Green Synthesis of Magnetic Nanoparticles of Iron Oxide Using Aqueous Extracts of Lemon Peel Waste and Its Application in Anti-Corrosive Coatings
Abstract
1. Introduction
2. Materials and Methods
2.1. Green Synthesis of Magnetic Nanoparticles
2.2. Lemon Waste Extract Preparation
2.3. Compound Preparation
3. Results and Discussion
3.1. X-ray Diffraction
3.2. Crystallite Size and Dislocation Density Å
3.3. D-Spacing Calculating
3.4. SEM Microscopy
3.5. TEM Microscopy
3.6. Magnetic Characterization
3.7. Obtaining and Applying the Coating
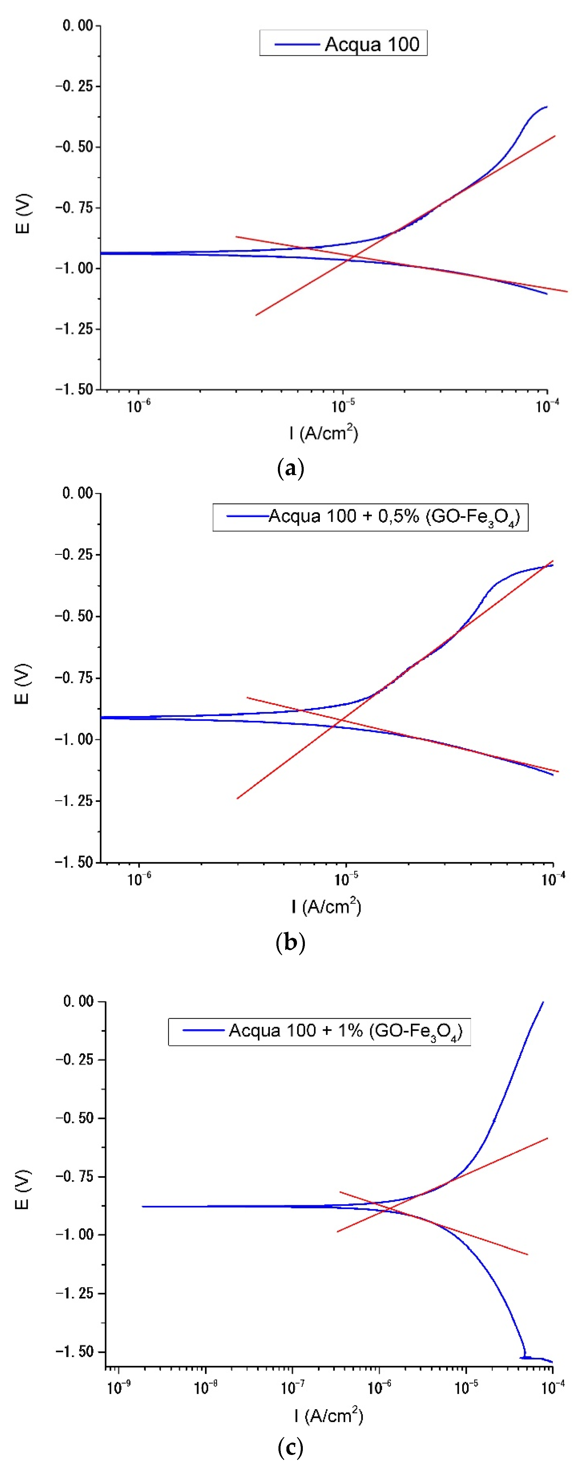
3.8. Electrochemical Tests
- Auxiliary electrode: the platinum electrode was used.
- Reference electrode: the Saturated Calomel electrode (SCE) was used.
- Working electrode: the steel samples were used.
- Working electrode exposure area (cm2).
- Alloy equivalent weight: 27.92.
- Alloy density (g/cm3): 7.8.
- Stern-Geary constant (26 mV).
- Reference electrode.
- Initial potential.
- Final potential.
- Scan speed.
4. Conclusions
Author Contributions
Funding
Institutional Review Board Statement
Informed Consent Statement
Data Availability Statement
Acknowledgments
Conflicts of Interest
References
- Benzoir Asha, A.; Narain, R. Polymer Science and Nanotechnology; Narain, R., Ed.; Elsevier: Amsterdam, The Netherlands, 2020; Chapter 15; p. 343. ISBN 9780128168066. [Google Scholar] [CrossRef]
- George, J.S.; Vijayan, P.; Hoang, A.; Kalarikkal, N.; Nguyen-Tri, P.; Thomas, S. Recent advances in bio-inspired multifunctional coating for corrosion protection. Prog. Org. Coat. 2022, 168, 106858. [Google Scholar] [CrossRef]
- Megahed, M.; Abel Bar, M.; Abouelez, E.M.; El-Shamy, A. Polymide coating as a potential protective layer against corrosion of iron artifacts. Egypt. J. Chem. 2021, 64, 5693–5702. [Google Scholar] [CrossRef]
- Duan, M.; Xia, F.; Li, T.; Shapter, J.G.; Yang, S.; Li, Y.; Gao, G.; Cui, D. Matrix metalloproteinase-2-targeted superparamagnetic Fe3O4-PEG-G5-MMP2@Ce6 nanoprobes for dual-mode imaging and photodynamic therapy. Nanoscale 2019, 11, 18426. [Google Scholar] [CrossRef]
- Vinothkannan, M.; Kim, A.R.; Gnana, G.; Jin Yoo, D. Sulfonated graphene oxide/Nafion composite membrane for high temperature and low humidity proton exchange membrane fuel cells. RSC Adv. 2018, 8, 7494–7508. [Google Scholar] [CrossRef]
- Ling, J.; Zhang, W.; Cheng, Z.; Ding, Y. Recyclable magnetic fluorescence sensor based on Fe3O4 and Carbon dots for detection and purification of methcathinone in sewage. ACS Appl. Mater. Interfaces 2022, 14, 3752–3761. [Google Scholar] [CrossRef]
- Yahya, M.; Ahmed, S.Y.; Eltigani, F.M.; Abdalrahman, G. Desing of a noninvasive magnetic hyperthermia system for breast tumors using Fe3O4 nanoparticles. JECS 2021, 22, 3. [Google Scholar]
- Gawali, S.; Shelar, S.; Gupta, J.; Barick, K.C.; Hassan, P.A. Immobilization of protein of Fe3O4 nanoparticles for magnetic hyperthermia application. Int. J. Biol. Macromol. 2021, 166, 851–860. [Google Scholar] [CrossRef]
- Shankar, S.S.; Rai, A.; Ankamwar, B.; Singh, A.; Ahmad, A.; Sastry, M. Biological synthesis of triangular gold nanoprisms. Nat. Mater. 2004, 3, 482–488. [Google Scholar] [CrossRef]
- Liz-Marzan, L.M.; Philipse, A.P. Stable hydrosols of metallic and bimetallic nanoparticles immobilized on imogolite fibers. J. Phys. Chem. 1995, 99, 15120. [Google Scholar] [CrossRef]
- Han, S.W.; Kim, Y.; Kim, K. Dodecanethiol-derivatized Au/Ag bimetallic nanoparticles: TEM, UV/VIS, XPS, and FTIR analysis. J. Colloid Interface Sci. 1998, 208, 272. [Google Scholar] [CrossRef]
- Schmid, G. Clusters and Colloids, from Theory to Applications; VCH Publishers: Weinheim, Germany, 1994. [Google Scholar]
- Teo, B.M.; Chen, F.; Hatton, T.A.; Grieser, F.; Ashokkumar, M. Novel one-pot synthesis of magnetite latex nanoparticles by ultrasound irradiation. Langmuir 2009, 25, 2593–2595. [Google Scholar] [CrossRef] [PubMed]
- Teja, A.S.; Koh, P. Synthesis, properties, and applications of magnetic iron oxide nanoparticles. Prog. Cryst. Growth Charact. Mater. 2009, 55, 22–45. [Google Scholar] [CrossRef]
- Vargas, J.M.; Zysler, R.D. Tailoring the size in colloidal iron oxide magnetic nanoparticles. Nanotechnology 2005, 16, 1474–1476. [Google Scholar] [CrossRef]
- Ozkaya, T.; Toprak, M.S.; Baykal, A.; Kavas, H.; Koseoglu, Y.; Aktas, B. Synthesis of Fe3O4 nanoparticles at 100 °C and its magnetic characterization. J. Alloy. Compd. 2009, 472, 18–23. [Google Scholar] [CrossRef]
- Ge, J.; Hu, Y.; Biasini, M.; Dong, C.; Guo, J.; Beyermann, W.P.; Yin, Y. One-step synthesis of highly water-soluble magnetite colloidal nanocrystals. Chem. Eur. J. 2007, 13, 7153–7161. [Google Scholar] [CrossRef]
- Sun, S.; Zeng, H. Size-controlled synthesis of magnetite nanoparticles. J. Am. Chem. Soc. 2002, 124, 8204–8205. [Google Scholar] [CrossRef] [PubMed]
- Mascolo, M.C.; Pei, Y.; Ring, T.A. Room Temperature Co-Precipitation Synthesis of Magnetite Nanoparticles in a Large pH Window with Different Bases. Materials 2013, 6, 5549–5567. [Google Scholar] [CrossRef]
- Valenzuela, R.; Fuentes, M.C.; Parra, C.; Baeza, J.; Duran, N.; Sharma, S.K.; Knobel, M.; Freer, J. Influence of stirring velocity on the synthesis of magnetite nanoparticles (Fe3O4) by the co-precipitation method. J. Alloy. Compd. 2009, 488, 227–231. [Google Scholar] [CrossRef]
- Jafari-Eskandari, M.; Hasanzadeh, I. Size-controlled synthesis of Fe3O4 magnetic nanoparticles via an alternating magnetic field and ultrasonic-assisted chemical co-precipitation. MSEB 2021, 266, 115050. [Google Scholar] [CrossRef]
- Mohammadi, H.; Nekobarh, E.; Akhtari, J.; Saeedi, M.; Akbari, J.; Fathi, F. Synthesis, and characterization of magnetic nanoparticles by co-precipitation method coated with biocompatible compound and evaluation of in-vitro cytotoxicity. Toxicol. Rep. 2021, 8, 331–336. [Google Scholar] [CrossRef]
- Saragi, T.; Depi, B.; Butarbutar, S.; Permana, B.; Risdiana. The impact of synthesis temperature on magnetite nanoparticles size synthesized by co-precipitation method. J. Phys. Conf. Ser. 2018, 1013, 012190. [Google Scholar] [CrossRef]
- Ai, Q.; Yuan, Z.; Huang, R.; Yang, C.; Jiang, G.; Xiong, J.; Huang, Z.; Yuan, S. One-pot co-precipitation synthesis of Fe3O4 nanoparticles embedded in a 3D carbonaceous matrix as anode for lithium-ion batteries. J. Mater. Sci. 2019, 54, 4212–4224. [Google Scholar] [CrossRef]
- Wu, T.H.; Yen, F.L.; Lin, L.T.; Tsai, T.R.; Lin, C.C.; Cham, T.M. Preparation, physicochemical characterization, and antioxidant effects of quercetin nanoparticles. Int. J. Pharm. 2008, 346, 160–168. [Google Scholar] [CrossRef]
- Ahmad, N.; Alam, M.K.; Singh, V.N.; Sharma, S. Green Synthesis and Characterization of Silver and Gold Nanoparticles. J. Bionanoscience 2009, 3, 97–104. [Google Scholar] [CrossRef]
- Collera-Zuniga, O.; Garcia Jimenez, F.; Melendez Gordillo, R. Comparative study of carotenoid composition in three Mexican varieties of Capsicum annuum L. Food Chem. 2005, 90, 109–114. [Google Scholar] [CrossRef]
- Vedpriya, A. Living systems: Eco-friendly Nano factories. Dig. J. Nanomater. Biostructures 2010, 5, 9–21. [Google Scholar]
- Jagadeesh, B.H.; Prabha, T.N.; Srinivasan, K. Green Synthesis and Characterizations of Silver and Gold Nanoparticles. Indian J. Plant Physiol. 2004, 9, 164–168. [Google Scholar]
- Paw, M.; Begum, T.; Gogoi, R.; Pandey, S.K.; Lal, M. Chemical Composition of Citrus limon L. Burmf Peel Essential Oil from Northeast India. J. Essent. Oil-Bear. Plants 2020, 23, 337–344. [Google Scholar] [CrossRef]
- Dao, T.P.; Tran, N.Q.; Tran, T.T.; Lam, V.T. Assessing the kinetic model on the extraction of essential oil and chemical composition from lemon peels (Citrus aurantifolia) by the hydro-distillation process. Mater. Today: Proc. 2021, 51, 172–177. [Google Scholar] [CrossRef]
- Guardia, P.; Batlle-Brugal, B.; Roca, A.G.; Iglesias, O.; Morales, M.P.; Serna, C.J.; Labarta, A.; Batlle, X. Surfactant effects in magnetite nanoparticles of controlled size. J. Magn. Magn. Mater. 2007, 316, e756–e759. [Google Scholar] [CrossRef]
- Elizondo, N.; Segovia, P.; Coello, V.; Arriaga, J.; Belmares, S.; Alcorta, A.; Hernández, F.; Obregón, R.; Torres, E.; Paraguay, F. Green Synthesis and Characterizations of Silver and Gold Nanoparticles. In Green Chemistry–Environmentally Benign Approaches; Mazaahir Kidwai, M., Ed.; InTech: London, UK, 2012; Chapter 8; pp. 139–156. ISBN 978-953-51-0334-9. [Google Scholar]
- Combariza, M.Y.; Blanco-Tirado, C.; Stashenko, E.; Shibamoto, T. Limonene Concentration in Lemon (Citrus volkameriana) Peel Oil as a Function of Ripeness. J. High-Resolut. Chromatogr. 1994, 17, 643–646. [Google Scholar] [CrossRef]
- Arvindraj, K.; Aminah, Q.M.A.; Belladonna, M.; Dzeti, F.M.; Reza, B. Study of D-limonene as novel green hydraulic fracturing surfactant in shale gas reservoir. J. Nat. Gas Sci. Eng. 2022, 103, 104588. [Google Scholar] [CrossRef]
- Nadagouda, M.N.; Hoag, G.; Collins, J.; Varma, R.S. Green Synthesis of Au Nanostructures at Room Temperature Using Biodegradable Plant Surfactants. Cryst. Growth Des. 2009, 9, 4979–4983. [Google Scholar] [CrossRef]
- Gonçalves-Martins, T.A.; Alves-Falconi, I.B.; Pavoski, G.; Tavares -de Moraes, V.; Galluzzi-Baltazar, M.D.P.; Romano-Espinosa, D.C. Green synthesis, characterization, and application of copper nanoparticles obtained from printed circuit boards to degrade mining surfactant by Fenton process. J. Environ. Chem. Eng. 2021, 9, 106576. [Google Scholar] [CrossRef]
- Pedeferri, P. Cathodic protection and cathodic prevention. Constr. Build. Mater. 1996, 10, 391–402. [Google Scholar] [CrossRef]
- Arzola, S.; Genescá, J. The effect of H2S concentration on the corrosion behavior of API 5L X-70 steel. J. Solid State Electrochem. 2005, 9, 197–200. [Google Scholar] [CrossRef]
- Sadiku, E.R.; Agboola, O.; Agboola, O.; Ibrahim, I.D.; Olubambi, P.A.; Avabaram, B.; Chima, B. Nanotechnology in paints and coatings. Adv. Coat. Mater. 2018, 175–233. [Google Scholar] [CrossRef]
- Biezma-Moraleda, M.V.; San Cristóbal-Mateo, J.R. Economic Analysis of Corrosion. Chem. Eng. 2004, 418, 93–96. [Google Scholar]
- Vidales-Herrera, J.; López, I. Nanomaterials in Coatings: An Industrial Point of View. In Handbook of Nanomaterials for Manufacturing Applications; Elsevier: Amsterdam, The Netherlands, 2020; pp. 51–77. [Google Scholar]
- CEPE European Council of the Paint, Printing Ink, and Artist’s Colours Industry. Coatings Industry under Pressure from Developments in the Raw Materials Market. IST Int. Surf. Technol. 2021, 14, 6–7. [Google Scholar] [CrossRef]
- Antuch, M.; López, Y.C. Morphology control in the plant-mediated synthesis of magnetite nanoparticles. Curr. Opin. Green Sustain. Chem. 2020, 24, 32–37. [Google Scholar] [CrossRef]
- Li, C.J.; Trost, B.M. Green chemistry for chemical synthesis. Proc. Natl. Acad. Sci. USA 2008, 105, 13197–13202. [Google Scholar] [CrossRef]
- Timoshnikov, V.; Kobseva, T.; Polyakov, N.; Kontoghiorghes, G. Redox Interactions of Vitamin C and Iron: Inhibition of the Pro-oxidant activity by deferiprone. Int. J. Mol. Sci. 2020, 21, 3976. [Google Scholar] [CrossRef]
- Di, H.; Yu, Z.; Ma, Y.; Li, F.; Lv, L.; Pan, Y.; Lin, Y.; Liu, Y.; He, Y. Graphene oxide decorated with Fe3O4 nanoparticles with advanced anticorrosive properties of epoxy coatings. J. Taiwan Inst. Chem. Eng. 2016, 64, 244–251. [Google Scholar] [CrossRef]
- He, Y.; Zhang, C.; Wu, F.; Xu, Z. Fabrication study of a new anticorrosion coating based on supramolecular nanocontainer. Synth. Met. 2016, 212, 186–194. [Google Scholar] [CrossRef]
- Scherrer, P. Göttinger Nachrichten. Math.-Phys. Kl. 1918, 2, 98–100. [Google Scholar]
- Huang, H.; Wang, J.; Yao, R.; Bostick, B.; Prommer, H.; Lio, X.; Sun, J. Effect of divalent heavy metal cations on the synthesis and characteristics of magnetite. Chem. Geol. 2020, 547, 119669. [Google Scholar] [CrossRef]
- Shchetinin, I.V.; Seleznev, S.V.; Dorofievich, I.V. Structure, and magnetic properties of nanoparticles of magnetite obtained by mechanochemical synthesis. Met. Sci Heat Treat. 2021, 63, 95–100. [Google Scholar] [CrossRef]
- Dabagh, S.; Chudhary, K.; Haider, Z.; Ali, J. Study of structural phase transformation and hysteresis behavior of inverse-spinel α-ferrite nanoparticles synthesized by co-precipitation method. Results Phys. 2018, 8, 93–98. [Google Scholar] [CrossRef]
- Peternele, W.S.; Monge Fuentes, V.; Fascineli, M.L.; Rodrigues da Silva, J.; Silva, R.C.; Lucci, C.M.; Bentes de Azevedo, R. Experimental Investigation of the coprecipitation method an approach to obtain magnetite and maghemite nanoparticles with improved properties. J. Nanomater. 2014, 2014, 682985. [Google Scholar] [CrossRef]
- Xue, X.; Penn, R.L.; Leite, E.R.; Huang, F.; Lin, Z. Crystal growth by oriented attachment: Kinetic models and control factors. Cryst. Eng. Comm. 2014, 16, 1419–1429. [Google Scholar] [CrossRef]
- Nkurikiyimfura, I.; Wang, Y.; Safari, B.; Nshingabigwi, E. Temperature-dependent magnetic properties of magnetite nanoparticles synthesized via coprecipitation method. J. Alloy. Compd. 2020, 846, 156344. [Google Scholar] [CrossRef]
- Jain, T.; Richey, J.; Strand, M.; Leslie Pelecky, D.; Flask, C.; Labhasetwar, V. Magnetic nanoparticles with dual functional properties: Drug delivery and magnetic resonance imaging. Biomaterials 2008, 29, 4012–4021. [Google Scholar] [CrossRef] [PubMed]
- Lv, D.; Wang, R.; Tang, G.; Mou, Z.; Lei, J.; Han, J.; Xiong, R.; Huang, C. Ecofriendly electrospun membranes loaded with visible-light-responding nanoparticles for multifunctional usages: HigHly efficient air filtration, dye scavenging, and bactericidal activity. Appl. Mater. Interfaces 2019, 11, 12880–12889. [Google Scholar] [CrossRef] [PubMed]
- Goss, C.J. Saturation magnetization, coercivity, and lattice parameter changes in the system Fe3O4–γFe3O4 and their relationship to structure. Phys. Chem. Miner. 1988, 16, 164–171. [Google Scholar] [CrossRef]
- Klug, H.P.; Alexander, L. X-ray Diffraction Procedures for Polycrystalline and Amorphous Materials, 2nd ed.; Wiley Interscience: New York, NY, USA, 1974; ISBN 978-0-471-49369-3. [Google Scholar]
- Hargreaves, J.S.J. Some considerations related to the use of the Scherrer equation in powder X-ray diffraction as applied to heterogeneous catalysts. Catal. Struct. React. 2016, 2, 33–37. [Google Scholar] [CrossRef]
- Nguyen, M.D.; Tran, H.V.; Xu, S.; Randall-Lee, T. Fe3O4 nanoparticles: Structures, synthesis, magnetic properties, Surface functionalizations, and emerging applications. MPI App. Sci. 2021, 11, 11301. [Google Scholar] [CrossRef]
- Liu, X.; Kaminski, M.D.; Guan, Y.; Chen, H.; Lui, H.A.J.J. Preparation and characterization of hydrophobic superparamagnetic magnetite gel. J. Magn. Magn. Mater. 2006, 306, 248–253. [Google Scholar] [CrossRef]
- Zheng, Y.; Cheng, Y.; Bao, F.; Wang, Y. Synthesis and magnetic properties of Fe3O4 nanoparticles. Mater. Res. Bull. 2006, 41, 525–529. [Google Scholar] [CrossRef]
- Iida, H.; Takayanagi, K.; Nakanishi, T.; Osaka, T. Synthesis of Fe3O4 nanoparticles with various sizes and magnetic properties by controlled hydrolysis. J. Colloid. Interface Sci. 2007, 314, 274–280. [Google Scholar] [CrossRef]
- Calderón, J.; Rossa Mattos, Ó.; Esteves Barcia, O. Analysis of the cobalt open-circuit-potential behavior in a slightly alkaline media. Rev. Fac. Ing. Univ. Antioq. 2006, 38, 20–30. [Google Scholar]
- Pin, Y.Y.; Shameli, K.; Miyake, M.; Khairudin, N.B.B.A.; Mohamad, S.E.B.; Naiki, T.; Lee, K.X. Green Biosynthesis of Superparamagnetic Magnetite Fe3O4 Nanoparticles and Biomedical Applications in Targeted Anticancer Drug Delivery System: A review. Arab. J. Chem. 2018, 13, 2287–2308. [Google Scholar] [CrossRef]
- Blanco-Andujar, C.; Ortega, D.; Pankhurst, Q.A.; Thanh, T.K.N. Elucidating the morphological and structural evolution of iron oxide nanoparticles formed by sodium carbonate in aqueous medium. J. Mater. Chem. 2012, 22, 12498. [Google Scholar] [CrossRef]

















| Characteristic Experiment | Ratio Fe3+:Fe2+ | Temperature |
|---|---|---|
| M1 | 2:1 | 25 °C |
| M2 | 2:1 | 55 °C |
| M3 | 2:1 | 85 °C |
| M4 | 2:1 | 95 °C |
| NPs (M4) | GO | DMF | H2O | Ethyl Alcohol | Acqua 100 |
|---|---|---|---|---|---|
| 0.2 g | 1 g | 400 mL | 400 mL | 600 mL | 300 g |
| Sample | Iron Oxide Phase | Color | Observed Intensity Index | Comparison with JCPDS Card No. | Average Size (Scherrer) |
|---|---|---|---|---|---|
| M1 | Rhombohedral-Fe3O4 | Dark brown | (110) (220), (222) (311), (400) (422), (104) (511), | 00-019-0629 | 3 nm |
| M2 | Rhombohedral-Fe3O4 | Dark brown | (104) (110), (021) (113), (033) (125), (208) (220) | 01-071-6766 | 7 nm |
| M3 | Orthorhombic-Fe3O4 | Dark brown | (020) (114), (212) (122), (314) (028), (322) (110), (228) (040), | 01-076-0955 | 10 nm |
| M4 | Orthorhombic-Fe3O4 | Dark brown | (110) (004), (106) (122), (026) (222), (040) (228) | 01-076-0957 | 12 nm |
| 2ϴ | Miller Index hkl | dhkl (Å) JCPDS 00-19-0629 | dhkl (Å) Experimental | Percentage Relative Error |
|---|---|---|---|---|
| 30.5 | (220) | 2.97 | 2.92 | 2.02% |
| 35.6 | (311) | 2.53 | 2.51 | 0.79% |
| 43.32 | (400) | 2.10 | 2.08 | 0.95% |
| 53.96 | (422) | 1.71 | 1.69 | 1.69% |
| 57.54 | (511) | 1.62 | 1.59 | 1.85% |
| 63.14 | (440) | 1.49 | 1.47 | 1.34% |
| Acqua 100 | Acqua 100 + 0.5% de NPs | Acqua 100 + 1% de NPs |
|---|---|---|
| −0.6578 V | −0.6483 V | −0.6158 V |
| Acqua 100 | Acqua 100 + 0.5 wt.% | Acqua 100 + 1 wt.% | |
|---|---|---|---|
| CR (mm/y) | 0.14 | 0.06 | 0.02 |
| MR (g/m2d) | 3.07 | 1.32 | 0.33 |
| Samples | Thickness (μm) | Volume (L) | Resistance Factor |
|---|---|---|---|
| Acqua 100 | 67.80 | 156 | 2.3 |
| Acqua 100 + 0.5% | 69.34 | 178 | 2.56 |
| Acqua 100 + 1% | 83.82 | 222 | 2.67 |
Publisher’s Note: MDPI stays neutral with regard to jurisdictional claims in published maps and institutional affiliations. |
© 2022 by the authors. Licensee MDPI, Basel, Switzerland. This article is an open access article distributed under the terms and conditions of the Creative Commons Attribution (CC BY) license (https://creativecommons.org/licenses/by/4.0/).
Share and Cite
Elizondo-Villarreal, N.; Verástegui-Domínguez, L.; Rodríguez-Batista, R.; Gándara-Martínez, E.; Alcorta-García, A.; Martínez-Delgado, D.; Rodríguez-Castellanos, E.A.; Vázquez-Rodríguez, F.; Gómez-Rodríguez, C. Green Synthesis of Magnetic Nanoparticles of Iron Oxide Using Aqueous Extracts of Lemon Peel Waste and Its Application in Anti-Corrosive Coatings. Materials 2022, 15, 8328. https://doi.org/10.3390/ma15238328
Elizondo-Villarreal N, Verástegui-Domínguez L, Rodríguez-Batista R, Gándara-Martínez E, Alcorta-García A, Martínez-Delgado D, Rodríguez-Castellanos EA, Vázquez-Rodríguez F, Gómez-Rodríguez C. Green Synthesis of Magnetic Nanoparticles of Iron Oxide Using Aqueous Extracts of Lemon Peel Waste and Its Application in Anti-Corrosive Coatings. Materials. 2022; 15(23):8328. https://doi.org/10.3390/ma15238328
Chicago/Turabian StyleElizondo-Villarreal, Nora, Luz Verástegui-Domínguez, Raúl Rodríguez-Batista, Eleazar Gándara-Martínez, Aracelia Alcorta-García, Dora Martínez-Delgado, Edén Amaral Rodríguez-Castellanos, Francisco Vázquez-Rodríguez, and Cristian Gómez-Rodríguez. 2022. "Green Synthesis of Magnetic Nanoparticles of Iron Oxide Using Aqueous Extracts of Lemon Peel Waste and Its Application in Anti-Corrosive Coatings" Materials 15, no. 23: 8328. https://doi.org/10.3390/ma15238328
APA StyleElizondo-Villarreal, N., Verástegui-Domínguez, L., Rodríguez-Batista, R., Gándara-Martínez, E., Alcorta-García, A., Martínez-Delgado, D., Rodríguez-Castellanos, E. A., Vázquez-Rodríguez, F., & Gómez-Rodríguez, C. (2022). Green Synthesis of Magnetic Nanoparticles of Iron Oxide Using Aqueous Extracts of Lemon Peel Waste and Its Application in Anti-Corrosive Coatings. Materials, 15(23), 8328. https://doi.org/10.3390/ma15238328

