Experimental Study of the Factors Influencing the Regeneration Performance of Reduced Graphite Oxide Filter Materials under Water Cleaning
Abstract
1. Introduction
2. Methods
2.1. Performance Parameters
2.2. Experimental Systems
3. Results and Discussion
3.1. Determination of Water Cleaning Parameters
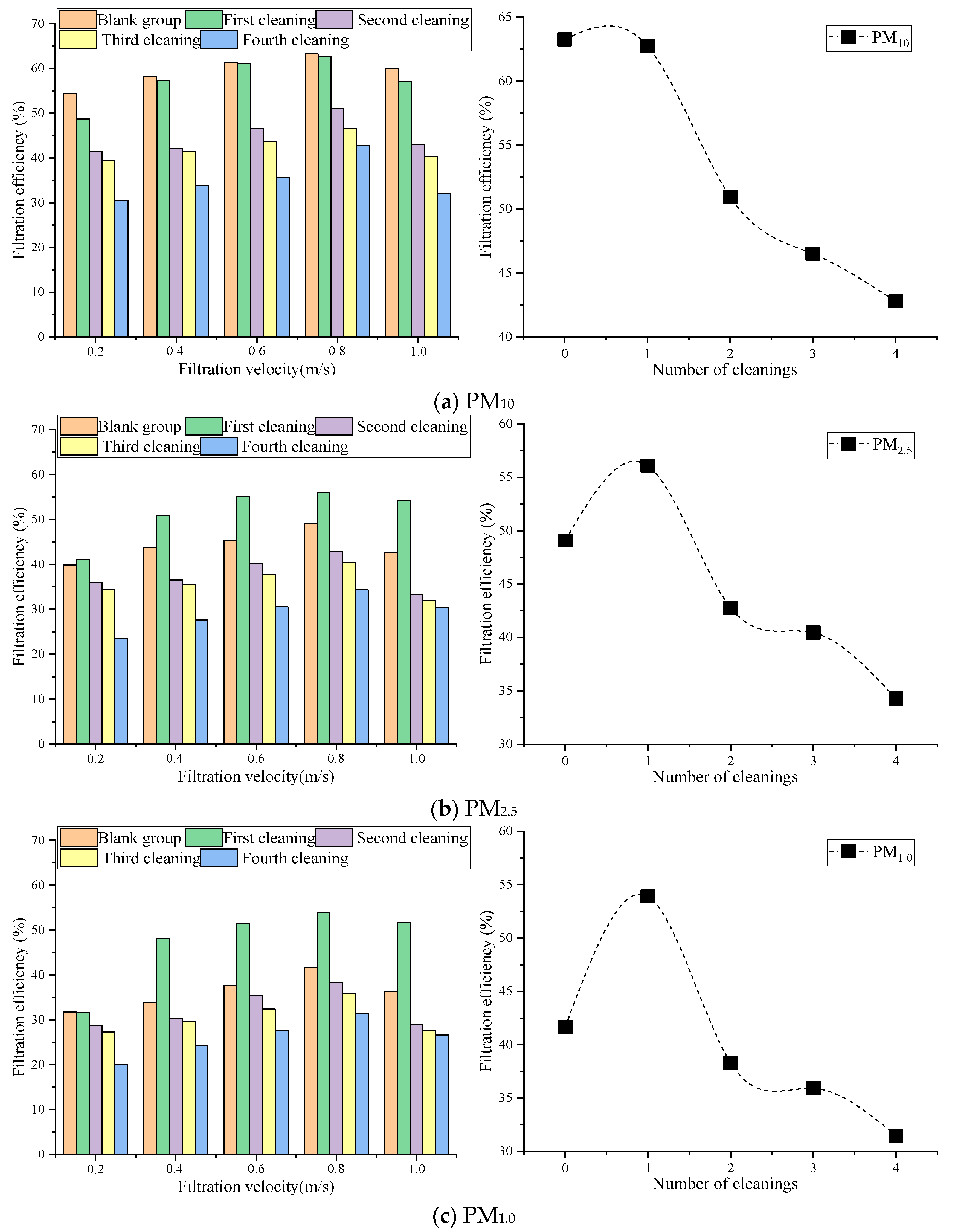
3.2. The Change in Filtration Efficiency with Filtration Velocity and Cleaning Times
3.3. The Change in Counting Filtration Efficiency with Filtration Velocity and Number of Cleanings
3.4. The Change in Filtration Resistance with Filtration Velocity and Number of Cleanings
3.5. Microstructure of Reduced Graphite Oxide Air Filter Material
4. Conclusions
- The water cleaning effect was optimal when using a 20 L/(s·m2) water flow velocity and a 17 s cleaning time to achieve cleanliness equal to 90% of the original filter material’s cleanliness.
- The filter’s PM10 filtration efficiency gradually decreased with the number of cleanings, whereas its PM2.5 and PM1.0 filtration efficiencies first increased and then decreased as the number of cleanings increased. The reduced graphite oxide completely wrapped the fibers, which held the dust on the fibers’ surfaces to achieve the surface filtration of small particles.
- The counting filtration efficiency first increased and then decreased with the change in the filtration velocity. As the number of cleanings increased, the small particles’ counting filtration efficiency showed a downward trend. Water cleaning mainly affected the filtration efficiency of 0.3–2.5 μm-sized particulates.
- The reduced graphite oxide air filter materials could be cleaned twice by water washing under the condition that the cleanliness reached 90% of the original filter material’s cleanliness. It could not reach the standard value of 85% before cleaning after more than two cleanings. These data are useful reference values for the evaluation of the filter materials’ regeneration performance.
Author Contributions
Funding
Institutional Review Board Statement
Informed Consent Statement
Data Availability Statement
Conflicts of Interest
References
- Zhang, X.; Sun, H.; Li, K.P.; Nie, X.X.; Fan, Y.S.; Wang, H.; Ma, J.Y. Comparison of the Application of Three Methods for the Determination of Outdoor PM2.5 Design Concentrations for Fresh Air Filtration Systems in China. Int. J. Environ. Res. Public Health 2022, 19, 16537. [Google Scholar] [CrossRef]
- Yang, M.; Zhao, A.; Ke, H.; Chen, H. Geo-Environmental Factors’Influence on the Prevalence and Distribution of Dental Fluorosis: Evidence from Dali County, Northwest China. Sustainability 2023, 15, 1871. [Google Scholar] [CrossRef]
- Song, H.; Dong, Y.H.; Yang, J.Y.; Zhang, X.; Nie, X.X.; Fan, Y.X. Concentration Characteristics and Correlations with Other Pollutants of Atmospheric Particulate Matter as Affected by Relevant Policies. Int. J. Environ. Res. Public Health 2023, 20, 1051. [Google Scholar] [CrossRef] [PubMed]
- Bu, S.B.; Wang, Y.L.; Wang, H.Y.; Wang, F.; Tan, Y.F. Predicting spatio-temporal distribution of indoor multi-phase phthalates under the influence of particulate matter. Build. Environ. 2022, 221, 109329. [Google Scholar] [CrossRef]
- Zhou, F.R.; Yang, J.R.; Wen, G.; Ma, Y.; Pan, H.; Geng, H.; Cao, J.; Zhao, M.; Xu, C. Estimating spatio-temporal variability of aerosol pollution in Yunnan Province, China. Atmos. Pollut. Res. 2022, 13, 101450. [Google Scholar] [CrossRef]
- Zhang, X.; Fan, Y.S.; Wei, S.X.; Wang, H.; Zhang, J.X. Spatiotemporal Distribution of PM2.5 and Its Correlation with Other Air Pollutants in Winter During 2016~2018 in Xi’an, China. Pol. J. Environ. Stud. 2021, 30, 1457–1464. [Google Scholar] [CrossRef]
- Zhang, X.; Fan, Y.S.; Zhang, J.X.; Wang, H.; Wei, S.X. Research on outdoor design PM2.5 concentration for fresh air filtration systems based on mathematical inductions. J. Build. Eng. 2021, 34, 101883. [Google Scholar] [CrossRef]
- Zhang, X.; Ma, J.Y.; Wang, J.H.; Shi, H.X.; Guo, J.P.; Fan, Y.S.; Nie, X.X.; Guo, T.; Luo, X.X. Modifying the Fiber Structure and Filtration Performance of Polyester Materials Based on Two Different Preparation Methods. Langmuir 2023, 39, 3502–3511. [Google Scholar] [CrossRef]
- Wang, M.L.; Yu, D.G.; Bligh, S.W.A. Progress in preparing electrospun Janus fibers and their applications. Appl. Mater. Today 2023, 31, 101766. [Google Scholar] [CrossRef]
- Kumar, P.; Singh, A.B.; Arora, T.; Singh, S.; Singh, R. Critical review on emerging health effects associated with the indoor air quality and its sustainable management. Sci. Total Environ. 2023, 872, 162163. [Google Scholar] [CrossRef]
- Cakmak, S.; Dales, R.; Kauri, L.M.; Mahmud, M.; Ryswyk, K.V.; Vanos, J.; Liu, L.; Kumarathasan, P.; Thomson, E.; Vincent, R.; et al. Metal composition of fine particulate air pollution and acute changes in cardiorespiratory physiology. Environ. Pollut. 2014, 189, 208–214. [Google Scholar] [CrossRef] [PubMed]
- Zacharias, N.; Haag, A.; Lamprecht, R.B.; Gebel, J.; Essert, S.M.; Kistemann, T.; Exner, M.; Mutters, N.T.; Engelhart, S. Air filtration as a tool for the reduction of viral aerosols. Sci. Total Environ. 2021, 772, 144956. [Google Scholar] [CrossRef] [PubMed]
- Wu, Z.T.; Chen, X.; Li, G.X.; Tian, L.; Wang, Z.; Xiong, X.Q.; Yang, C.; Zhou, Z.J.; Pan, X.C. Attributable risk and economic cost of hospital admissions for mental disorders due to PM2.5 in Beijing. Sci. Total Environ. 2020, 718, 137274. [Google Scholar] [CrossRef]
- Xia, T.L.; Chen, C. Toward understanding the evolution of incense particles on nanofiber filter media: Its influence on PM2.5 removal efficiency and pressure drop. Build. Environ. 2020, 172, 106725. [Google Scholar] [CrossRef]
- Liu, X.P.; Bian, S.S.; Chang, D.Q.; Mao, N.; Liu, J.X.; Sun, X. Effect of Water Cleaning on Performance of Air Filtration Medias. J. Filtr. Sep. 2012, 22, 6–10. (In Chinese) [Google Scholar] [CrossRef]
- Berry, G.; Beckman, I.; Cho, H. A comprehensive review of particle loading models of fibrous air filters. J. Aerosol Sci. 2023, 167, 106078. [Google Scholar] [CrossRef]
- Yeganeh, F.; Chiewchan, N.; Chonkaew, W. Cellulose nanofiber/polyimide composites for highly-efficient air filters. Cellulose 2023, 58, 4421–4436. [Google Scholar] [CrossRef]
- Bian, Y.; Niu, Z.L.; Wang, S.J.; Pan, Y.; Zhang, L.; Chen, C. Removal of Size-Dependent Submicron Particles Using Metal−Organic Framework-Based Nanofiber Air Filters. ACS Appl. Mater. Interfaces 2022, 14, 23570–23576. [Google Scholar] [CrossRef]
- Zhang, X.; Fan, Y.S.; Wang, H.; Zhang, J.X.; Wei, S.X.; Tian, G.J.; Xie, W. Experimental study on the structure and properties of modified nonwoven filter fibers by impregnation with carbon black. J. Eng. Fibers Fabr. 2020, 15, 1–7. [Google Scholar] [CrossRef]
- Tian, E.Z.; Xia, F.X.; Wu, J.D.; Zhang, Y.P.; Li, J.; Wang, H.; Mo, J.H. Electrostatic Air Filtration by Multifunctional Dielectric Heterocaking Filters with Ultralow Pressure Drop. ACS Appl. Mater. Inter. 2020, 12, 29383–29392. [Google Scholar] [CrossRef]
- Xiong, Z.J.; Lin, J.Y.; Li, X.H.; Bian, F.G.; Wang, J. Hierarchically Structured Nanocellulose-Implanted Air Filters for High-Efficiency Particulate Matter Removal. ACS Appl. Mater. Inter. 2021, 13, 12408–12416. [Google Scholar] [CrossRef]
- Cankaya, N.; Ozcan, M. Performance optimization and improvement of dust laden air by dynamic control method for jet pulsed filters. Adv. Powder Technol. 2019, 30, 1366–1377. [Google Scholar] [CrossRef]
- Shim, J.; Joe, Y.H.; Park, H.S. Influence of air injection nozzles on filter cleaning performance of pulse-jet bag filter. Powder Technol. 2017, 322, 250–257. [Google Scholar] [CrossRef]
- Wu, S.; Cai, R.; Zhang, L. Research progress on the cleaning and regeneration of PM2.5 filter media. Particuology 2021, 57, 28–44. [Google Scholar] [CrossRef]
- Yu, W.Q. The Experimental Study of Air Filter Re-Cleaning Based on Ultrasonic Method. Master’s Thesis, Xi’an University of Architecture and Technology, Xi’an, China, 2022. (In Chinese). [Google Scholar]
- Kang, J.; Ko, Y.; Kim, J.P.; Kim, J.Y.; Kim, J.; Kwon, O.; Kim, K.C.; Kim, D.W. Microwave-assisted design of nanoporous graphene membrane for ultrafast and switchable organic solvent nanofiltration. Nat. Commun. 2023, 14, 901. [Google Scholar] [CrossRef] [PubMed]
- Park, S.S.; Lee, Y.S.; Lee, S.W.; Repo, E.; Kim, T.H.; Park, Y.; Hwang, Y. Facile Surface Treatment of 3D-Printed PLA Filter for Enhanced Graphene Oxide Doping and Effective Removal of Cationic Dyes. Polymers 2023, 15, 269. [Google Scholar] [CrossRef]
- Luo, J.B.; Tie, Y.H.; Tang, L.F.; Li, Y.; Xu, H.X.; Liu, Z.H.; Li, M.S.; Zhang, H.G.; Zhang, Z.Q. Effect of regeneration method and ash deposition on diesel particulate filter performance: A review. Environ. Sci. Pollut. Res. 2023, 30, 45607–45642. [Google Scholar] [CrossRef]
- Yang, L.L.; Liu, Z.Y.; Liu, J.X. Experiment on Cleaning and Regeneration of Filter Material. Ind. Saf. Environ. Prot. 2021, 47, 94–98. (In Chinese) [Google Scholar]
- GB/T 14295-2019; National Standard of the People’s Republic of China: Air Filter. China Environmental Science Press Administration for Market Regulation, Standardization Administration of the People’s Republic of China: Beijing, China, 2019.
- GB50019-2015; National Standard of the People’s Republic of China: Design Code for Heating Ventilation and Air Conditioning of Industrial Buildings. Ministry of Housing and Urban-Rural Development of the People’s Republic of China, Inspection and Quarantine of the People’s Republic of China: Beijing, China, 2015.
- Azimi, P.; Zhao, D.; Stephens, B. Estimates of HVAC filtration efficiency for fine and ultrafine particles of outdoor origin. Atmos. Environ. 2014, 98, 337–346. [Google Scholar] [CrossRef]
- Thomas, D.; Penicot, P.; Contal, P.; Leclerc, D.; Vendel, J. Clogging of fibrous filters by solid aerosol particles Experimental and modelling study. Chem. Eng. Sci. 2001, 56, 3549–3561. [Google Scholar] [CrossRef]
- Zhang, W.Y.; Deng, S.M.; Wang, Y.X.; Lin, Z.P. Modeling the surface filtration pressure drop of PTFE HEPA filter media for low load applications. Build. Environ. 2020, 177, 106905. [Google Scholar] [CrossRef]
- Zhang, X.; Ma, J.Y.; Nie, X.X.; Fan, Y.S.; Wang, H.; Cui, Y. Establishment of air fiber filtration model based on fractal theory and analysis of filtration performances. Mater. Today Commun. 2023, 34, 105301. [Google Scholar] [CrossRef]
- Fu, Z.M. Numerical Study on Regeneration Characteristics of Fibrous Filters by Water Cleaning. Master’s Thesis, Xi’an University of Architecture and Technology, Xi’an, China, 2022. (In Chinese). [Google Scholar]
- Ji, Y.M. Study on the preparation, structure and properties of graphene functional finished silk fabrics. Master’s Thesis, Soochow University, Suzhou, China, 2018. (In Chinese). [Google Scholar]
- Wu, S.; Zhang, Z.R.; Chen, J.H.; Yao, Y.; Li, D.Q. Characterisation of stress corrosion durability and time-dependent performance of cable bolts in underground mine environments. Eng. Fail. Anal. 2023, 150, 107292. [Google Scholar] [CrossRef]
- Wu, S.; Hao, W.Q.; Yao, Y.; Li, D.Q. Investigation into durability degradation and fracture of cable bolts through laboratorial tests and hydrogeochemical modelling in underground conditions. Tunn. Undergr. Space Technol. 2023, 138, 105198. [Google Scholar] [CrossRef]






Disclaimer/Publisher’s Note: The statements, opinions and data contained in all publications are solely those of the individual author(s) and contributor(s) and not of MDPI and/or the editor(s). MDPI and/or the editor(s) disclaim responsibility for any injury to people or property resulting from any ideas, methods, instructions or products referred to in the content. |
© 2023 by the authors. Licensee MDPI, Basel, Switzerland. This article is an open access article distributed under the terms and conditions of the Creative Commons Attribution (CC BY) license (https://creativecommons.org/licenses/by/4.0/).
Share and Cite
Yang, M.; Yang, B.; Zhang, X.; Wu, S.; Yu, T.; Song, H.; Ren, F.; He, P.; Zhu, Y. Experimental Study of the Factors Influencing the Regeneration Performance of Reduced Graphite Oxide Filter Materials under Water Cleaning. Materials 2023, 16, 4033. https://doi.org/10.3390/ma16114033
Yang M, Yang B, Zhang X, Wu S, Yu T, Song H, Ren F, He P, Zhu Y. Experimental Study of the Factors Influencing the Regeneration Performance of Reduced Graphite Oxide Filter Materials under Water Cleaning. Materials. 2023; 16(11):4033. https://doi.org/10.3390/ma16114033
Chicago/Turabian StyleYang, Min, Bing Yang, Xin Zhang, Saisai Wu, Tao Yu, Hong Song, Fei Ren, Puchun He, and Yanhui Zhu. 2023. "Experimental Study of the Factors Influencing the Regeneration Performance of Reduced Graphite Oxide Filter Materials under Water Cleaning" Materials 16, no. 11: 4033. https://doi.org/10.3390/ma16114033
APA StyleYang, M., Yang, B., Zhang, X., Wu, S., Yu, T., Song, H., Ren, F., He, P., & Zhu, Y. (2023). Experimental Study of the Factors Influencing the Regeneration Performance of Reduced Graphite Oxide Filter Materials under Water Cleaning. Materials, 16(11), 4033. https://doi.org/10.3390/ma16114033

