full-matrix least-squares on F2Full-matrix least-squares on F2
Data/constraints/parameters8114/24/12517,688/48/2453863/24/1247690/48/244
Goodness-of-fit on F2 (I > 3σ(I)/all)2.49/2.582.48/2.302.03/1.901.83/1.62
Final R-indices (I > 3σ(I))R1 = 0.0438
wR2 = 0.1470
R1 = 0.0437
wR2 = 0.1449
R1 = 0.0301
wR2 = 0.0865
R1 = 0.0310
wR2 = 0.0881
Final R-indices (all data)R1 = 0.0459
wR2 = 0.1564
R1 = 0.0509
wR2 = 0.1475
R1 = 0.0368
wR2 = 0.0885
R1 = 0.0497
wR2 = 0.0951
Largest diff. peak and hole1.47 and −0.90 e/Å31.24 and −1.25 e/Å30.66 and −1.07 e/Å30.85 and −1.19 e/Å3
Table 2. Fractional coordinates at 300 K from laboratory X-rays. H atoms were constrained using a riding model with uiso extended by a factor 1.2 of its neighboring non-H atom.
Table 2. Fractional coordinates at 300 K from laboratory X-rays. H atoms were constrained using a riding model with uiso extended by a factor 1.2 of its neighboring non-H atom.
Atomxyzuiso2)
Fe2+(1)½½½0.010950(9)
Fe3+(2)0.13144(3)0.70271(2)0.24642(5)0.00720(6)
P(1)0.19493(5)0.57930(3)0.73474(9)0.00826(11)
P(2)0.50621(5)0.69413(3)0.25517(9)0.00642(10)
O(1)0.14448(18)0.63823(8)0.9367(3)0.0160(4)
O(2)0.61151(16)0.72297(8)0.0436(3)0.0114(3)
O(3)0.48438(16)0.59961(8)0.2148(3)0.0108(3)
O(4)0.35094(15)0.73528(9)0.2366(3)0.0145(4)
O(5)0.30667(16)0.44317(7)0.3103(3)0.0223(5)
O(6)0.1022(2)0.49977(9)0.7934(4)0.0303(6)
O(7)0.57932(17)0.70142(7)0.5228((3)0.0114(3)
O(8)0.15868(18)0.60588(8)0.4606(3)0.0146(4)
O(9)−0.10176(15)0.67714(8)0.2636(3)0.0180(4)
O(10)0.36376(17)0.55770(9)0.7667(3)0.0162(4)
H1O30.464240.585720.061220.0130
H1O50.273850.460790.171320.0268
H2O50.265900.403940.377110.0268
H1O9−0.161910.699060.162100.0216
H2O9−0.133360.645160.371800.0216
H1O60.054100.458480.823790.0363
Table 3. Fractional coordinates at 100 K from laboratory X-rays. H atoms were constrained using a riding model with uiso extended by a factor 1.2 of its neighboring non-H atom.
Table 3. Fractional coordinates at 100 K from laboratory X-rays. H atoms were constrained using a riding model with uiso extended by a factor 1.2 of its neighboring non-H atom.
Atomxyzuiso2)
Fe3+(1)0.44712(3)0.700078(15)0.32036(3)0.00329(9)
Fe2+(2)0.74909(3)0.499263(15)0.25324(3)0.00432(9)
Fe3+(3)0.94749(3)0.702325(15)0.81184(3)0.00328(9)
P(1)0.22520(6)0.57863(3)0.02106(5)0.00384(15)
P(2)0.72392(6)0.57785(3)0.52719(5)0.00372(15)
P(3)0.13792(6)0.80377(3)0.12925(5)0.00321(15)
P(4)0.63924(6)0.69500(3)0.13896(5)0.00313(15)
O(1)0.60509(15)0.60030(8)0.12305(15)0.0055(5)
O(2)0.04028(15)0.76381(8)0.18693(15)0.0060(5)
O(3)0.10500(15)0.89858(8)0.11500(15)0.0053(5)
O(4)0.57932(16)0.77317(8)0.48195(14)0.0055(4)
O(5)0.56225(15)0.59929(8)0.41183(15)0.0055(4)
O(6)0.06632(15)0.60449(8)−0.09539(15)0.0061(5)
O(7)0.30356(16)0.63667(8)0.14908(15)0.0066(5)
O(8)0.56779(16)0.73350(8)0.22446(15)0.0070(5)
O(9)0.81294(15)0.70012(8)0.22973(15)0.0050(4)
O(10)0.30685(15)0.79620(8)0.23661(14)0.0048(4)
O(11)0.09387(15)0.77382(8)−0.02750(14)0.0050(4)
O(12)0.93342(13)0.55593(8)0.23685(17)0.0087(5)
O(13)0.21307(17)0.49793(8)0.10164(16)0.0087(5)
O(14)0.79412(16)0.63902(8)0.65199(15)0.0061(5)
O(15)0.83661(11)0.67851(7)0.93809(15)0.0068(5)
O(16)0.56496(17)0.44089(5)0.26291(16)0.0094(5)
O(17)0.33467(15)0.66954(7)0.43550(15)0.0071(5)
O(18)0.32267(16)0.55801(8)−0.05033(15)0.0062(5)
O(19)0.72627(17)0.49437(8)0.60642(16)0.0081(5)
O(20)0.82174(16)0.56083(8)0.45385(15)0.0061(5)
H1O160.479830.461190.220680.0113
H2O160.579510.398210.308840.0113
H1O170.326490.621900.452710.0085
H2O170.298090.705020.464120.0085
H1O120.947520.604800.250120.0105
H2O120.989250.528560.217350.0105
H1O150.868880.698681.021520.0082
H2O150.761460.649130.903480.0082
H1O10.520330.587530.055530.0066
H1O30.020270.911740.047920.0063
H1O130.206860.456680.142830.0104
H1O190.727480.451450.647160.0097
Table 4. Bond-lengths and bond-valence sums within FeO6 octahedra for the crystal structures obtained from the X-ray laboratory measurements with the lattice parameters given in the last two columns of Table 1 and atomic coordinates given in Table 2 and Table 3.
Table 4. Bond-lengths and bond-valence sums within FeO6 octahedra for the crystal structures obtained from the X-ray laboratory measurements with the lattice parameters given in the last two columns of Table 1 and atomic coordinates given in Table 2 and Table 3.
Temperature300 K100 K
Fe2+-OCyanCyan
2.0654(16) Å    x22.0620(15) Å
2.0751(15) Å
2.1548(14) Å    x22.1389(18) Å
2.1617(17) Å
2.2127(15) Å    x22.1847(13) Å
2.1919(13) Å
Average2.1443 Å2.1357 Å
Bond-valence sum2.0062.045
Fe3+-OBeige
1.9240(16) Å
1.9605(15) Å
1.9738(15) Å
1.9937(15) Å
2.0110(14) Å
2.0842(14) Å
Orange/Beige
1.9422(13) Å/1.9174(13) Å
1.9505(13) Å/1.9586(13) Å
1.9810(20) Å/1.9732(12) Å
1.9832(13) Å/2.0000(19) Å
2.0176(14) Å/2.0073(14) Å
2.0602(19) Å/2.1205(17) Å
Average1.9912 Å1.9892 Å/1.9961 Å
Bond-valence sum3.0213.028/2.995
Publisher’s Note: MDPI stays neutral with regard to jurisdictional claims in published maps and institutional affiliations.

Share and Cite

MDPI and ACS Style

Poienar, M.; Gutmann, M.J.; Pascut, G.L.; Petříček, V.; Stenning, G.; Vlazan, P.; Sfirloaga, P.; Paulmann, C.; Tolkiehn, M.; Manuel, P.; et al. Phase Transitions and Physical Properties of the Mixed Valence Iron Phosphate Fe3(PO3OH)4(H2O)4. Materials 2022, 15, 8059. https://doi.org/10.3390/ma15228059

AMA Style

Poienar M, Gutmann MJ, Pascut GL, Petříček V, Stenning G, Vlazan P, Sfirloaga P, Paulmann C, Tolkiehn M, Manuel P, et al. Phase Transitions and Physical Properties of the Mixed Valence Iron Phosphate Fe3(PO3OH)4(H2O)4. Materials. 2022; 15(22):8059. https://doi.org/10.3390/ma15228059

Chicago/Turabian Style

Poienar, Maria, Matthias Josef Gutmann, Gheorghe Lucian Pascut, Václav Petříček, Gavin Stenning, Paulina Vlazan, Paula Sfirloaga, Carsten Paulmann, Martin Tolkiehn, Pascal Manuel, and et al. 2022. "Phase Transitions and Physical Properties of the Mixed Valence Iron Phosphate Fe3(PO3OH)4(H2O)4" Materials 15, no. 22: 8059. https://doi.org/10.3390/ma15228059

APA Style

Poienar, M., Gutmann, M. J., Pascut, G. L., Petříček, V., Stenning, G., Vlazan, P., Sfirloaga, P., Paulmann, C., Tolkiehn, M., Manuel, P., & Veber, P. (2022). Phase Transitions and Physical Properties of the Mixed Valence Iron Phosphate Fe3(PO3OH)4(H2O)4. Materials, 15(22), 8059. https://doi.org/10.3390/ma15228059

Note that from the first issue of 2016, this journal uses article numbers instead of page numbers. See further details here.

Article Metrics

Back to TopTop