Assessment of Corrosion Resistance and Hardness of Shot Peened X5CrNi18-10 Steel
Abstract
1. Introduction
2. Experimental Procedures
2.1. Specimens Preparation
2.2. Surface Characterization
2.3. Surface Hardness
2.4. Corrosion Test
3. Results and Discussion
3.1. Surface Morphology
3.2. Microhardness Measurements
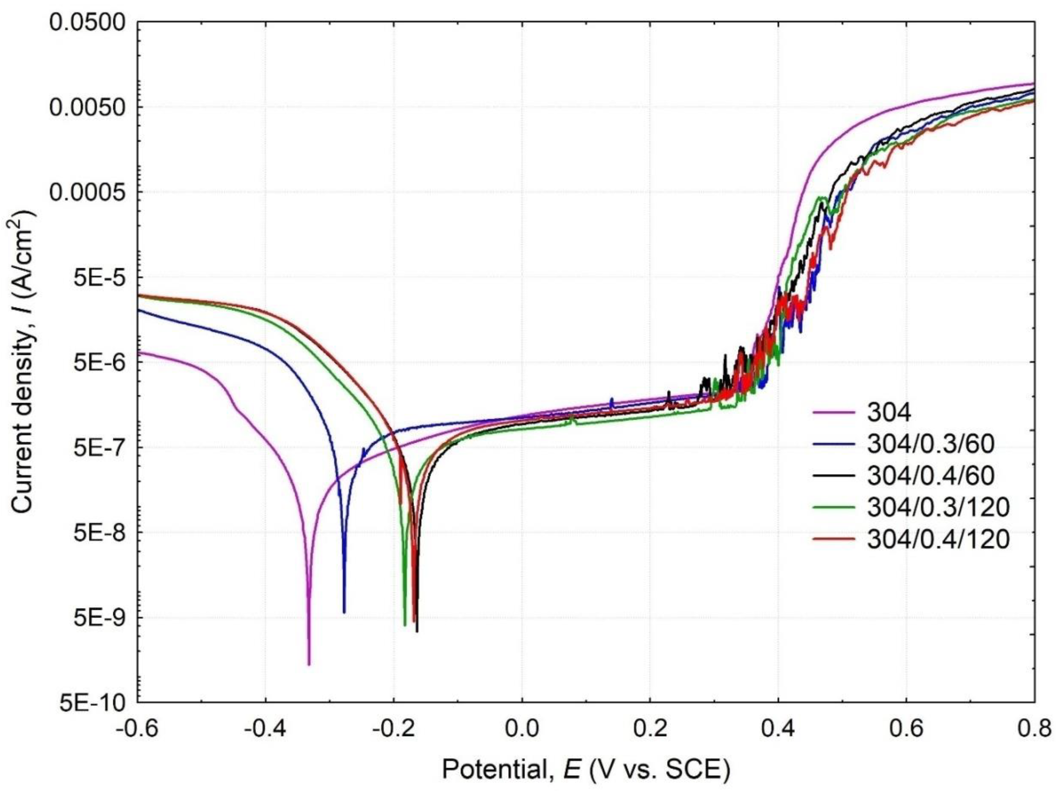
3.3. Corrosion Resistance
4. Conclusions
Author Contributions
Funding
Institutional Review Board Statement
Informed Consent Statement
Data Availability Statement
Conflicts of Interest
References
- Chen, X.; Li, Y.; Zhu, Y.; Bai, Y.; Yang, B. Improved corrosion resistance of 316LN stainless steel performed by rotationally accelerated shot peening. Appl. Surf. Sci. 2019, 481, 1305–1312. [Google Scholar] [CrossRef]
- Gui, Y.; Zheng, Z.; Gao, Y. The bi-layer structure and the higher compactness of a passive film on nanocrystalline 304 stainless steel. Thin Solid Film. 2016, 599, 64–71. [Google Scholar] [CrossRef]
- Li, T.; Liu, L.; Zhang, B.; Li, Y.; Wang, F. An investigation on the continuous and uniform thin membrane passive film formed on sputtered nanocrystalline stainless steel. Corros. Sci. 2016, 104, 71–83. [Google Scholar] [CrossRef]
- Walczak, M.; Szala, M. Effect of shot peening on the surface properties, corrosion and wear performance of 17 4PH steel produced by DMLS additive manufacturing. Arch. Civ. Mech. Eng. 2021, 21, 157–177. [Google Scholar] [CrossRef]
- Balusamy, T.; Sankara Narayanan, T.S.N.; Ravichandran, K.; Park, I.S.; Lee, M.H. Influence of surface mechanical attrition treatment (SMAT) on the corrosion behaviour of AISI 304 stainless steel. Corros. Sci. 2013, 74, 332–344. [Google Scholar] [CrossRef]
- Skoczylas, A.; Zaleski, K. Study on the surface layer properties and fatigue life of a workpiece machined by centrifugal shot peening and burnishing. Materials 2022, 15, 6677. [Google Scholar] [CrossRef]
- Żebrowski, R.; Walczak, M.; Klepka, T.; Pasierbiewicz, K. Effect of the shot peening on surface properties of Ti-6Al-4V alloy produced by means of DMLS technology. Eksploat. i Niezawodn.-Maint. Reliab. 2019, 21, 46–53. [Google Scholar] [CrossRef]
- Żebrowski, R.; Walczak, M. Effect of the shot peening on surface properties and tribological performance of Ti-6Al-4V alloy produced by means of DMLS technology. Arch. Metall. Mater. 2019, 64, 377. [Google Scholar] [CrossRef]
- Kameyama, Y.; Komotori, J. Effect of micro ploughing during fine particle peening process on the microstructure of metallic materials. J. Mater. Process. Technol. 2009, 209, 6146–6155. [Google Scholar] [CrossRef]
- Huang, H.; Niu, J.; Xing, X.; Lin, Q.; Chen, H.; Qiao, Y. Effects of the Shot Peening Process on Corrosion Resistance of Aluminum Alloy: A Review. Coatings 2022, 12, 629. [Google Scholar] [CrossRef]
- Liu, C.; Zheng, H.; Gu, X.; Jiang, B.; Liang, J. Effect of severe shot peening on corrosion behavior of AZ31 and AZ91 magnesium alloys. J. Alloys Compd. 2019, 770, 500–506. [Google Scholar] [CrossRef]
- Bagherifard, S.; Hickey, D.J.; Fintová, S.; Pastorek, F.; Fernandez-Pariente, I.; Bandini, M.; Webster, T.J.; Guagliano, M. Effects of nanofeatures induced by severe shot peening (SSP) on mechanical, corrosion and cytocompatibility properties of magnesium alloy AZ31. Acta Biomater. 2018, 66, 93–108. [Google Scholar] [CrossRef] [PubMed]
- Żebrowski, R.; Walczak MDrozd, K.; Jarosz, M.J. Changes of cytotoxicity of Ti-6Al-4V alloy made by DMLS technology as effect of the shot peening. Ann. Agric. Environ. Med. 2020, 27, 706–712. [Google Scholar] [CrossRef] [PubMed]
- Qiao, M.; Hu, J.; Guo, K.; Wang, Q. Influence of shot peening on corrosion behaviour of low alloy steel. Mater. Res. Express 2020, 7, 016574. [Google Scholar] [CrossRef]
- Burduhos-Nergis, D.-P.; Vizureanu, P.; Sandu, A.V.; Bejinariu, C. Phosphate Surface Treatment for Improving the Corrosion Resistance of the C45 Carbon Steel Used in Carabiners Manufacturing. Materials 2020, 13, 3410. [Google Scholar] [CrossRef]
- Benedetti, M.; Torresani, E.; Leoni, M.; Fontanari, V.; Bandini, M.; Pederzolli, C.; Potrich, C. The effect of post-sintering treatments on the fatigue and biological behavior of Ti-6Al-4V ELI parts made by selective laser melting. J. Mech. Behav. Biomed. Mater. 2017, 71, 295–306. [Google Scholar] [CrossRef]
- Ahmed, A.A.; Mhaede, M.; Wollmann, M.; Wagner, L. Effect of micro shot peening on the mechanical properties and corrosion behavior of two microstructure Ti–6Al–4V alloy. Appl. Surf. Sci. 2016, 363, 50–58. [Google Scholar] [CrossRef]
- Walczak, M.; Drozd, K. Tribological characteristics of dental metal biomaterials. Curr. Issues Pharm. Med Sci. 2016, 29, 158–162. [Google Scholar] [CrossRef]
- Chen, X.H.; Lu, J.; Lu, L.; Lu, K. Tensile properties of a nanocrystalline 316L austenitic stainless steel. Scr. Mater. 2005, 52, 1039–1044. [Google Scholar] [CrossRef]
- Gaberšček, M.; Pejovnik, S. Impedance spectroscopy as a technique for studying the spontaneous passivation of metals in electrolytes. Electrochimica Acta 1996, 41, 1137–1142. [Google Scholar] [CrossRef]
- Jelliti, S.; Richard, C.; Retraint, D.; Roland, T.; Chemkhi, M.; Demangel, C. Effect of surface nanocrystallization on the corrosion behavior of Ti-6Al-4V titanium alloy. Surf. Coat. Technol. 2013, 224, 82–87. [Google Scholar] [CrossRef]
- Zaleski, K.; Skoczylas, A. Effect of Slide Burnishing on the Surface Layer and Fatigue Life of Titanium Alloy Parts. Adv. Mater. Sci. 2019, 19, 35–45. [Google Scholar] [CrossRef]
- Świetlicki, A.; Szala, M.; Walczak, M. Effects of Shot Peening and Cavitation Peening on Properties of Surface Layer of Metallic Materials—A Short Review. Materials 2022, 15, 2476. [Google Scholar] [CrossRef] [PubMed]
- Skoczylas, A. Vibratory Shot Peening of Elements Cut with Abrasive Water Jet. Adv. Sci. Technol. Res. J. 2022, 16, 39–49. [Google Scholar] [CrossRef]
- Shi, W.; Yang, S.; Li, J. Correlation between evolution of inclusions and pitting corrosion in 304 stainless steel with yttrium addition. Sci. Rep. 2018, 8, 4830. [Google Scholar] [CrossRef]
- Guan, L.; Zhang, B.; Yong, X.P.; Wang, J.Q.; Han, E.-H.; Ke, W. Effects of Cyclic Stress on the Metastable Pitting Characteristic for 304 Stainless Steel under Potentiostatic Polarization. Corros. Sci. 2015, 93, 80–89. [Google Scholar] [CrossRef]
- Mroczkowska, K.M.; Dzienny, P.; Budnicki, A.; Antończak, A.J. Corrosion Resistance of AISI 304 Stainless Steel Modified Both Femto- and Nanosecond Lasers. Coatings 2021, 11, 592. [Google Scholar] [CrossRef]
- Zhiming, L.; Laimin, S.; Shenjin, Z.; Zhidong, T.; Yazhou, J. Effect of high energy shot peening pressure on the stress corrosion cracking of the weld joint of 304 austenitic stainless steel. Mater. Sci. Eng. A 2015, 637, 170–174. [Google Scholar] [CrossRef]
- Mori, G.; Bauernfeind, D. Pitting and Crevice Corrosion of Superaustenitic Stainless Steels. Mater. Corros. 2004, 55, 164–173. [Google Scholar] [CrossRef]
- Nagarajan, S.; Rajendran, N. Crevice Corrosion Behaviour of Superaustenitic Stainless Steels: Dynamic Electrochemical Impedance Spectroscopy and Atomic Force Microscopy Studies. Corros. Sci. 2009, 51, 217–224. [Google Scholar] [CrossRef]
- Reclaru, L.; Ardelean, L.C. Corrosion Susceptibility and Allergy Potential of Austenitic Stainless Steels. Materials 2020, 13, 4187. [Google Scholar] [CrossRef] [PubMed]
- Morales, J.; Esparza, P.; Salvarezza, R.; Gonzalez, S. The Pitting and Crevice Corrosion of 304 Stainless Steel in Phosphate-Borate Buffer Containing Sodium Chloride. Corros. Sci. 1992, 33, 1645–1651. [Google Scholar] [CrossRef]
- Tang, Y.; Dai, N.; Wu, J.; Jiang, Y.; Li, J. Effect of Surface Roughness on Pitting Corrosion of 2205 Duplex Stainless Steel Investigated by Electrochemical Noise Measurements. Materials 2019, 12, 738. [Google Scholar] [CrossRef] [PubMed]
- Mitchell, J.; Crow, N.; Nieto, A. Effect of Surface Roughness on Pitting Corrosion of AZ31 Mg Alloy. Metals 2020, 10, 651. [Google Scholar] [CrossRef]
- Szala, M.; Łukasik, D. Pitting Corrosion of the Resistance Welding Joints of Stainless Steel Ventilation Grille Operated in Swimming Pool Environment. Int. J. Corros. 2018, 2018, 9408670. [Google Scholar] [CrossRef]
- Leda, H. Materiały Inżynierskie w Zastosowaniach Biomedycznych (Engineering Materials in Biomedical Applications); Poznań University of Technology Publisher: Poznań, Poland, 2012; ISBN 978-83-7775-111-4. (In Polish) [Google Scholar]
- Cárcel-Carrasco, F.-J.; Pascual-Guillamón, M.; Solano García, L.; Salas Vicente, F.; Pérez-Puig, M.-A. Pitting Corrosion in AISI 304 Rolled Stainless Steel Welding at Different Deformation Levels. Appl. Sci. 2019, 9, 3265. [Google Scholar] [CrossRef]







| C | Mn | Si | P | S | Cr | Ni | N | Fe | |
|---|---|---|---|---|---|---|---|---|---|
| EN 10088-2-2014 | max 0.030 | max 2.00 | max 0.75 | max 0.045 | max 0.015 | 17.5–19.50 | 8.00–10.50 | max 0.10 | bal. |
| AISI 304 * | 0.026 | 1.545 | 0.344 | 0.043 | 0.001 | 18.25 | 8.723 | 0.064 | bal. |
| Shot | Typical Chemical Composition (mas. %) | Grain Size | Grain Shape | Hardness | |
|---|---|---|---|---|---|
| Stainless steel shot—CrNi | Cr Ni Si Mn C Fe | 16.0–20.0 7.0–9.0 1.8–2.2 0.7–1.2 0.05–0.2 bal. | 400–900 µm | spherical | 235 HV |
| Specimen Notation | Peening Pressure (MPa) | Peening Time (s) |
|---|---|---|
| 304 | unpeened | |
| 304/0.3/60 | 0.3 | 60 |
| 304/0.3/120 | 0.3 | 120 |
| 304/0.4/60 | 0.4 | 60 |
| 304/0.4/120 | 0.4 | 120 |
| Sample/Conditions | Corrosion Currents Density, Icorr (µA/cm2) | Corrosion Potential, Ecorr (VSCE) | Pitting Potential, Ep (VSCE) | Polarization Resistance, Rp (kΩ∙cm2) | Corrosion Rate, CR (mm/year) |
|---|---|---|---|---|---|
| 304 | 0.433 | −0.333 | 0.349 | 164.185 | 3.419 × 10−3 |
| 304/0.3/60 | 0.555 | −0.277 | 0.353 | 51.549 | 4.382 × 10−3 |
| 304/0.3/120 | 0.461 | −0.183 | 0.356 | 77.988 | 3.641 × 10−3 |
| 304/0.4/60 | 0.436 | −0.163 | 0.368 | 70.805 | 3.442 × 10−3 |
| 304/0.4/120 | 0.455 | −0.168 | 0.362 | 64.114 | 3.592 × 10−3 |
Publisher’s Note: MDPI stays neutral with regard to jurisdictional claims in published maps and institutional affiliations. |
© 2022 by the authors. Licensee MDPI, Basel, Switzerland. This article is an open access article distributed under the terms and conditions of the Creative Commons Attribution (CC BY) license (https://creativecommons.org/licenses/by/4.0/).
Share and Cite
Walczak, M.; Szala, M.; Okuniewski, W. Assessment of Corrosion Resistance and Hardness of Shot Peened X5CrNi18-10 Steel. Materials 2022, 15, 9000. https://doi.org/10.3390/ma15249000
Walczak M, Szala M, Okuniewski W. Assessment of Corrosion Resistance and Hardness of Shot Peened X5CrNi18-10 Steel. Materials. 2022; 15(24):9000. https://doi.org/10.3390/ma15249000
Chicago/Turabian StyleWalczak, Mariusz, Mirosław Szala, and Wojciech Okuniewski. 2022. "Assessment of Corrosion Resistance and Hardness of Shot Peened X5CrNi18-10 Steel" Materials 15, no. 24: 9000. https://doi.org/10.3390/ma15249000
APA StyleWalczak, M., Szala, M., & Okuniewski, W. (2022). Assessment of Corrosion Resistance and Hardness of Shot Peened X5CrNi18-10 Steel. Materials, 15(24), 9000. https://doi.org/10.3390/ma15249000

