Reactive Sintering of Dysprosium-Iron Garnet via a Perovskite-Hematite Solid State Reaction and Physical Properties of the Material
Abstract
:1. Introduction
2. Experimental
3. Results and Discussion
3.1. Synthesis
- Dy: the 24c position with fractional coordinates 1/8; 0; 1/4;
- Fe1: the 16a position with fractional coordinates 0; 0; 0;
- Fe2: the 24d position with fractional coordinates 3/8; 0; 1/4;
- O: the 96 h position with fractional coordinates 0.3497(2); −0.0305(2) −0.0555(2).
3.2. Magnetic Properties
3.3. Activation Energy from UV-VIS
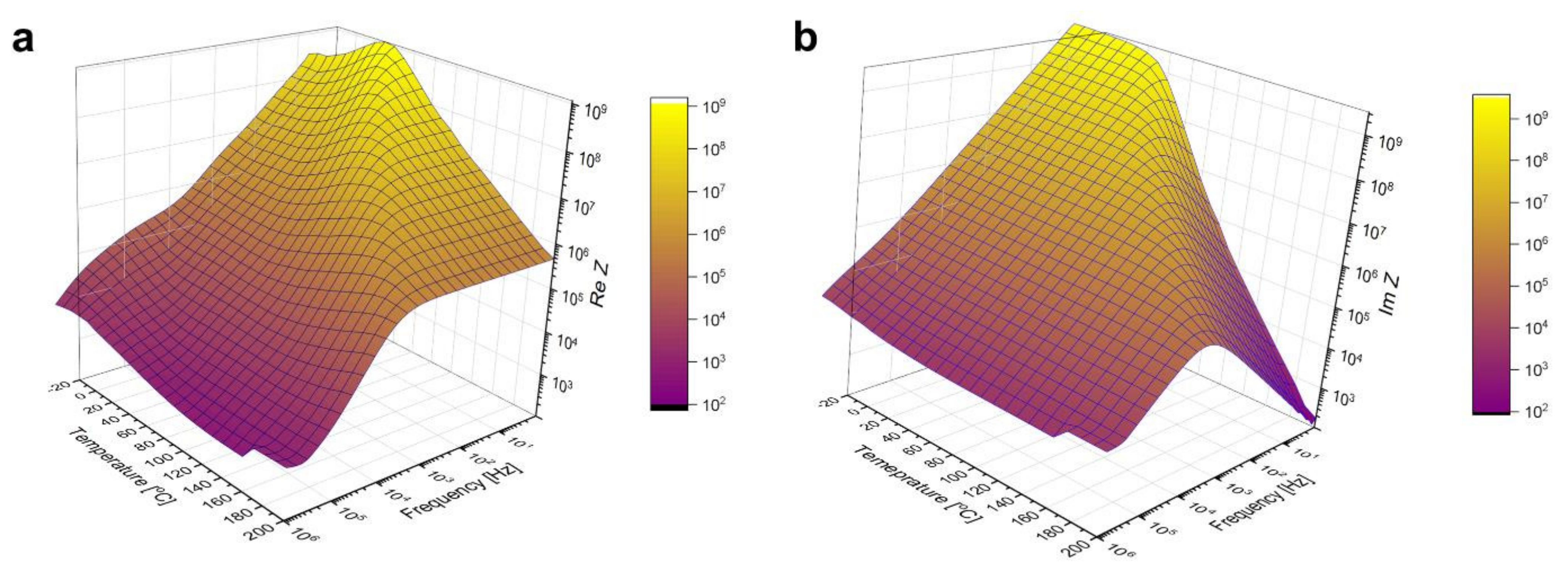
3.4. Activation Energy from Dielectric Spectroscopy Measurements
4. Conclusions
Author Contributions
Funding
Institutional Review Board Statement
Informed Consent Statement
Data Availability Statement
Conflicts of Interest
References
- Zhu, T.; Wang, W.; Lahoubi, M.; Boutaba, A. Effects of a high DC magnetic field on spin reorientation in dysprosium-yttrium iron garnets at low temperatures. AIP Adv. 2019, 9, 035326. [Google Scholar] [CrossRef] [Green Version]
- Dhilip, M.; Kumar, K.S.; Kumar, R.R.; Anbarasu, V. Intrinsic magnetic and ferroelectric behaviour of non-magnetic Al3+ ion substituted dysprosium iron garnet compounds. J. Electron. Mater. 2019, 48, 8243–8253. [Google Scholar] [CrossRef]
- Chu., P.-H.; Kim, Y.J.; Newman, S.; Savukov, I.; Long, J.C. Experimental search for an exotic spin-spin-velocity-dependent interaction using an optically polarized vapor and a rare-earth iron garnet. arXiv 2020, arXiv:2009.12292. [Google Scholar]
- Popov, A.; Gareeva, Z.; Mazhitova, F.; Doroshenko, R. Magnetoelectric properties of epitaxial ferrite garnet films. J. Magn. Magn. Mater. 2018, 461, 128–131. [Google Scholar] [CrossRef]
- Boutaba, A.; Lahoubi, M.; Varazashvili, V.; Pu, S. Experimental Investigation on the Low-Temperature Anomalies in Dysprosium Iron Garnet (DyIG). J. Supercond. Nov. Magn. 2019, 32, 3087–3091. [Google Scholar] [CrossRef]
- Muniraju, N.K.C.; Baral, R.; Tian, Y.; Li, R.; Poudel, N.; Gofryk, K.; Barišić, N.; Kiefer, B.; Ross, J.J.H.; Nair, H.S. Magnetocaloric effect in a frustrated Gd-garnet with no long-range magnetic order. Inorg. Chem. 2020, 59, 15144–15153. [Google Scholar] [CrossRef]
- Lezova, I.E.; Charnaya, E.V.; Shevchenko, E.V.; Khazanov, E.N.; Taranov, A.V. Calorimetry of DyxY3−xAl5O12 garnet solid solutions in magnetic field. J. Appl. Phys. 2020, 128, 225101. [Google Scholar] [CrossRef]
- Li, C.; Barasa, G.O.; Qiu, Y.; Yuan, S. Magnetocaloric effect and sign reversal of magnetic entropy change across the spin reorientation temperature in R3Fe5O12 (R = Gd, Dy). J. Alloys Compd. 2020, 820, 153138. [Google Scholar] [CrossRef]
- Imai, M.; Chudo, H.; Ono, M.; Harii, K.; Matsuo, M.; Ohnuma, Y.; Maekawa, S.; Saitoh, E. Angular momentum compensation manipulation to room temperature of the ferrimagnet Ho3−xDyxFe5O12 detected by the Barnett effect. Appl. Phys. Lett. 2019, 114, 162402. [Google Scholar] [CrossRef] [Green Version]
- Geprägs, S.; Kehlberger, A.; Coletta, F.D.; Qiu, Z.; Guo, E.J.; Schulz, T.; Mix, C.; Meyer, S.; Kamra, A.; Althammer, M. Origin of the spin Seebeck effect in compensated ferrimagnets. Nat. Commun. 2006, 7, 10452. [Google Scholar] [CrossRef] [Green Version]
- Ortiz, V.H.; Gomez, M.J.; Liu, Y.; Aldosary, M.; Shi, J.; Wilson, R.B. Ultrafast measurements of the interfacial spin Seebeck effect in Au and rare-earth iron-garnet bilayers. Phys. Rev. Mater. 2021, 5, 074401. [Google Scholar] [CrossRef]
- Bauer, J.J.; Rosenberg, E.R.; Kundu, S.; Mkhoyan, K.A.; Quarterman, P.; Grutter, A.; Kirby, B.; Borchers, J.A.; Ross, C.A. Dysprosium iron garnet thin films with perpendicular magnetic anisotropy on silicon. Adv. Electron. Mater. 2020, 6. [Google Scholar] [CrossRef]
- Zanjani, S.M.; Onbasli, M.C. Thin film rare earth iron garnets with perpendicular magnetic anisotropy for spintronic applications. AIP Adv. 2019, 9, 035024. [Google Scholar] [CrossRef]
- Zhang, Y.; Du, Q.; Wang, C.; Yan, W.; Deng, L.; Hu, J.; Ross, C.A.; Bi, L. Dysprosium substituted Ce:YIG thin films with perpendicular magnetic anisotropy for silicon integrated optical isolator applications. APL Mater. 2019, 7, 081119. [Google Scholar] [CrossRef] [Green Version]
- Sheng, L.; Chen, J.; Wang, H.; Yu, H. Magnonics based on thin-film iron garnets. J. Phys. Soc. Jpn. 2021, 90, 081005. [Google Scholar] [CrossRef]
- Zhao, Y.; Li, Y.; Zhu, S.; Chen, C.; Yao, M.; Zhao, Y.; Hu, Z.; Peng, B.; Liu, M.; Zhou, Z. Voltage tunable low damping YIG/PMN-PT multiferroic heterostructure for low-power RF/microwave devices. J. Phys. D Appl. Phys. 2021, 54, 245002. [Google Scholar] [CrossRef]
- Sibi, N.; Ganesanpotti, S. Magnetodielectric response of composites based on a natural garnet and spinel ferrites for sub-GHz wireless applications. Ceram. Int. 2021, 47, 21404–21413. [Google Scholar] [CrossRef]
- Li, C.; Qiu, Y.; Barasa, G.O.; Yuan, S. Spin reorientation, normal and inverse magnetocaloric effects in heavy rare-earth iron garnets. Ceram. Int. 2020, 46, 18758–18762. [Google Scholar] [CrossRef]
- Ivantsov, R.; Evsevskaya, N.; Saikova, S.; Linok, E.; Yurkin, G.; Edelman, I. Synthesis and characterization of Dy3 Fe5O12 nanoparticles fabricated with the anion resin exchange precipitation method. Mater. Sci. Eng. B 2017, 226, 171–176. [Google Scholar] [CrossRef] [Green Version]
- Salehabadi, A.; Salavati-Niasari, M.; Gholami, T.; Khoobi, A. Dy3Fe5O12 and DyFeO3 nanostructures: Green and facial auto-combustion synthesis, characterization and comparative study on electrochemical hydrogen storage. Int. J. Hydrog. Energy 2018, 43, 9713–9721. [Google Scholar] [CrossRef]
- Ramesh, T.; Shinde, R.; Murthy, S. Nanocrystalline gadolinium iron garnet for circulator applications. J. Magn. Magn. Mater. 2012, 324, 3668–3673. [Google Scholar] [CrossRef]
- Akhtar, M.N.; Saleem, M.; Khan, M.A. Al doped spinel and garnet nanostructured ferrites for microwave frequency C and X- band applications. J. Phys. Chem. Solids 2018, 123, 260–265. [Google Scholar] [CrossRef]
- Jafelicci, M.; Godoi, R. Preparation and characterization of spherical yttrium iron garnet via coprecipitation. J. Magn. Magn. Mater. 2001, 226–230, 1421–1423. [Google Scholar] [CrossRef]
- Ahn, Y.S.; Han, M.H.; Kim, C.O. Synthesis of yttrium iron garnet precursor particles by homogeneous precipitation. J. Mater. Sci. 1996, 31, 4233–4240. [Google Scholar] [CrossRef]
- Duong, N.P.; Nguyet, D.T.T.; Loan, T.T.; Anh, L.N.; Soontaranon, S.; Klysubun, W.; Nga, T.T.V. Effects of Sn4+ doping and oxygen vacancy on magnetic and electrical properties of yttrium iron garnet prepared by sol-gel method. Ceram. Int. 2021, 47, 6442–6452. [Google Scholar] [CrossRef]
- Liu, W.; Cheng, B.; Ren, S.; Huang, W.; Xie, J.; Zhou, G.; Qin, H.; Hu, J. Thermally assisted magnetization control and switching of Dy3Fe5O12 and Tb3Fe5O12 ferrimagnetic garnet by low density current. J. Magn. Magn. Mater. 2020, 507, 166804. [Google Scholar] [CrossRef]
- Opuchovic, O.; Kareiva, A.; Mazeika, K.; Baltrunas, D. Magnetic nanosized rare earth iron garnets R3Fe5O12: Sol-gel fabrication, characterization and reinspection. J. Magn. Magn. Mater. 2017, 422, 425–433. [Google Scholar] [CrossRef]
- Huang, H.; Gong, H.; Tang, D.; Tan, O. Synthesis and characterization of yttrium aluminum garnet by high-energy ball milling. Opt. Mater. 2009, 31, 716–719. [Google Scholar] [CrossRef]
- Mollaie, A.; Hasanpour, A.; Niyaifar, M.; Saadat, S. Effect of vanadium and tin additives on structural and magnetic properties of Bi-YIG nano-particles. J. Mater. Sci. Mater. Electron. 2021, 32, 17349–17358. [Google Scholar] [CrossRef]
- Tholkappiyan, R.; Vishista, K. Tuning the composition and magnetostructure of dysprosium iron garnets by Co-substitution: An XRD, FT-IR, XPS and VSM study. Appl. Surf. Sci. 2015, 351, 1016–1024. [Google Scholar] [CrossRef]
- Rivera, A.M.M.; López, J.E.R.; Munevar, J.; Saitovitch, E.B.; Aldana, L.C.M.; Vargas, C.A.P. Synthesis and characterization of the structural and magnetic properties of the Sm3-xGdxFe5O12(x = 0.0–1.0) garnets using solid-state reaction and citrate methods. J. Alloys Compd. 2021, 859, 157883. [Google Scholar] [CrossRef]
- Xu, J.; Song, Q.; Liu, J.; Zhou, S.; Pan, Y.; Li, D.; Liu, P.; Xu, X.; Ding, Y.; Xu, J.; et al. Spectroscopic characteristics of Dy3+-doped Y3Al5O12 (YAG) and Y3ScAl4O12 (YSAG) garnet single crystals grown by the micro-pulling-down method. J. Lumin. 2019, 215, 116675. [Google Scholar] [CrossRef]
- Sattar, A.; Elsayed, H.; Faramawy, A. Comparative study of structure and magnetic properties of micro- and nano-sized Gd Y3−Fe5O12 garnet. J. Magn. Magn. Mater. 2016, 412, 172–180. [Google Scholar] [CrossRef]
- Stan, M.; Lach, R.; Łańcucki, Ł.; Rutkowski, B.; Bućko, M.M. Reaction sintering of dense gadolinium-iron garnet (GdIG) material. J. Eur. Ceram. Soc. 2021, 41, 5264–5268. [Google Scholar] [CrossRef]
- Lach, R.; Stan, M.; Łańcucki, Ł.; Gajewska, M. Impact of precursor preparation on density of gadolinium iron garnets synthesized via reactive sintering. Ceram. Int. 2021, 47, 24313–24319. [Google Scholar] [CrossRef]
- Rodríguez-Carvajal, J. Recent advances in magnetic structure determination by neutron powder diffraction. Phys. B Condens. Matter 1993, 192, 55–69. [Google Scholar] [CrossRef]
- Mendelson, M.I. Average grain size in polycrystalline ceramics. J. Am. Ceram. Soc. 1969, 52, 443–446. [Google Scholar] [CrossRef]
- Espinosa, G.P. Crystal chemical study of the rare-earth iron garnets. J. Chem. Phys. 1962, 37, 2344–2347. [Google Scholar] [CrossRef]
- Musa, M.A.; Azis, R.S.; Osman, N.H.; Hassan, J.; Zangina, T. Structural and magnetic properties of yttrium iron garnet (YIG) and yttrium aluminum iron garnet (YAlG) nanoferrite via sol-gel synthesis. Results Phys. 2017, 7, 1135–1142. [Google Scholar] [CrossRef]
- Nguyet, D.T.T.; Duong, N.P.; Satoh, T.; Anh, L.N.; Loan, T.T.; Hien, T.D. Crystallization and magnetic characterizations of DyIG and HoIG nanopowders fabricated using citrate sol-gel. J. Sci. Adv. Mater. Devices 2016, 1, 193–199. [Google Scholar] [CrossRef] [Green Version]
- Von Ranke, P.J.; Alho, B.P.; Plaza, E.J.R.; Carvalho, A.M.G.; De Sousa, V.S.R.; De Oliveira, N.A. Theoretical investigation on the magnetocaloric effect in garnets R3Fe5O12 where (R=Y and Dy). J. Appl. Phys. 2009, 106, 53914. [Google Scholar] [CrossRef]
- Boutaba, A.; Lahoubi, M.; Varazashvili, V.; Pu, S. Magnetic, magneto-optical and specific heat studies of the low temperature anomalies in the magnetodielectric DyIG ferrite garnet. J. Magn. Magn. Mater. 2019, 476, 551–558. [Google Scholar] [CrossRef]
- Kang, T.D.; Standard, E.C.; Rogers, P.D.; Ahn, K.H.; Sirenko, A.A.; Dubroka, A.; Bernhard, C.; Park, S.; Choi, Y.J.; Cheong, S.-W. Far-infrared spectra of the magnetic exchange resonances and optical phonons and their connection to magnetic and dielectric properties of Dy3Fe5O12garnet. Phys. Rev. B 2012, 86, 144112. [Google Scholar] [CrossRef] [Green Version]
- Wood, D.L.; Remeika, J.P. Effect of impurities on the optical properties of yttrium iron garnet. J. Appl. Phys. 1967, 38, 1038–1045. [Google Scholar] [CrossRef]
- Macdonald, J.R.; Johnson, W.B. Fundamentals of impedance spectroscopy. In Impedance Spectroscopy; Wiley and Sons: Hoboken, NJ, USA, 2018; pp. 1–20. [Google Scholar]
- Chełkowski, A. Dielectric Physics; PWN-Elsevier: Amsterdam, The Netherlands, 1980. [Google Scholar]








| Materials | Sw [m2/g] | DBET [nm] |
|---|---|---|
| Fe2O3 | 86.62 | 13.7 |
| DyIP (DyFeO3) | 10.27 | 76.9 |
| Temperature [°C] | Relative Density [%] |
|---|---|
| 1200 | 85.22 ± 0.02 |
| 1300 | 93.79 ± 0.05 |
| 1400 | 96.92 ± 0.02 |
| Process | Tcomp (K) | TO (K) | TC (K) |
|---|---|---|---|
| Heating | 225 | 409 | 550 |
| Cooling | 220 | 396 | 531 |
Publisher’s Note: MDPI stays neutral with regard to jurisdictional claims in published maps and institutional affiliations. |
© 2022 by the authors. Licensee MDPI, Basel, Switzerland. This article is an open access article distributed under the terms and conditions of the Creative Commons Attribution (CC BY) license (https://creativecommons.org/licenses/by/4.0/).
Share and Cite
Stan, M.; Lach, R.; Krawczyk, P.A.; Salamon, W.; Haberko, J.; Nizioł, J.; Trenczek-Zając, A.; Gondek, Ł.; Kowalski, B.; Żywczak, A. Reactive Sintering of Dysprosium-Iron Garnet via a Perovskite-Hematite Solid State Reaction and Physical Properties of the Material. Materials 2022, 15, 2356. https://doi.org/10.3390/ma15072356
Stan M, Lach R, Krawczyk PA, Salamon W, Haberko J, Nizioł J, Trenczek-Zając A, Gondek Ł, Kowalski B, Żywczak A. Reactive Sintering of Dysprosium-Iron Garnet via a Perovskite-Hematite Solid State Reaction and Physical Properties of the Material. Materials. 2022; 15(7):2356. https://doi.org/10.3390/ma15072356
Chicago/Turabian StyleStan, Magdalena, Radosław Lach, Paweł A. Krawczyk, Wojciech Salamon, Jakub Haberko, Jacek Nizioł, Anita Trenczek-Zając, Łukasz Gondek, Błażej Kowalski, and Antoni Żywczak. 2022. "Reactive Sintering of Dysprosium-Iron Garnet via a Perovskite-Hematite Solid State Reaction and Physical Properties of the Material" Materials 15, no. 7: 2356. https://doi.org/10.3390/ma15072356
APA StyleStan, M., Lach, R., Krawczyk, P. A., Salamon, W., Haberko, J., Nizioł, J., Trenczek-Zając, A., Gondek, Ł., Kowalski, B., & Żywczak, A. (2022). Reactive Sintering of Dysprosium-Iron Garnet via a Perovskite-Hematite Solid State Reaction and Physical Properties of the Material. Materials, 15(7), 2356. https://doi.org/10.3390/ma15072356

