The Influence of Nanosilica on Properties of Cement Based on Tetracalcium Phosphate/Monetite Mixture with Addition of Magnesium Pyrophoshate
Abstract
1. Introduction
2. Materials and Methods
2.1. Preparation of Cement Mixture and Samples for Evaluation
2.2. Characterization Methods
2.3. In Vitro Cytotoxicity Testing of Mg-Si Cement Extracts
2.4. Gene Expression of Specific Markers in Differentiated Rat MSCs in Long-Term Culture
3. Results
3.1. XRD and FTIR Analyses of Powder Mixtures and Cements
3.2. Microstructure of Cements and Morphology of HAP Particles
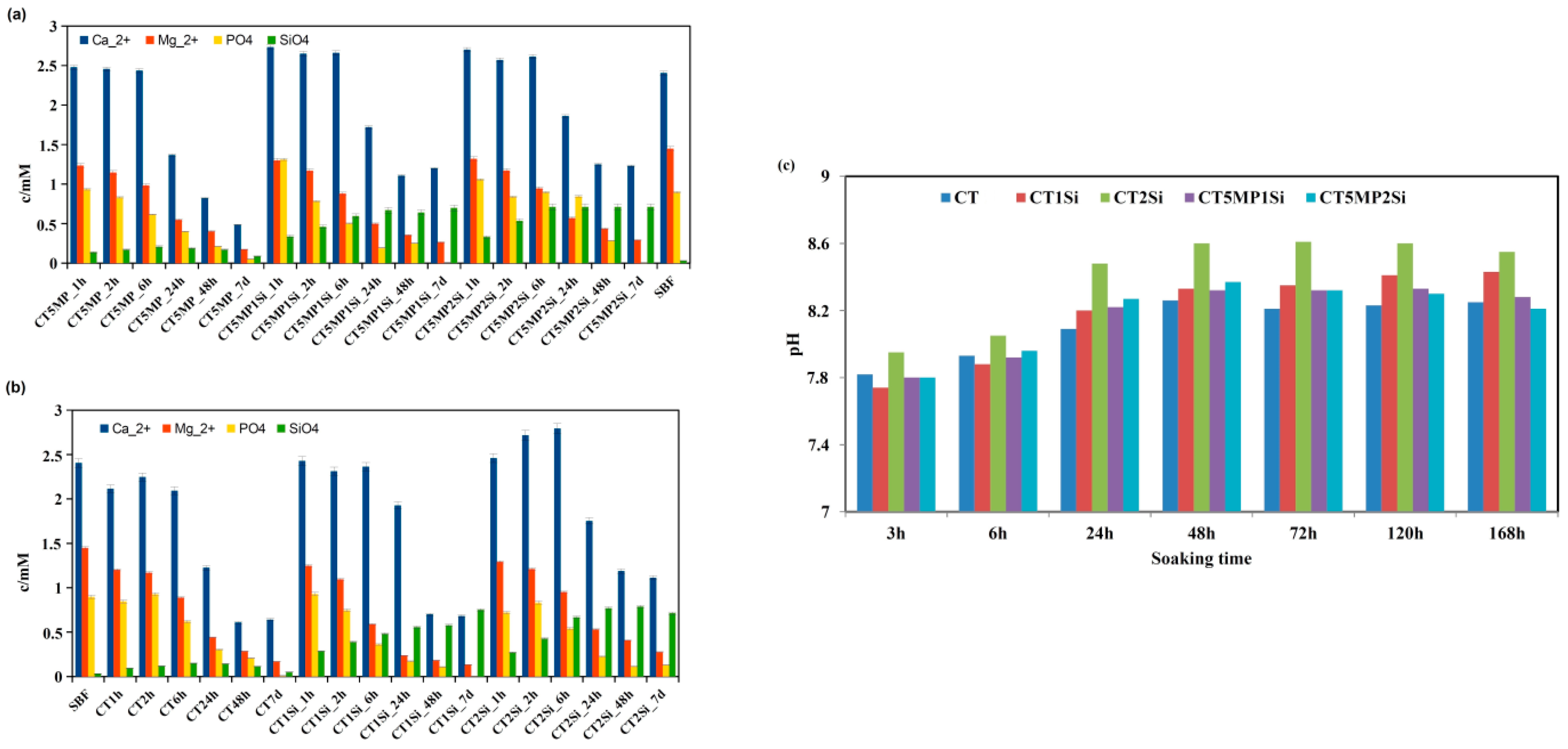
3.3. Release of Ca2+, Mg2+, Silicate, and Phosphate Ions from Cements to SBF and pH Measurement
3.4. In Vitro Testing of Cement Extracts, Live/Dead Staining of Cells, Gene Expression
4. Discussion
5. Conclusions
Author Contributions
Funding
Institutional Review Board Statement
Informed Consent Statement
Data Availability Statement
Conflicts of Interest
References
- Carey, L.E.; Xu, H.H.; Simon, C.G.; Takagi, S.; Chow, L.C.; Simon, C., Jr. Premixed rapid-setting calcium phosphate composites for bone repair. Biomaterials 2005, 26, 5002–5014. [Google Scholar] [CrossRef] [PubMed]
- Sheikh, Z.; Zhang, Y.L.; Grover, L.; Merle, G.E.; Tamimi, F.; Barralet, J. In vitro degradation and in vivo resorption of dicalcium phosphate cement based grafts. Acta Biomater. 2015, 26, 338–346. [Google Scholar] [CrossRef]
- Bigi, A.; Foresti, E.; Gregorini, R.; Ripamonti, A.; Roveri, N.; Shah, J.S. The role of magnesium on the structure of biological apatites. Calcif. Tissue Res. 1992, 50, 439–444. [Google Scholar] [CrossRef]
- Percival, M. Bone health & osteoporosis. Appl. Nutr. Sci. Rep. 1999, 5, 1–6. [Google Scholar]
- Castiglioni, S.; Cazzaniga, A.; Albisetti, W.; Maier, J.A.M. Magnesium and Osteoporosis: Current State of Knowledge and Future Research Directions. Nutrients 2013, 5, 3022–3033. [Google Scholar] [CrossRef] [PubMed]
- Li, R.W.; Kirkland, N.T.; Truong, J.; Wang, J.; Smith, P.N.; Birbilis, N.; Nisbet, D.R. The influence of biodegradable magnesium alloys on the osteogenic differentiation of human mesenchymal stem cells. J. Biomed. Mater. Res. Part A 2014, 102, 4346–4357. [Google Scholar] [CrossRef]
- Arise, R.O.; Davies, F.F.; Malomo, S.O. Independent and interactive effects of Mg2+ and Co2+ on some kinetic parameters of rat kidney alkaline phosphatase. Sci. Res. Ess. 2008, 3, 488–494. [Google Scholar]
- Goldberg, M.A.; Smirnov, V.V.; Antonova, O.S.; Khairutdinova, D.R.; Smirnov, S.V.; Krylov, A.I.; Sergeeva, N.S.; Sviridova, I.K.; Kirsanova, V.A.; Ahmedova, S.A.; et al. Magnesium-substituted calcium phosphate bone cements containing MgO as a separate phase: Synthesis and in vitro behavior. Mendeleev Commun. 2018, 28, 329–331. [Google Scholar] [CrossRef]
- Shams, M.; Nezafati, N.; Poormoghadam, D.; Zavareh, S.; Zamanian, A.; Salimi, A. Synthesis and characterization of electrospun bioactive glass nanofibersreinforced calcium sulfate bone cement and its cell biological response. Ceram. Int. 2020, 46, 10029–10039. [Google Scholar] [CrossRef]
- Kim, K.; Oh, J.; Jin, G.; Lee, J.; Oh, D.; Kang, H.; Kim, H.; Lee, S.; Cho, D.; Ahn, S.-H.; et al. Preparation and evaluation of PLGA-silica scaffold with human adipose-derived stromal cells for bone tissue engineering. Tissue Eng. Regen. Med. 2010, 7, 291–297. [Google Scholar]
- Carlisle, E.M. Silicon as an essential trace-element in animal nutrition. Ciba Found. Symp. 1986, 121, 123–139. [Google Scholar] [PubMed]
- Alkhraisat, M.H.; Rueda, C.; Jerez, L.B.; Marino, F.T.; Torres, J.; Gbureck, U.; Cabarcos, E.L. Effect of silica gel on the cohesion, properties and biological performance of brushite cement. Acta Biomater. 2010, 6, 257–265. [Google Scholar] [CrossRef] [PubMed]
- Andersson, J.; Areva, S.; Spliethoff, B.; Linden, M. Sol–gel synthesis of a multifunctional, hierarchically porous silica/apatite composite. Biomaterials 2005, 26, 6827–6835. [Google Scholar] [CrossRef] [PubMed]
- Bohner, M. Silicon-substituted calcium phosphates—A critical view. Biomaterials 2009, 30, 6403–6406. [Google Scholar] [CrossRef] [PubMed]
- Hesaraki, S.; Alizadeh, M.; Borhan, S.; Pourbaghi-Masouleh, M. Polymerizable nano-particulate silica-reinforced calcium phosphate bone cement. J. Biomed. Mater. Res. Part B Appl. Biomater. 2012, 100B, 1627–1635. [Google Scholar] [CrossRef]
- Lopez-Alvarez, M.; Solla, E.; Gonzalez, P.; Serra, J.; Leon, B.; Marques, A.; Reis, R.L. Silicon-hydroxyapatite bioactive coatings (Si-HA) from diatomaceous earth and silica. Study of adhesion and proliferation of osteoblast-like cells. J. Mater. Sci. Mater. Med. 2009, 20, 1131–1136. [Google Scholar] [CrossRef]
- Morejon-Alonso, L.; Carrodeguas, R.G.; dos Santos, L.A. Effects of silica addition on the chemical, mechanical and biological properties of a new alpha-tricalcium phosphate/tricalcium silicate cement. Mater. Res.-Ibero-Am. J. Mater. 2011, 14, 475–482. [Google Scholar]
- Pietak, A.; Reid, J.; Stott, M.; Sayer, M. Silicon substitution in the calcium phosphate bioceramics. Biomaterials 2007, 28, 4023–4032. [Google Scholar] [CrossRef]
- Xu, J.; Khor, K. Chemical analysis of silica doped hydroxyapatite biomaterials consolidated by a spark plasma sintering method. J. Inorg. Biochem. 2007, 101, 187–195. [Google Scholar] [CrossRef]
- Phan, P.; Grzanna, M.; Chu, J.; Polotsky, A.; El Ghannam, A.; van Heerden, D.; Hungerford, D.S.; Frondoza, C.G. The effect of silica containing calcium phosphate particles on human osteoblasts in vitro. J. Biomed. Mater. Res. Part A 2003, 67, 1001–1008. [Google Scholar] [CrossRef]
- Ahn, G.; Lee, J.Y.; Seol, D.W.; Pyo, S.G.; Lee, D. The effect of calcium phosphate cement-silica composite materials on proliferation and differentiation of pre-osteoblast cells. Mater. Lett. 2013, 109, 302–305. [Google Scholar] [CrossRef]
- Borhan, S.; Hesaraki, S.; Ahmadzadeh-Asl, S. Evaluation of colloidal silica suspension as efficient additive for improving physicochemical and in vitro biological properties of calcium sulfate-based nanocomposite bone cement. J. Mater. Sci. Mater. Med. 2010, 21, 3171–3181. [Google Scholar] [CrossRef] [PubMed]
- Lin, Q.; Lan, X.; Li, Y.; Ni, Y.; Lu, C.; Chen, Y.; Xu, Z. Preparation and characterization of novel alkali-activated nano silica cements for biomedical application. J. Biomed. Mater. Res. Part B Appl. Biomater. 2010, 95B, 347–356. [Google Scholar] [CrossRef] [PubMed]
- Lin, Q.; Xu, Z.; Lan, X.; Ni, Y.; Lu, C. The reactivity of nano silica with calcium hydroxide. J. Biomed. Mater. Res. Part B Appl. Biomater. 2011, 99B, 239–246. [Google Scholar] [CrossRef] [PubMed]
- Medvecky, L.; Stulajterova, R.; Giretova, M.; Luptakova, L.; Sopcak, T. Injectable enzymatically hardened calcium phosphate biocement. J. Funct. Biomater. 2020, 11, 74. [Google Scholar] [CrossRef]
- Artilia, I.; Sidiqa, A.N.; Fakhira, Z.P.; Zakaria, M.N.; el-Ghannam, A.; Cahyanto, A. Morphology, crystal size and crystallinity degree of silica-calcium phosphate composite (S) and apatite cement formulation—In vitro bioactivity test. Mater. Sci. Forum 2022, 1069, 121–128. [Google Scholar] [CrossRef]
- Huang, S.H.; Chen, Y.J.; Kao, C.T.; Lin, C.C.; Huang, T.H.; Shie, M.Y. Physicochemical properties and biocompatibility of silica doped b-tricalcium phosphate for bone cement. J. Dent. Sci. 2015, 10, 282–290. [Google Scholar] [CrossRef]
- Zhou, H.; Luchini, T.J.F.; Agarwal, A.K.; Goel, V.K.; Bhaduri, S.B. Development of monetite-nanosilica bone cement: A preliminary study. J. Biomed. Mater. Res. B Appl. Biomater. 2014, 102, 1620–1626. [Google Scholar] [CrossRef]
- Medvecky, L.; Giretova, M.; Stulajterova, R.; Luptakova, L.; Sopcak, T. Tetracalcium phosphate/monetite/calcium sulfate hemihydrate biocement powder mixtures prepared by the one-step synthesis for preparation of nanocrystalline hydroxyapatite biocement-properties and in vitro evaluation. Materials 2021, 14, 2137. [Google Scholar] [CrossRef]
- ISO 10993-12; Biological Evaluation of Medical Devices—Part 12: Sample Preparation and Reference Materials. International Organization for Standardization: Geneva, Switzerland, 2012.
- ISO 10993-5; Biological Evaluation of Medical Devices—Part 5: Tests for In Vitro Cytotoxicity. International Organization for Standardization: Geneva, Switzerland, 2009.
- Giretova, M.; Medvecky, L.; Petrovova, E.; Cizkova, D.; Danko, J.; Mudronova, D.; Slovinska, L.; Bures, R. Poly-hydroxybutyrate/chitosan 3D scaffolds promote in vitro and in vivo chondrogenesis. Appl. Biochem. Biotechnol. 2019, 189, 556–575. [Google Scholar] [CrossRef]
- Medvecky, L.; Giretova, M.; Stulajterova, R.; Luptakova, L.; Sopcak, T.; Girman, V. Osteogenic potential and properties of injectable silk fibroin/ tetracalcium phosphate/monetite composite powder biocement systems. J. Biomed. Mater. Res. Part B Appl. Biomater. 2022, 110, 668–678. [Google Scholar] [CrossRef]
- Grässel, S.; Ahmed, N.; Göttl, C.; Grifka, J. Gene and protein expression profile of naive and osteo-chondrogenically differentiated rat bone marrow-derived mesenchymal progenitor cells. Int. J. Mol. Med. 2009, 23, 745–755. [Google Scholar] [CrossRef]
- Yang, J.; Chen, X.; Yuan, T.; Yang, X.; Fan, Y.; Zhang, X. Regulation of the secretion of immunoregulatory factors of mesenchymal stem cells(MSCs) by collagen-based scaffolds during chondrogenesis. Mater. Sci. Eng. C 2017, 70, 983–991. [Google Scholar] [CrossRef]
- Yusop, N.; Battersby, P.; Alraies, A.; Sloan, A.J.; Moseley, R.; Waddington, R.J. Isolation and characterisation of mesenchymal stem cells from rat bone marrow and the Endosteal niche: A comparativestudy. Stem Cells Int. 2018, 2018, 6869128. [Google Scholar] [CrossRef] [PubMed]
- Karaoz, E.; Aksoy, A.; Ayhan, S.; Sarıboyaci, A.E.; Kaymaz, F.; Kasap, M. Characterization of mesenchymal stem cells from rat bone marrow: Ultra-structural properties, differentiation potential and immunophenotypicmarkers. Histochem. Cell Biol. 2009, 132, 533–546. [Google Scholar] [CrossRef]
- Sun, X.; Su, W.; Ma, X.; Zhang, H.; Sun, Z.; Li, X. Comparison of the osteogenic capability of rat bone mesenchymal stem cells on collagen, collagen/hydroxyapatite, hydroxyapatite and biphasic calcium phosphate. Regen. Biomater. 2018, 5, 93–103. [Google Scholar] [CrossRef] [PubMed]
- Moseke, C.; Gbureck, U. Tetracalcium phosphate: Synthesis, properties and biomedical applications. Acta Biomater. 2010, 6, 3815–3823. [Google Scholar] [CrossRef]
- Jalota, S.; Tas, A.C.; Bhaduri, S.B. Synthesis of HA-Seeded TTCP (Ca4(PO4)2O) Powders at 1230 °C from Ca(CH3COO)2 ·H2O and NH4H2PO4. J. Am. Ceram. Soc. 2005, 88, 3353–3360. [Google Scholar] [CrossRef]
- Xu, J.; Butler, I.S.; Gilson, D.F.R. FT-Raman and high-pressure infrared spectroscopic studies of dicalcium phosphate dehydrate (CaHPO4.2H2O) and anhydrous dicalcium phosphate (CaHPO4 ). Spectrochim. Acta Part A 1999, 55, 2801–2809. [Google Scholar] [CrossRef]
- Harcharras, M.; Ennaciri, A.; Rulmont, A.; Gilbert, B. Vibrational spectra and structures of double diphosphates M2CdP2O7 (M = Li, Na, K, Rb, Cs). Spectrochim. Acta Part A Mol. Biomol. Spectrosc. 1997, 53, 345–352. [Google Scholar] [CrossRef]
- Mata, N.A.; Velasquez, P.; Murciano, A.; de Aza, P.N. Multilayer Mg-pyrophosphate glass ceramic with discontinuous bioac-tivity. Physicochemical characterization. Ceram. Int. 2021, 47, 14612–14620. [Google Scholar] [CrossRef]
- Mahajan, R.; Prakash, R. Effect of Sm3+ doping on optical properties of Mg2P2O7 and Mg3P2O8 phosphors. Mater. Chem. Phys. 2020, 246, 122826. [Google Scholar] [CrossRef]
- Ren, F.; Ding, Y.; Leng, Y. Infrared spectroscopic characterization of carbonated apatite: A combined experimental and computational study. J. Biomed. Mater. Res. Part A 2014, 102A, 496–505. [Google Scholar] [CrossRef] [PubMed]
- Grunenwald, A.; Keyser, C.; Sautereau, A.; Crubézy, E.; Ludes, B.; Drouet, C. Revisiting carbonate quantification in apatite (bio)minerals: A validated FTIR methodology. J. Archaeol. Sci. 2014, 49, 134–141. [Google Scholar] [CrossRef]
- Stulajterova, R.; Medvecky, L.; Giretova, M.; Sopcak, T.; Luptakova, L.; Bures, R.; Szekiova, E. Characterization of tetracalcium phosphate/monetite biocement modified by magnesium pyrophosphate. Materials 2022, 15, 2586. [Google Scholar] [CrossRef]
- Chappell, H.F.; Jugdaohsingh, R.; Powell, J.J. Physiological silicon incorporation into bone mineral requires orthosilicic acid metabolism to SiO44−. J. R. Soc. Interface 2020, 17, 20200145. [Google Scholar] [CrossRef]
- Grover, L.M.; Wright, A.J.; Gbureck, U.; Bolarinwa, A.; Song, J.; Liu, Y.; Farrar, D.F.; Howling, G.; Rose, J.; Barralet, J.E. The effect of amorphous pyrophosphate on calcium phosphate cement resorption and bone generation. Biomaterials 2013, 34, 6631–6637. [Google Scholar] [CrossRef]
- Mohammadi, M.; Hesarakin, S.; Hafezi-Ardakani, M. Investigation of biocompatible nanosized materials for development of strong calcium phosphate bone cement: Comparison of nano-titania, nano-silicon carbide and amorphous nano-silica. Ceram. Int. 2014, 40, 8377–8387. [Google Scholar] [CrossRef]
- Liu, Q.; Chen, Z.; Pan, H.; Darvell, B.W.; Matinlinna, J.P. Effect of Magnesium on the Solubility of Hydroxyapatite. Eur. J. Inorg. Chem. 2016, 2016, 5623–5629. [Google Scholar] [CrossRef]
- Song, C.W.; Kim, T.W.; Kim, D.H.; Jin, H.H.; Hwang, K.H.; Lee, J.K.; Park, H.C.; Yoon, S.Y. In situ synthesis of silicon-substituted biphasic calcium phosphate and their performance in vitro. J. Phys. Chem. Solids 2012, 73, 39–45. [Google Scholar] [CrossRef]
- Martin, R.I.; Brown, P.W. The Effects of Magnesium on Hydroxyapatite Formation In Vitro from CaHPO4 and Ca4(PO4)2O at 37.4 °C. Calcif. Tissue Int. 1997, 60, 538–546. [Google Scholar] [CrossRef] [PubMed]
- Wu, Z.; Tang, T.; Guo, H.; Tang, S.; Niu, Y.; Zhang, J.; Zhang, W.; Ma, R.; Su, J.; Liu, C.; et al. In vitro degradability, bioactivity and cell responses to mesoporous magnesium silicate for the induction of bone regeneration. Colloids Surf. B Biointerfaces 2014, 120, 38–46. [Google Scholar] [CrossRef]
- Annenkov, V.V.; Danilovtseva, E.N.; Pal’shin, V.A.; Verkhozina, O.N.; Zelinskiy, S.N.; Krishnan, U.M. Silicic acid condensation under the influence of water-soluble polymers: From biology to new materials. RSC Adv. 2017, 7, 20995. [Google Scholar] [CrossRef]
- Belton, D.J.; Deschaume, O.; Perry, C.C. An overview of the fundamentals of the chemistry of silica with relevance to biosilicification and technological advances. FEBS J. 2012, 279, 1710–1720. [Google Scholar] [CrossRef] [PubMed]
- Rasskazova, L.A.; Zhuk, I.V.; Korotchenko, N.M.; Brichkov, A.S.; Chen, Y.W.; Paukshtis, E.A.; Ivanov, V.K.; Kurzina, I.A.; Kozik, V.V. Synthesis of Magnesium- and Silicon-modified Hydroxyapatites by Microwave-Assisted Method. Sci. Rep. 2019, 9, 14836. [Google Scholar] [CrossRef]
- Jugdaohsingh, R.; Pedro, L.D.; Watson, A.; Powell, J.J. Silicon and boron differ in their localization and loading in bone. Bone Rep. 2015, 1, 9–15. [Google Scholar] [CrossRef]
- Jugdaohsingh, R.; Watson, A.I.E.; Pedro, L.D.; Powell, J.J. The decrease in silicon concentration of the connective tissues with age in rats is a marker of connective tissue turnover. Bone 2015, 75, 40–48. [Google Scholar] [CrossRef]
- Uribe, P.; Johansson, A.; Jugdaohsingh, R.; Powell, J.J.; Magnusson, C.; Davila, M.; Westerlund, A.; Ransjö, M. Soluble silica stimulates osteogenic differentiation and gap junction communication in human dental follicle cells. Sci. Rep. 2020, 10, 9923. [Google Scholar] [CrossRef]
- Shie, M.Y.; Ding, S.J.; Chang, H.C. The role of silicon in osteoblast-like cell proliferation and apoptosis. Acta Biomater. 2011, 7, 2604–2614. [Google Scholar] [CrossRef]
- Ning, C.Q.; Mehta, J.; El-Ghannam, A. Effects of silica on the bioactivity of calcium phosphate composites in vitro. J. Mater. Sci. Mater. Med. 2005, 16, 355–360. [Google Scholar] [CrossRef]
- Zhang, J.; Ma, X.; Lin, D.; Shi, H.; Yuan, Y.; Tang, W.; Zhou, H.; Guo, H.; Qian, J.; Liu, C. Magnesium modification of a calcium phosphate cement alters bone marrow stromal cell behavior via an integrin-mediated mechanism. Biomaterials 2015, 53, 251–264. [Google Scholar] [CrossRef] [PubMed]









| Genes | Primers | References | 
|---|---|---|
| B-actin rat | F: GTAGCCATCCAGGCTGTGTT R: CCCTCATAGATGGGCAGAGT | [34] | 
| Typ I collagen rat | F: CCAGCTGACCTTCCTGCGCC R: CGGTGTGACTCGTGCAGCCA | [35] | 
| Osteocalcin rat | F: ACAGACAAGTCCCACACAGCAACT R: CCTGCTTGGACATGAAGGCTTTGT | [36] | 
| Osteopontin rat | F: CCGATGAATCTGATGAGTCCTT R: TCCAGCTGACTTGACTCATG | [37] | 
| Osteonectin rat | F: GGAAGCTGCAGAAGAGATGG R: TGCACACCTTTTCAAACTCG | [37] | 
| Alkaline phosphatase rat | F: AACCTGACTGACCCTTCCCTCT R: TCAATCCTGCCTCCTTCCACTA | [38] | 
| Publisher’s Note: MDPI stays neutral with regard to jurisdictional claims in published maps and institutional affiliations. | 
© 2022 by the authors. Licensee MDPI, Basel, Switzerland. This article is an open access article distributed under the terms and conditions of the Creative Commons Attribution (CC BY) license (https://creativecommons.org/licenses/by/4.0/).
Share and Cite
Stulajterova, R.; Giretova, M.; Medvecky, L.; Sopcak, T.; Luptakova, L.; Girman, V. The Influence of Nanosilica on Properties of Cement Based on Tetracalcium Phosphate/Monetite Mixture with Addition of Magnesium Pyrophoshate. Materials 2022, 15, 8212. https://doi.org/10.3390/ma15228212
Stulajterova R, Giretova M, Medvecky L, Sopcak T, Luptakova L, Girman V. The Influence of Nanosilica on Properties of Cement Based on Tetracalcium Phosphate/Monetite Mixture with Addition of Magnesium Pyrophoshate. Materials. 2022; 15(22):8212. https://doi.org/10.3390/ma15228212
Chicago/Turabian StyleStulajterova, Radoslava, Maria Giretova, Lubomir Medvecky, Tibor Sopcak, Lenka Luptakova, and Vladimir Girman. 2022. "The Influence of Nanosilica on Properties of Cement Based on Tetracalcium Phosphate/Monetite Mixture with Addition of Magnesium Pyrophoshate" Materials 15, no. 22: 8212. https://doi.org/10.3390/ma15228212
APA StyleStulajterova, R., Giretova, M., Medvecky, L., Sopcak, T., Luptakova, L., & Girman, V. (2022). The Influence of Nanosilica on Properties of Cement Based on Tetracalcium Phosphate/Monetite Mixture with Addition of Magnesium Pyrophoshate. Materials, 15(22), 8212. https://doi.org/10.3390/ma15228212
 
        





 
       