Effect of Residual Stresses on Fatigue Crack Growth: A Numerical Study Based on Cumulative Plastic Strain at the Crack Tip
Abstract
:1. Introduction
2. Numerical Model
2.1. Geometry and Boundary Conditions
2.2. Material Model
2.3. Generation of Residual Stresses
2.3.1. Case A: Elastic Residual Stresses
2.3.2. Case B: Residual Stresses under Plastic Deformation
2.4. Finite Element Model
2.5. Software
3. Results
3.1. Residual Stresses
3.2. Fatigue Crack Growth Rate
3.3. Crack Closure
3.4. CTOD Plots
4. Conclusions
- Elastic residual stresses (case A) were produced ahead of the crack tip by heating a rectangular region of the specimen up to 70 °C. The maximum compressive stress (200 MPa) is 69% of material’s yield stress. Tensile residual stresses are observed on both sides of the compressive region, which is a consequence of the internal balance of stresses. Residual stresses were also produced by plastic deformation (case B). In this case, the material was cooled to generate plastic deformation and then heated up to the initial temperature to create tensile residual stresses. The maximum tensile and compressive residual stresses are now bigger and the transition from compressive to tensile residual stresses is very sharp.
- The fatigue crack growth changes the distribution of elastic thermal residual stresses (TRS). The residual stresses resulting from the crack tip plastic deformation add to the TRS.
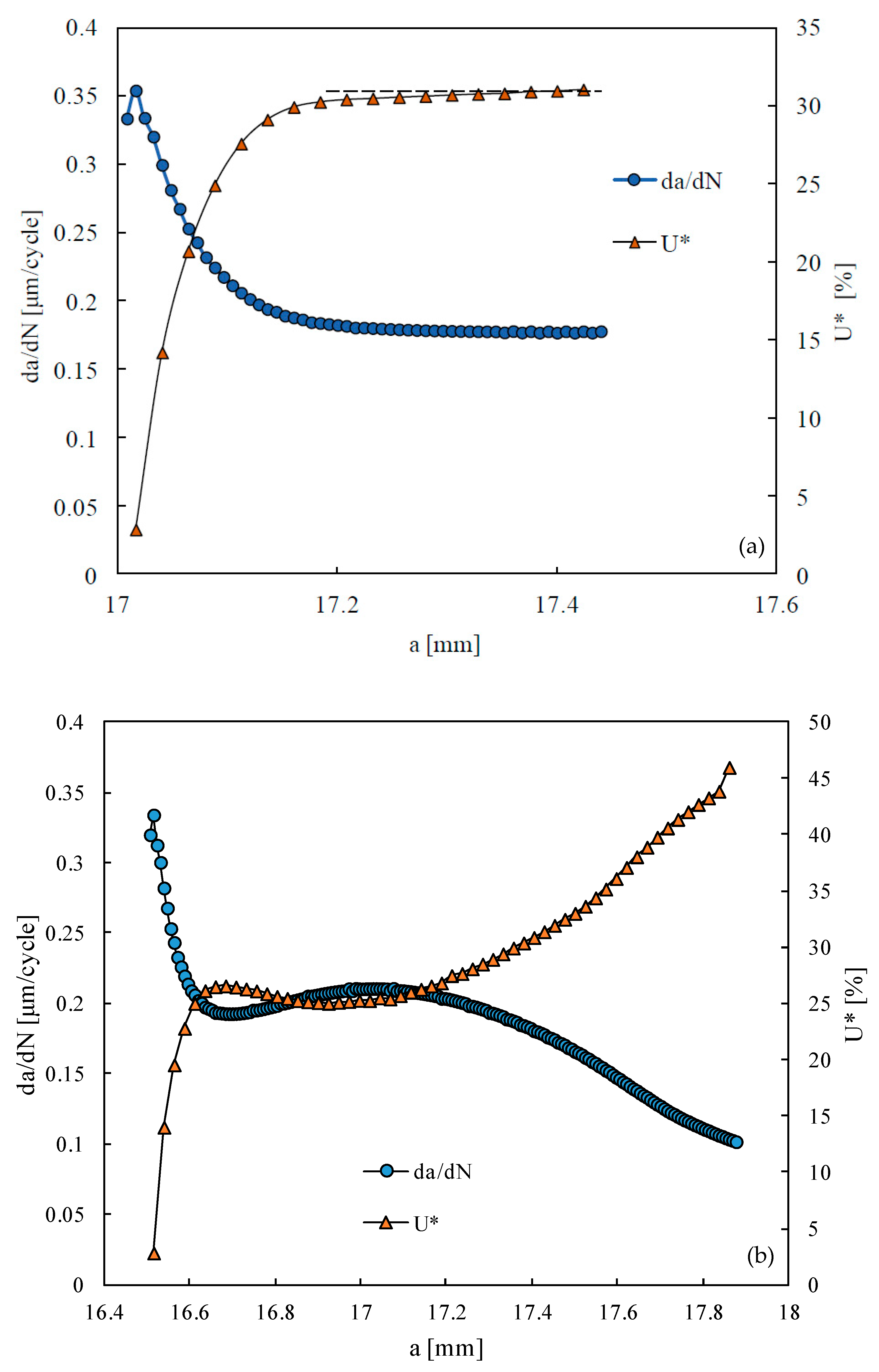
- The regions with tensile TRS show an increase in da/dN, while the regions with compressive TRS show a decrease in da/dN. A perfect match exists between the trends of da/dN and the original profile of TRS.
- The removal of the contact of crack flanks increased FCG rate and, more importantly, eliminated the influence of TRS. This clearly indicates that the TRS affect da/dN indirectly, through plasticity-induced crack closure.
- No substantial difference was found between the effects of elastic residual stresses and the residual stresses induced by plastic deformation.
- A perfect match was found between the trends of da/dN and crack closure, which reinforced the conviction that crack closure is responsible for the effect of TRS on the FCG rate.
- The analysis of CTOD showed that without contact of crack flanks, the residual stresses change the vertical position of CTOD versus load loop, without changing the crack tip plastic deformation.
- The numerical predictions were obtained by assuming that crack tip plastic deformation is the crack driving force. The residual stresses may directly affect other damage mechanisms of FCG, namely the growth of microvoids, environmental damage, and brittle failure.
Author Contributions
Funding
Institutional Review Board Statement
Informed Consent Statement
Data Availability Statement
Conflicts of Interest
References
- Wang, S.; Li, Y.; Yao, M.; Wang, R. Compressive residual stress introduced by shot peening. J. Mater. Process. Technol. 1998, 73, 64–73. [Google Scholar] [CrossRef]
- Růžek, R.; Pavlas, J.; Doubrava, R. Application of indentation as a retardation mechanism for fatigue crack growth. Int. J. Fatigue 2012, 37, 92–99. [Google Scholar] [CrossRef]
- Bikdeloo, R.; Farrahi, G.H.; Mehmanparast, A.; Mahdavi, S.M. Multiple laser shock peening effects on residual stress distribution and fatigue crack growth behaviour of 316L stainless steel. Theor. Appl. Fract. Mech. 2020, 105, 102429. [Google Scholar] [CrossRef]
- Garcia, C.; Lotz, T.; Martinez, M.; Artemev, A.; Alderliesten, R.; Benedictus, R. Fatigue crack growth in residual stress fields. Int. J. Fatigue 2016, 87, 326–338. [Google Scholar] [CrossRef] [Green Version]
- Shreyas, P.; Trishul, M.A. Overview of research on Surface Mechanical Attrition Treatment (SMAT). Int. Adv. Res. J. Sci. Eng. Technol. 2014, 1, 205–207. [Google Scholar]
- Farrahi, G.H.; Majzoobi, G.H.; Hosseinzadeh, F.; Harati, S.M. Experimental evaluation of the effect of residual stress field on crack growth behaviour in C(T) specimen. Eng. Fract. Mech. 2006, 73, 1772–1782. [Google Scholar] [CrossRef]
- Heckenberger, U.; Hombergsmeier, E.; Holzinger, V.; von Bestenbostel, W. Advances in Laser Shock Peening theory and practice around the world: Present solutions and future challenges. In Proceedings of the 2nd International Conference on Laser Peening; Ivetic, G., Ed.; Emerald Group Publishing Ltd.: Bradford, UK, 2011; pp. 22–33. [Google Scholar]
- Ivetic, G.; Meneghin, I.; Troiani, E.; Molinari, G.; Ocaña, J.L.; Morales, M.; Porro, J.; Lanciotti, A.; Ristori, V.; Polese, C.; et al. Fatigue in laser shock peened open-hole thin aluminium specimens. Mater. Sci. Eng. A 2012, 534, 573–579. [Google Scholar] [CrossRef] [Green Version]
- Troiani, E.; Taddia, S.; Meneghin, I.; Molinari, G. Fatigue Crack Growth in Laser Shock Peened Thin Metallic Panels. Adv. Mater. Res. 2014, 996, 775–781. [Google Scholar] [CrossRef] [Green Version]
- Lacarac, V.; Smith, D.J.; Pavier, M.J.; Priest, M. Fatigue crack growth from plain and cold expanded holes in aluminium alloys. Int. J. Fatigue 2000, 22, 189–203. [Google Scholar] [CrossRef]
- Giglio, M.; Lodi, M. Optimization of a cold-working process for increasing fatigue life. Int. J. Fatigue 2009, 31, 1978–1995. [Google Scholar] [CrossRef]
- Rana, M.S.; Makabe, C.; Fujiwara, G. The effect of hole shape on the extent of fatigue life improvement by cold expansions. Eng. Fail. Anal. 2009, 16, 2081–2090. [Google Scholar] [CrossRef]
- Farrahi, G.H.; Lebrijn, J.L.; Couratin, D. Effect of shot peening on residual stress and fatigue life of a spring steel. Fatigue Fract. Eng. Mater. Struct. 1995, 18, 211–220. [Google Scholar] [CrossRef]
- de Matos, P.F.P.; Moreira, P.M.G.P.; Camanho, P.P.; de Castro, P.M.S.T. Numerical simulation of cold working of rivet holes. Finite Elem. Anal. Des. 2005, 41, 989–1007. [Google Scholar] [CrossRef]
- Larue, J.E.; Daniewicz, S.R. Predicting the effect of residual stress on fatigue crack growth. Int. J. Fatigue 2007, 29, 508–515. [Google Scholar] [CrossRef]
- Schnubel, D.; Huber, N. The influence of crack face contact on the prediction of fatigue crack propagation in residual stress fields. Eng. Fract. Mech. 2012, 84, 15–24. [Google Scholar] [CrossRef] [Green Version]
- Todoroki, A.; Kobayashi, H. Prediction of Fatigue Crack Growth Rate in Residual Stress Fields. Key Eng. Mater. 1991, 51–52, 367–372. [Google Scholar] [CrossRef]
- Özdemir, A.T.; Edwards, L. Relaxation of residual stresses at cold-worked fastener holes due to fatigue loading. Fatigue Fract. Eng. Mater. Struct. 1997, 20, 1443–1451. [Google Scholar] [CrossRef]
- Lam, Y.C.; Lian, K.S. The effect of residual stress and its redistribution of fatigue crack growth. Theor. Appl. Fract. Mech. 1989, 12, 59–66. [Google Scholar] [CrossRef]
- Newman, J.C., Jr.; Daniewicz, S.R. Predicting crack growth in specimens with overloads and cold-worked holes with residual stresses. Eng. Fract. Mech. 2014, 127, 252–266. [Google Scholar] [CrossRef]
- Philips, E.P. Results of the Round Robin on Opening-Load Measurement; National Aeronautics and Space Administration, Langley Research Center: Hampton, VA, USA, 1989.
- Borges, M.F.; Neto, D.M.; Antunes, F.V. Revisiting Classical Issues of Fatigue Crack Growth Using a Non-Linear Approach. Materials 2020, 13, 5544. [Google Scholar] [CrossRef]
- Antunes, F.V.; Branco, R.; Prates, P.A.; Borrego, L.F. Fatigue crack growth modelling based on CTOD for the 7050-T6 alloy. Fatigue Fract. Eng. Mater. Struct. 2017, 40, 1309–1320. [Google Scholar] [CrossRef]
- Klingbeil, N.W. A total dissipated energy theory of fatigue crack growth in ductile solids. Int. J. Fatigue 2003, 25, 117–128. [Google Scholar] [CrossRef]
- Dowling, N.E.; Begley, J.A. Fatigue Crack Growth During Gross Plasticity and the J-Integral. Mech. Crack Growth 1976, 82–103. [Google Scholar] [CrossRef]
- Heung, B.P.; Kyung, M.K.; Byong, W.L. Plastic zone size in fatigue cracking. Int. J. Press. Vessel. Pip. 1996, 68, 279–285. [Google Scholar] [CrossRef]
- Pokluda, J. Dislocation-based model of plasticity and roughness-induced crack closure. Int. J. Fatigue 2013, 46, 35–40. [Google Scholar] [CrossRef]
- Barsoum, Z.; Barsoum, I. Residual stress effects on fatigue life of welded structures using LEFM. Eng. Fail. Anal. 2009, 16, 449–467. [Google Scholar] [CrossRef]
- Thamburaja, P.; Sarah, K.; Srinivasa, A.; Reddy, J.N. Fracture of viscoelastic materials: FEM implementation of a non-local & rate form-based finite-deformation constitutive theory. Comput. Methods Appl. Mech. Eng. 2019, 354, 871–903. [Google Scholar] [CrossRef]
- Sarah, K.; Thamburaja, P.; Srinivasa, A.; Reddy, J.N. Numerical simulations of damage and fracture in viscoelastic solids using a nonlocal fracture criterion. Mech. Adv. Mater. Struct. 2020, 27, 1085–1097. [Google Scholar] [CrossRef]
- Mozafari, F.; Thamburaja, P.; Srinivasa, A.R.; Moslemi, N. A rate independent inelasticity model with smooth transition for unifying low-cycle to high-cycle fatigue life prediction. Int. J. Mech. Sci. 2019, 159, 325–335. [Google Scholar] [CrossRef]
- Mozafari, F.; Thamburaja, P.; Srinivasa, A.; Abdullah, S. Fatigue life prediction under variable amplitude loading using a microplasticity-based constitutive model. Int. J. Fatigue 2020, 134, 105477. [Google Scholar] [CrossRef]
- Mozafari, F.; Thamburaja, P.; Moslemi, N.; Srinivasa, A. Finite-element simulation of multi-axial fatigue loading in metals based on a novel experimentally-validated microplastic hysteresis-tracking method. Finite Elem. Anal. Des. 2021, 187, 103481. [Google Scholar] [CrossRef]
- Ferreira, F.F.; Neto, D.M.; Jesus, J.S.; Prates, P.A.; Antunes, F.V. Numerical Prediction of the Fatigue Crack Growth Rate in SLM Ti-6Al-4V Based on Crack Tip Plastic Strain. Metals 2020, 10, 1133. [Google Scholar] [CrossRef]
- Neto, D.M.; Borges, M.F.; Antunes, F.V.; Jesus, J. Mechanisms of fatigue crack growth in Ti-6Al-4V alloy subjected to single overloads. Theor. Appl. Fract. Mech. 2021, 114, 103024. [Google Scholar] [CrossRef]
- Borges, M.F.; Lopez-Crespo, P.; Antunes, F.V.; Moreno, B.; Prates, P.; Camas, D.; Neto, D.M. Fatigue crack propagation analysis in 2024-T351 aluminium alloy using nonlinear parameters. Int. J. Fatigue 2021, 153, 106478. [Google Scholar] [CrossRef]
- Borges, M.F.; Neto, D.M.; Antunes, F.V. Numerical simulation of fatigue crack growth based on accumulated plastic strain. Theor. Appl. Fract. Mech. 2020, 108, 102676. [Google Scholar] [CrossRef]
- Neto, D.M.; Borges, M.F.; Antunes, F.V.; Sunder, R. Numerical analysis of fatigue crack growth under SuperBlock2020 load sequence. Eng. Fract. Mech. 2022, 260, 108178. [Google Scholar] [CrossRef]
- Vor, K.; Gardin, C.; Sarrazin-Baudoux, C.; Petit, J. Wake length and loading history effects on crack closure of through-thickness long and short cracks in 304L: Part I—Experiments. Eng. Fract. Mech. 2013, 99, 266–277. [Google Scholar] [CrossRef]
- Swift, H.W. Plastic instability under plane stress. J. Mech. Phys. Solids 1952, 1, 1–18. [Google Scholar] [CrossRef]
- Lemaitre, J.; Chaboche, J.-L. Mechanics of Solid Materials; Cambridge University Press: Cambridge, UK, 1990. [Google Scholar] [CrossRef]
- Menezes, L.F.; Teodosiu, C. Three-dimensional numerical simulation of the deep-drawing process using solid finite elements. J. Mater. Process. Technol. 2000, 97, 100–106. [Google Scholar] [CrossRef] [Green Version]
- Martins, J.M.P.; Neto, D.M.; Alves, J.L.; Oliveira, M.C.; Laurent, H.; Andrade-Campos, A.; Menezes, L.F. A new staggered algorithm for thermomechanical coupled problems. Int. J. Solids Struct. 2017, 122–123, 42–58. [Google Scholar] [CrossRef]
- Keller, S.; Klusemann, B. Application of stress intensity factor superposition in residual stress fields considering crack closure. Eng. Fract. Mech. 2021, 243, 107415. [Google Scholar] [CrossRef]
- Hu, Y.; Grandhi, R.V. Efficient numerical prediction of residual stress and deformation for large-scale laser shock processing using the eigenstrain methodology. Surf. Coat. Technol. 2012, 206, 3374–3385. [Google Scholar] [CrossRef]
- Ray, P.K.; Verma, B.B.; Mohanthy, P.K. Spot heating induced fatigue crack growth retardation. Int. J. Press. Vessel. Pip. 2002, 79, 373–376. [Google Scholar] [CrossRef]
- Bueckner, H.F. The Propagation of Cracks and the Energy of Elastic Deformation. Trans. ASME 1958, 80, 1225–1230. [Google Scholar] [CrossRef]
- Borges, M.; Caldas, M.; Antunes, F.; Branco, R.; Prates, P. Fatigue Crack Growth from Notches: A Numerical Analysis. Appl. Sci. 2020, 10, 4174. [Google Scholar] [CrossRef]
- Antunes, F.V.; Marques, G.A.S.; Chegini, A.G.; Correia, L. Transient behaviour in the numerical analysis of plasticity induced crack closure. Fat. Fract. Eng. Mater. Struct. 2014, 37, 526–538. [Google Scholar] [CrossRef]
- Sun, R.; Li, L.; Guo, W.; Peng, P.; Zhai, T.; Che, Z.; Li, B.; Guo, C.; Zhu, Y. Laser shock peening induced fatigue crack retardation in Ti-17 titanium alloy. Mater. Sci. Eng. A 2018, 737, 94–104. [Google Scholar] [CrossRef]









| Material | Y0 [MPa] | C [MPa] | n | Cx | XSat [MPa] |
|---|---|---|---|---|---|
| AA2024-T351 | 288.96 | 389.00 | 0.056 | 138.80 | 111.84 |
Publisher’s Note: MDPI stays neutral with regard to jurisdictional claims in published maps and institutional affiliations. |
© 2022 by the authors. Licensee MDPI, Basel, Switzerland. This article is an open access article distributed under the terms and conditions of the Creative Commons Attribution (CC BY) license (https://creativecommons.org/licenses/by/4.0/).
Share and Cite
Neto, D.M.; Borges, M.F.; Sérgio, E.R.; Antunes, F.V. Effect of Residual Stresses on Fatigue Crack Growth: A Numerical Study Based on Cumulative Plastic Strain at the Crack Tip. Materials 2022, 15, 2156. https://doi.org/10.3390/ma15062156
Neto DM, Borges MF, Sérgio ER, Antunes FV. Effect of Residual Stresses on Fatigue Crack Growth: A Numerical Study Based on Cumulative Plastic Strain at the Crack Tip. Materials. 2022; 15(6):2156. https://doi.org/10.3390/ma15062156
Chicago/Turabian StyleNeto, Diogo M., Micael F. Borges, Edmundo R. Sérgio, and Fernando V. Antunes. 2022. "Effect of Residual Stresses on Fatigue Crack Growth: A Numerical Study Based on Cumulative Plastic Strain at the Crack Tip" Materials 15, no. 6: 2156. https://doi.org/10.3390/ma15062156
APA StyleNeto, D. M., Borges, M. F., Sérgio, E. R., & Antunes, F. V. (2022). Effect of Residual Stresses on Fatigue Crack Growth: A Numerical Study Based on Cumulative Plastic Strain at the Crack Tip. Materials, 15(6), 2156. https://doi.org/10.3390/ma15062156

