Microstructure and Corrosive Wear Properties of CoCrFeNiMn High-Entropy Alloy Coatings
Abstract
1. Introduction
2. Experimental Section
3. Results and Discussion
3.1. Phase Structure and Morphology of CoCrFeNiMn High-Entropy Alloy Coatings
3.2. Friction and Wear Properties of CoCrFeNiMn High-Entropy Alloy Coating at Different Temperatures
4. Conclusions
- (1)
- CoCrFeNiMn high-entropy alloy powders prepared by gas atomization for CS and HVOF have good spherical shape, smooth surface and dendritic structure. The CoCrFeNiMn high-entropy alloy coatings prepared by CS and HVOF have dense structures and bond well with the substrate. They are all single-FCC solid solution structures, and the porosity is less than 1.5%. Compared with the CS coating, the HVOF coating has higher porosity.
- (2)
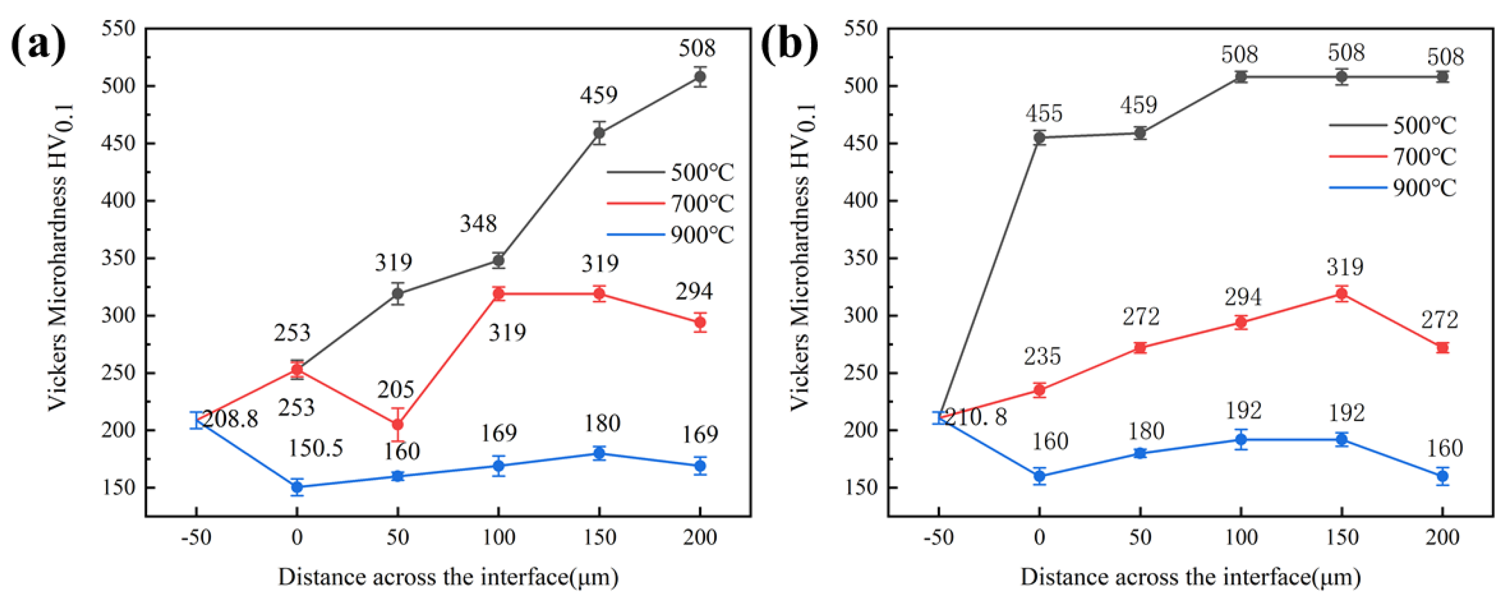
- After heat treatment, the main peaks of all oriented FCC phases are broadened and the strength is obviously enhanced. Both coatings reach the maximum hardness after vacuum heat treatment at 500 °C, and the Vickers microhardness of CS-500 °C and HVOF-500 °C are 487.6 and 352.4 HV0.1, respectively.
- (3)
- The wear rates of the two coatings at room temperature are very close. The wear rate for the CS and HVOF coatings reaches its the lowest point after vacuum heat treatment at 500 °C. The wear rate of the CS-500 °C coating is 0.2152 mm3 m−1 N−1, which is about 4/5 (0.2651 mm3 m−1 N−1) of that of the HVOF-500 °C coating. The CS coating with 500 °C vacuum heat treatment has the best wear resistance due to having the highest microhardness. The wear rates and wear amounts of the two coatings heat-treated at 700 °C and 900 °C decreases due to the decrease in microhardness. The wear mechanisms of the CS and HVOF coatings before and after vacuum heat treatment are adhesive wear, abrasive wear, fatigue wear and oxidation wear.
Author Contributions
Funding
Conflicts of Interest
References
- Yeh, J.-W.; Chen, S.K.; Lin, S.-J.; Gan, J.-Y.; Chin, T.-S.; Shun, T.-T.; Tsau, C.-H.; Chang, S.-Y. Nanostructured high-entropy alloys with multiple principal elements: Noval alloy design concepts and outcomes. Adv. Eng. Mater. 2004, 6, 299–303. [Google Scholar] [CrossRef]
- Cantor, B.; Chang, I.T.H.; Knight, P.; Vincent, A.J.B. Microstructural development in equiatomic multicomponent alloys. Mater. Sci. Eng. A 2004, 257, 375–377. [Google Scholar] [CrossRef]
- Zhou, Y.J.; Zhang, Y.; Wang, Y.L.; Chen, G.L. Solid solution alloys of AlCoCrFeNiTix with excellent room-temperature mechanical properties. Appl. Phys. Lett. 2007, 90, 181904. [Google Scholar] [CrossRef]
- Zhang, Y.; Zhou, Y.J.; Lin, J.P.; Chen, G.L.; Liaw, P.K. Solid-solution phase formation rules for multi-component alloys. Adv. Eng. Mater. 2008, 10, 534–538. [Google Scholar] [CrossRef]
- Luo, H.; Li, Z.; Mingers, A.M.; Raabe, D. Corrosion behavior of an equiatomic CoCrFeMnNi high-entropy alloy compared with 304 stainless steel in sulfuric acid solution. Corros. Sci. 2018, 134, 131–139. [Google Scholar] [CrossRef]
- He, F.; Wang, Z.; Wu, Q.; Li, J.J.; Wang, J.C.; Liu, C.T. Phase separation of metastable CoCrFeNi high entropy alloy at intermediate temperatures. Scr. Mater. 2017, 126, 15–19. [Google Scholar] [CrossRef]
- Praveen, S.; Basu, J.; Kashyap, S.; Kottada, R.S. Exceptional resistance to grain growth in nanocrystalline CoCrFeNi high entropy alloy at high homologous temperatures. J. Alloy. Compd. 2016, 662, 361–367. [Google Scholar] [CrossRef]
- Munitz, A.; Meshi, L.; Kaufman, M.J. Heat treatments’ effects on the microstructure and mechanical properties of an equiatomic Al-Cr-Fe-Mn-Ni high entropy alloy. Mater. Sci. Eng. A 2017, 689, 384–394. [Google Scholar] [CrossRef]
- Tsao, L.C.; Chen, C.S.; Chu, C.P. Age hardening reaction of the Al0.3CrFe1.5MnNi0.5 high entropy alloy. Mater. Des. 2012, 36, 854–858. [Google Scholar] [CrossRef]
- Stepanov, N.D.; Yurchenko, N.Y.; Zherebtsov, S.V.; Tikhonovsky, M.A.; Salishchev, G.A. Aging behavior of the HfNbTaTiZr high entropy alloy. Mater. Lett. 2018, 211, 87–90. [Google Scholar] [CrossRef]
- Stepanov, N.D.; Shaysultanov, D.G.; Ozerov, M.S.; Zherebtsov, S.V.; Salishchev, G.A. Second phase formation in the CoCrFeNiMn high entropy alloy after recrystallization annealing. Mater. Lett. 2016, 185, 1–4. [Google Scholar] [CrossRef]
- Liu, B.; Xu, L.Y.; Liu, Y.; Wang, J.S.; Wang, J.W.; Fang, Q.H. Effect of cold working and annealing on microstructure and properties of powder metallurgy high entropy alloy. Sci. China Technol. Sci. 2018, 61, 197–203. [Google Scholar] [CrossRef]
- Malatji, N.; Lengopeng, T.; Pityana, S.; Popoola, A.P.I. Effect of heat treatment on the microstructure, microhardness, and wear characteristics of AlCrFeCuNi high-entropy alloy. Int. J. Adv. Des. Manuf. Technol. 2020, 111, 2021–2029. [Google Scholar] [CrossRef]
- Kong, D.; Guo, J.; Liu, R.W.; Zhang, X.H.; Song, Y.P.; Li, Z.X.; Guo, F.J.; Xing, X.F.; Xu, Y.; Wang, W. Effect of remelting and annealing on the wear resistance of AlCoCrFeNiTi0.5 high entropy alloys. Intermetallics 2019, 114, 106–560. [Google Scholar] [CrossRef]
- Kong, D.; Wang, W.; Zhang, T.R.; Guo, J. Effect of superheating on microstructure and wear resistance of Al1.8CrCuFeNi2 high-entropy alloy. Mater. Lett. 2022, 311, 131613. [Google Scholar] [CrossRef]
- Cui, Y.; Shen, J.Q.; Manladan, S.M.; Geng, K.P.; Hu, S.S. Effect of heat treatment on the FeCoCrNiMnAl high-entropy alloy cladding layer. Surf. Eng. 2021, 37, 1532–1540. [Google Scholar] [CrossRef]
- Luo, X.S.; Li, J.; Jin, Y.L.; Hu, C.P.; Jia, D.; Zhan, S.P.; Yu, Y.; Hua, M.; Duan, H.T. Heat treatment influence on tribological properties of AlCoCrCuFeNi high-entropy alloy in hydrogen peroxide-solution. Met. Mater. Int. 2020, 26, 1286–1294. [Google Scholar] [CrossRef]
- Guo, W.; Li, J.; Qi, M.; Xu, Y.; Ezatpour, H.R. Effects of heat treatment on the microstructure, wear behavior and corrosion resistance of AlCoCrFeNiSi high-entropy alloy. Intermetallics 2021, 138, 107324. [Google Scholar] [CrossRef]
- Yu, Y.; Wang, J.; Li, J.S.; Yang, J.; Kou, H.C.; Liu, W.M. Tribological behavior of AlCoCrFeNi(Ti0.5) high entropy alloys under Oil and MACs lubrication. J. Mater. Sci. Technol. 2016, 32, 470–476. [Google Scholar] [CrossRef]
- Farahpour, P.; Edris, H.; Kheirikhah, A.M. Influence of high velocity oxy-fuel parameters on the corrosion resistance of NiCr coatings. Proc. Inst. Mech. Eng. Part L J. Mater. Des. Appl. 2013, 227, 318–335. [Google Scholar] [CrossRef]
- Ghadami, F.; Aghdam, A.S.R. Improvement of high velocity oxy-fuel spray coatings by thermal post-treatments: A critical review. Thin Solid Film. 2019, 678, 42–52. [Google Scholar] [CrossRef]
- Viscusi, A.; Astarita, A.; Gatta, R.D.; Rubino, F. A perspective review on the bonding mechanisms in cold gas dynamic spray. Surf. Eng. 2018, 35, 743–771. [Google Scholar] [CrossRef]
- Grujicic, M.; Zhao, C.L.; Derosset, W.S.; Helfritch, D. Adiabatic shear instability based mechanism for particles/substrate bonding in the cold-gas dynamic-spray process. Mater. Des. 2004, 25, 681–688. [Google Scholar] [CrossRef]
- Nikbakht, R.; Saadati, M.; Kim, T.S.; Jahazi, M.; Kim, H.S.; Jodoin, B. Cold spray deposition characteristic and bonding of CrMnCoFeNi high entropy alloy. Surf. Coat. Technol. 2021, 425, 127748. [Google Scholar] [CrossRef]
- Ahn, J.E.; Kim, Y.K.; Yoon, S.H.; Lee, K.A. Tuning the microstructure and mechanical properties of cold sprayed equiatomic cocrfemnni high-entropy alloy coating layer. Met. Mater. Int. 2020, 27, 2406–2415. [Google Scholar] [CrossRef]
- Silvello, A.; Cavaliere, P.; Yin, S.; Lupoi, R.; Cano, I.G.; Dosta, S. Microstructural, mechanical and wear behavior of HVOF and Cold-sprayed high-entropy alloys (HEAs) coatings. J. Therm. Spray Technol. 2022, 31, 1184–1206. [Google Scholar] [CrossRef]
- Lobel, M.; Lindner, T.; Mehner, T.; Lampke, T. Microstructure and wear resistance of AlCoCrFeNiTi high-entropy alloy coatings produced by HVOF. Coatings 2017, 7, 144. [Google Scholar] [CrossRef]
- Jin, X.; Gu, X.; Quan, F.; Ran, X.; Zhang, K.; Mao, A. CoCrFeMnNi high-entropy alloy powder with excellent corrosion resistance and soft magnetic property prepared by gas atomization method. Mater. Werkst. 2019, 50, 837–843. [Google Scholar] [CrossRef]
- Zhang, K.B.; Fu, Z.Y.; Zhang, J.Y.; Wang, W.M.; Lee, S.W.; Niihara, K. Characterization of nanocrystalline CoCrFeNiTiAl high-entropy solid solution processed by mechanical alloying. J. Alloy. Compd. 2010, 495, 33–38. [Google Scholar] [CrossRef]
- Kumar, P.; Avasthi, S. Diffusion barrier with 30-fold improved performance using AlCrTaTiZrN high-entropy alloy. J. Alloys Compd. 2020, 814, 151755. [Google Scholar] [CrossRef]
- Hou, J.L.; Li, Q.; Wu, C.B.; Zheng, L.M. Atomic simulations of grain structures and deformation behaviors in nanocrystalline cocrfenimn high-entropy alloy. Materials 2019, 12, 1010. [Google Scholar] [CrossRef] [PubMed]
- Stepanov, N.D.; Shaysultanov, D.G.; Yurchenko, N.Y.; Zherebtsov, S.V.; Ladygin, A.N.; Salishchev, G.A.; Tikhonovsky, M.A. High temperature deformation behavior and dynamic recrystallization in CoCrFeNiMn high entropy alloy. Mater. Sci. Eng. A 2015, 636, 188–195. [Google Scholar] [CrossRef]
- Rokni, M.R.; Nutt, S.R.; Widener, C.A.; Champagne, V.K.; Hrabe, R.H. Review of relationship between particle deformation, coating microstructure, and properties in high-pressure cold spray. J. Therm. Spray Technol. 2017, 26, 1308–1355. [Google Scholar] [CrossRef]
- Gu, J.; Ni, S.; Liu, Y.; Song, M. Regulating the strength and ductility of a cold rolled FeCrCoMnNi high-entropy alloy via annealing treatment. Mater. Sci. Eng. A 2019, 755, 289–294. [Google Scholar] [CrossRef]
- Manzoni, A.; Daoud, H.; Voelkl, R.; Glatzel, U.; Wanderka, N. Phase separation in equiatomic AlCoCrFeNi high-entropy alloy. Ultramicroscopy 2013, 132, 212–215. [Google Scholar] [CrossRef]
- Munitz, A.; Salhov, S.; Hayun, S.; Frage, N. Heat treatment impacts the micro-structure and mechanical properties of AlCoCrFeNi high entropy alloy. J. Alloy. Compd. 2016, 683, 221–230. [Google Scholar] [CrossRef]
- Akisin, C.J.; Bennett, C.J.; Venturi, F.; Assadi, H.; Hussain, T. Numerical and experimental analysis of the deformation behavior of CoCrFeNiMn high entropy alloy particles onto various substrates during cold spraying. J. Therm. Spray Technol. 2022, 31, 1085–1111. [Google Scholar] [CrossRef]
- Feng, S.; Guan, S.; Story, W.A.; Ren, J.; Zhang, S.B. Cold spray additive manufacturing of CoCrFeNiMn high-entropy alloy: Process development, microstructure, and mechanical properties. J. Therm. Spray Technol. 2022, 31, 1222–1231. [Google Scholar] [CrossRef]
- Xu, Y.X.; Li, W.Y.; Qu, L.Z.; Yang, X.W.; Song, B.; Lupoi, R.; Yin, S. Solid-state cold spraying of CoCrFeNiMn high-entropy alloy: An insight into microstructure evolution and oxidation behavior at 700–900 degrees C. J. Mater. Sci. Technol. 2021, 68, 172–183. [Google Scholar] [CrossRef]
- Nair, R.B.; Arora, H.S.; Mukherjee, S.; Singh, S.; Singh, H.; Grewal, H.S. Exceptionally high cavitation erosion and corrosion resistance of a high entropy alloy. Ultrason. Sonochem. 2018, 41, 252–260. [Google Scholar] [CrossRef]
















| Fe | Co | Ni | Cr | Mn |
|---|---|---|---|---|
| 20.09 | 20.96 | 21.01 | 18.86 | Bal. |
| CS Process | HVOF Process | ||
|---|---|---|---|
| Gas | N2 | H2 Flow rate | 10.6 L/s |
| Pressure | 7 MPa | O2 Flow rate | 3.6 L/s |
| Temperature | 1100 °C | Air Flow rate | 5.7 L/s |
| Standoff distance | 15 mm | Standoff distance | 250 mm |
| Robot speed | 500 mm/s | Robot speed | 500 mm/s |
| Powder feed | 2 rpm | Powder feed | 0.5 g/s |
| Step | 1 mm | Step | 5 mm |
| Layers | 2 | layers | 10 |
Disclaimer/Publisher’s Note: The statements, opinions and data contained in all publications are solely those of the individual author(s) and contributor(s) and not of MDPI and/or the editor(s). MDPI and/or the editor(s) disclaim responsibility for any injury to people or property resulting from any ideas, methods, instructions or products referred to in the content. |
© 2022 by the authors. Licensee MDPI, Basel, Switzerland. This article is an open access article distributed under the terms and conditions of the Creative Commons Attribution (CC BY) license (https://creativecommons.org/licenses/by/4.0/).
Share and Cite
Wang, H.; Kang, J.; Yue, W.; Jin, G.; Li, R.; Zhou, Y.; Liang, J.; Yang, Y. Microstructure and Corrosive Wear Properties of CoCrFeNiMn High-Entropy Alloy Coatings. Materials 2023, 16, 55. https://doi.org/10.3390/ma16010055
Wang H, Kang J, Yue W, Jin G, Li R, Zhou Y, Liang J, Yang Y. Microstructure and Corrosive Wear Properties of CoCrFeNiMn High-Entropy Alloy Coatings. Materials. 2023; 16(1):55. https://doi.org/10.3390/ma16010055
Chicago/Turabian StyleWang, Haodong, Jiajie Kang, Wen Yue, Guo Jin, Runjie Li, Yongkuan Zhou, Jian Liang, and Yuyun Yang. 2023. "Microstructure and Corrosive Wear Properties of CoCrFeNiMn High-Entropy Alloy Coatings" Materials 16, no. 1: 55. https://doi.org/10.3390/ma16010055
APA StyleWang, H., Kang, J., Yue, W., Jin, G., Li, R., Zhou, Y., Liang, J., & Yang, Y. (2023). Microstructure and Corrosive Wear Properties of CoCrFeNiMn High-Entropy Alloy Coatings. Materials, 16(1), 55. https://doi.org/10.3390/ma16010055

