Effects of La Addition on Microstructure Evolution and Thermal Stability of Cu-2.35Ni-0.59Si Sheet
Abstract
1. Introduction
2. Experimental Procedures
2.1. Material Preparation
2.2. Microstructure and Property Characterization
3. Results
3.1. Microstructure Features after Hot Rolling and Solid Solution Treatment
3.2. Second Phase in Different La-Content Alloys after Aging Treatment
3.3. Comprehensive Properties of Different La-Content Alloys after Aging Treatment
4. Discussion
4.1. Correlation between La Addition and Microstructure Evolution
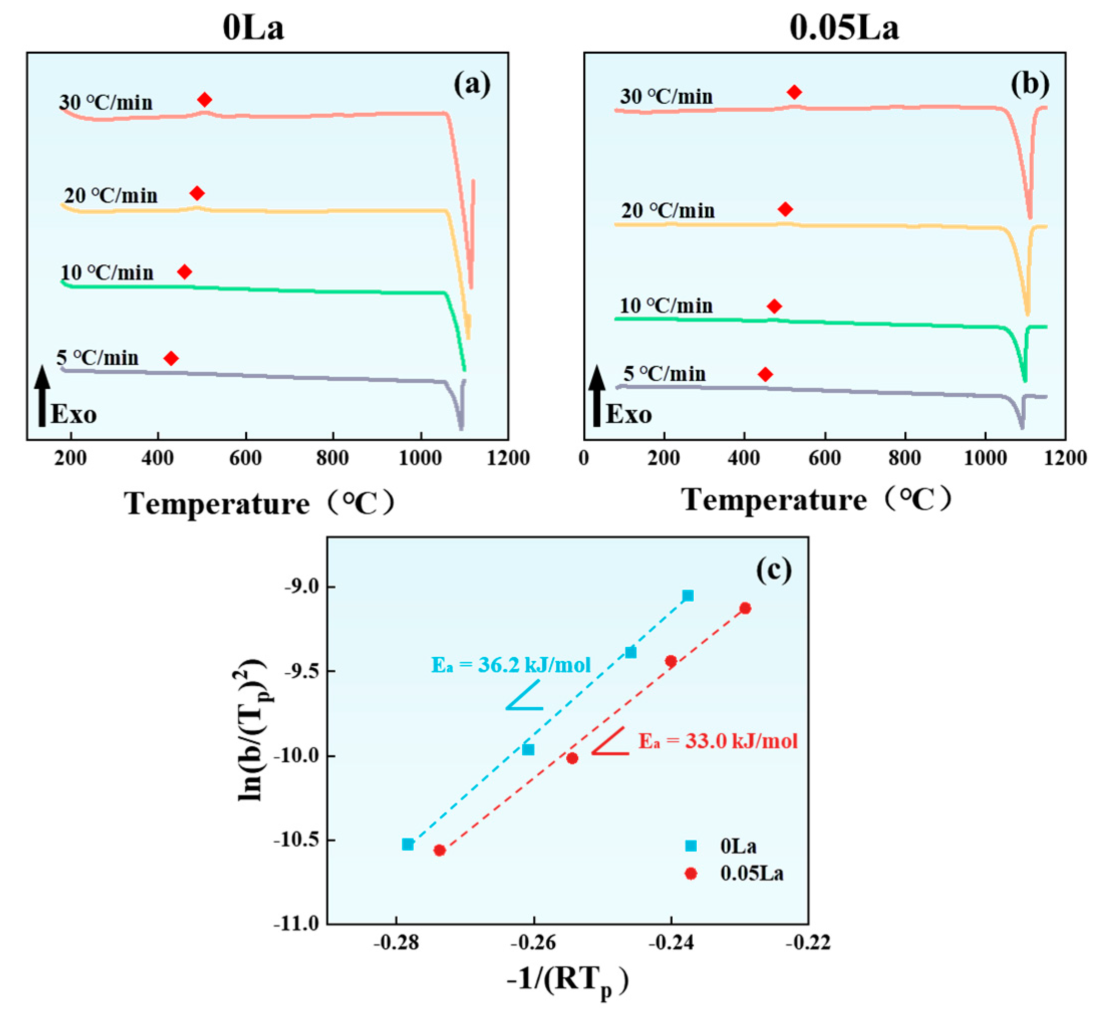
4.2. Effects of La Element on Formation Kinetics and Distribution Characteristics of the Ni2Si Phase
4.3. The Effects of the La Element on The Properties of Aged Alloy Sheets
5. Conclusions
- (1)
- The pinning effect of the La-rich phase, on grain boundaries in alloys, results in grain size refinement.
- (2)
- The addition of the La element reduces the precipitation activation energy of the alloy, resulting in the aggregation and distribution of the Ni2Si phase around the La-rich phase.
- (3)
- The prepared alloy has excellent comprehensive properties, with a hardness of 239.8 HV and an electrical conductivity of 44.1% IACS for the 0.05 La alloy.
- (4)
- The La-rich phase has good thermal stability, and its pinning effect on grain boundaries significantly improves the thermal stability of 0.05 La alloy sheets.
Author Contributions
Funding
Institutional Review Board Statement
Informed Consent Statement
Data Availability Statement
Acknowledgments
Conflicts of Interest
References
- Hu, T.; Chen, J.H.; Liu, J.Z.; Liu, Z.R.; Wu, C.L. The crystallographic and morphological evolution of the strengthening precipitates in Cu-Ni-Si alloys. Acta Mater. 2013, 61, 1210–1219. [Google Scholar] [CrossRef]
- Geng, Y.F.; Ban, Y.J.; Wang, B.J.; Li, X.; Song, K.X.; Zhang, Y.; Jia, Y.L.; Tian, B.H.; Liu, Y.; Volinsky, A.A. A review of microstructure and texture evolution with nanoscale precipitates for copper alloys. J. Mater. Res. Technol.-JmrT 2020, 9, 11918–11934. [Google Scholar] [CrossRef]
- Yang, H.Y.; Ma, Z.C.; Lei, C.H.; Meng, L.; Fang, Y.T.; Liu, J.B.; Wang, H.T. High strength and high conductivity Cu alloys: A review. Sci. China-Technol. Sci. 2020, 63, 2505–2517. [Google Scholar] [CrossRef]
- Khereddine, A.Y.; Larbi, F.H.; Azzeddine, H.; Baudin, T.; Brisset, F.; Helbert, A.L.; Mathon, M.H.; Kawasaki, M.; Bradai, D.; Langdon, T.G. Microstructures and textures of a Cu-Ni-Si alloy processed by high-pressure torsion. J. Alloys Compd. 2013, 574, 361–367. [Google Scholar] [CrossRef]
- Wang, W.; Kang, H.J.; Chen, Z.N.; Chen, Z.J.; Zou, C.L.; Li, R.G.; Yin, G.M.; Wang, T.M. Effects of Cr and Zr additions on microstructure and properties of Cu-Ni-Si alloys. Mater. Sci. Eng. A—Struct. Mater. Prop. Microstruct. Process. 2016, 673, 378–390. [Google Scholar] [CrossRef]
- Lei, Q.; Li, Z.; Gao, Y.; Peng, X.; Derby, B. Microstructure and mechanical properties of a high strength Cu-Ni-Si alloy treated by combined aging processes. J. Alloys Compd. 2017, 695, 2413–2423. [Google Scholar] [CrossRef]
- Cao, G.M.; Zhang, S.; Chen, J.; Jia, F.; Fang, F.; Li, C.G. Microstructure and Precipitate Evolution in Cu-3.2Ni-0.75Si Alloy Processed by Twin-Roll Strip Casting. J. Mater. Eng. Perform. 2021, 30, 1318–1329. [Google Scholar] [CrossRef]
- Sankar, B.; Vinay, C.; Vishnu, J.; Shankar, K.V.; Krishna, G.P.G.; Govind, V.; Jayakrishna, A.J. Focused Review on Cu-Ni-Sn Spinodal Alloys: From Casting to Additive Manufacturing. Met. Mater. Int. 2023, 29, 1203–1228. [Google Scholar] [CrossRef]
- Li, D.M.; Wang, Q.; Jiang, B.B.; Li, X.N.; Zhou, W.L.; Dong, C.; Wang, H.; Chen, Q.X. Minor-alloyed Cu-Ni-Si alloys with high hardness and electric conductivity designed by a cluster formula approach. Prog. Nat. Sci.—Mater. Int. 2017, 27, 467–473. [Google Scholar] [CrossRef]
- Lei, Q.; Li, Z.; Dai, C.; Wang, J.; Chen, X.; Xie, J.M.; Yang, W.W.; Chen, D.L. Effect of aluminum on microstructure and property of Cu-Ni-Si alloys. Mater. Sci. Eng. A—Struct. Mater. Prop. Microstruct. Process. 2013, 572, 65–74. [Google Scholar] [CrossRef]
- Lei, Q.; Li, S.Y.; Zhu, J.L.; Xiao, Z.; Zhang, F.F.; Li, Z. Microstructural evolution, phase transition, and physics properties of a high strength Cu-Ni-Si-Al alloy. Mater. Charact. 2019, 147, 315–323. [Google Scholar] [CrossRef]
- Monzen, R.; Watanabe, C. Microstructure and mechanical properties of Cu-Ni-Si alloys. Mater. Sci. Eng. A—Struct. Mater. Prop. Microstruct. Process. 2008, 483–484, 117–119. [Google Scholar] [CrossRef]
- Xiao, X.P.; Xiong, B.Q.; Wang, Q.S.; Xie, G.L.; Peng, L.J.; Huang, G.X. Microstructure and properties of Cu-Ni-Si-Zr alloy after thermomechanical treatments. Rare Met. 2013, 32, 144–149. [Google Scholar] [CrossRef]
- Wu, Y.K.; Li, Y.; Lu, J.Y.; Tan, S.; Jiang, F.; Sun, J. Correlations between microstructures and properties of Cu-Ni-Si-Cr alloy. Mater. Sci. Eng. A—Struct. Mater. Prop. Microstruct. Process. 2018, 731, 403–412. [Google Scholar] [CrossRef]
- Liu, J.; Wang, X.H.; Chen, J.; Liu, J.T. The effect of cold rolling on age hardening of Cu-3Ti-3Ni-0.5Si alloy. J. Alloys Compd. 2019, 797, 370–379. [Google Scholar] [CrossRef]
- Kim, H.G.; Lee, T.W.; Kim, S.M.; Han, S.Z.; Euh, K.; Kim, W.Y.; Lim, S.H. Effects of Ti addition and heat treatments on mechanical and electrical properties of Cu-Ni-Si alloys. Met. Mater. Int. 2013, 19, 61–65. [Google Scholar] [CrossRef]
- Yang, Y.H.; Li, S.Y.; Cui, Z.S.; Li, Z.; Li, Y.P.; Lei, Q. Microstructure and properties of high-strength Cu-Ni-Si-(Ti) alloys. Rare Met. 2021, 40, 3251–3260. [Google Scholar] [CrossRef]
- Tholkappiyan, R.; Vishista, K. Influence of lanthanum on the optomagnetic properties of zinc ferrite prepared by combustion method. Phys. B—Condens. Matter 2014, 448, 177–183. [Google Scholar] [CrossRef]
- Hamed, F.; Ramachandran, T.; Kurapati, V. The effect of induced strains on the optical band gaps in lanthanum-doped zinc ferrite nanocrystalline powders. Mod. Phys. Lett. B 2016, 30, 1650230. [Google Scholar] [CrossRef]
- Geng, Y.F.; Zhang, Y.; Song, K.X.; Jia, Y.L.; Li, X.; Stock, H.R.; Zhou, H.L.; Tian, B.H.; Liu, Y.; Volinsky, A.A.; et al. Effect of Ce addition on microstructure evolution and precipitation in Cu-Co-Si-Ti alloy during hot deformation. J. Alloys Compd. 2020, 842, 155666. [Google Scholar] [CrossRef]
- Wang, B.J.; Zhang, Y.; Tian, B.H.; An, J.C.; Volinsky, A.A.; Sun, H.L.; Liu, Y.; Song, K.X. Effects of Ce addition on the Cu-Mg-Fe alloy hot deformation behavior. Vacuum 2018, 155, 594–603. [Google Scholar] [CrossRef]
- Zhang, Y.; Volinsky, A.A.; Tran, H.T.; Chai, Z.; Liu, P.; Tian, B.H.; Liu, Y. Aging behavior and precipitates analysis of the Cu-Cr-Zr-Ce alloy. Mater. Sci. Eng. A—Struct. Mater. Prop. Microstruct. Process. 2016, 650, 248–253. [Google Scholar] [CrossRef]
- Li, H.H.; Zhang, S.H.; Chen, Y.; Cheng, M.; Song, H.W.; Liu, J.S. Effects of Small Amount Addition of Rare Earth Ce on Microstructure and Properties of Cast Pure Copper. J. Mater. Eng. Perform. 2015, 24, 2857–2865. [Google Scholar] [CrossRef]
- Li, H.H.; Liu, X.; Li, Y.; Zhang, S.H.; Chen, Y.; Wang, S.W.; Liu, J.S.; Wu, J.H. Effects of rare earth Ce addition on microstructure and mechanical properties of impure copper containing Pb. Trans. Nonferrous Met. Soc. China 2020, 30, 1574–1581. [Google Scholar] [CrossRef]
- Lu, D.P.; Wang, J.; Lu, L.; Liu, Y.; Xie, S.F.; Sun, B.D. Effect of boron and cerium on microstructures and properties of Cu-Fe-P alloy. J. Rare Earths 2006, 24, 602–606. [Google Scholar] [CrossRef]
- Chen, Y.; Zhang, S.H.; Cheng, M.; Song, H.W.; Liu, J.S.; Xiong, S.K. In Effects of microalloying with lanthanum on recrystallization of cold rolled pure copper. In Proceedings of the 11th International Conference on Technology of Plasticity (ICTP), Nagoya, Japan, 19–24 October 2014; pp. 203–208. [Google Scholar]
- Ma, M.Z.; Li, Z.; Xiao, Z.; Jia, Y.L.; Meng, X.P.; Jiang, Y.B.; Hu, Y. Microstructure and properties of Cu-Ni-Co-Si-Cr-Mg alloys with different Si contents after multi-step thermo-mechanical treatment. Mater. Sci. Eng. A—Struct. Mater. Prop. Microstruct. Process. 2022, 850, 143532. [Google Scholar] [CrossRef]
- Zheng, Z.S.; Guo, P.S.; Li, J.G.; Yang, T.S.; Song, Z.L.; Xu, C.; Zhou, M.J. Effect of cold rolling on microstructure and mechanical properties of a Cu-Zn-Sn-Ni-Co-Si alloy for interconnecting devices. J. Alloys Compd. 2020, 831, 154842. [Google Scholar] [CrossRef]
- Chen, S.F.; Song, H.W.; Zhang, S.H.; Cheng, M.; Lee, M.G. Effect of shear deformation on plasticity, recrystallization mechanism and texture evolution of Mg-3Al-1Zn alloy sheet: Experiment and coupled finite element-VPSC simulation. J. Alloys Compd. 2019, 805, 138–152. [Google Scholar] [CrossRef]
- Sun, Y.Q.; Xu, G.L.; Feng, X.; Peng, L.J.; Huang, G.J.; Xie, H.F.; Mi, X.J.; Liu, X.H. Effect of Ag on Properties, Microstructure, and Thermostability of Cu-Cr Alloy. Materials 2020, 13, 5386. [Google Scholar] [CrossRef]
- Zhao, D.M.; Dong, Q.M.; Liu, P.; Kang, B.X.; Huang, J.L.; Jin, Z.H. Aging behavior of Cu-Ni-Si alloy. Mater. Sci. Eng. A—Struct. Mater. Prop. Microstruct. Process. 2003, 361, 93–99. [Google Scholar] [CrossRef]
- Wang, G.C.; Sun, Y.H.; Zhong, B. Calculation of the electronegativity of solid metal atom and its application(I). Acta Phys.-Chim. Sin. 1998, 14, 8–12. [Google Scholar]
- Lei, Q.; Li, Z.; Wang, M.P.; Zhang, L.; Xiao, Z.; Jia, Y.L. The evolution of microstructure in Cu-8.0Ni-1.8Si-0.15Mg alloy during aging. Mater. Sci. Eng. A—Struct. Mater. Prop. Microstruct. Process. 2010, 527, 6728–6733. [Google Scholar] [CrossRef]
- Connetable, D.; Thomas, O. First-principles study of nickel-silicides ordered phases. J. Alloys Compd. 2011, 509, 2639–2644. [Google Scholar] [CrossRef]
- Wang, C.S.; Fu, H.D.; Zhang, H.T.; He, X.Q.; Xie, J.X. Simultaneous enhancement of mechanical and electrical properties of Cu-Ni-Si alloys via thermo-mechanical process. Mater. Sci. Eng. A—Struct. Mater. Prop. Microstruct. Process. 2022, 838, 142815. [Google Scholar] [CrossRef]
- Yi, J.; Jia, Y.L.; Zhao, Y.Y.; Xiao, Z.; He, K.J.; Wang, Q.; Wang, M.P.; Li, Z. Precipitation behavior of Cu-3.0Ni-0.72Si alloy. Acta Mater. 2019, 166, 261–270. [Google Scholar] [CrossRef]
- Sankar, B.; Shankar, K.V.; Sunil, V.; Kashyap, H.; Nair, N.; Nair, A.A.; Abhinav, P.M. Influence of quenching medium on the dendrite morphology, hardness, and tribological behaviour of cast Cu–Ni–Sn spinodal alloy for defence application. Def. Technol. 2023, in press. [Google Scholar] [CrossRef]
- Lei, Q.A.; Xiao, Z.; Hu, W.P.; Derby, B.; Li, Z. Phase transformation behaviors and properties of a high strength Cu-Ni-Si alloy. Mater. Sci. Eng. A—Struct. Mater. Prop. Microstruct. Process. 2017, 697, 37–47. [Google Scholar] [CrossRef]
- Fu, H.W.; Li, J.X.; Yun, X.B. Role of solidification texture on hot deformation behavior of a Cu-Ni-Si alloy with columnar grains. Mater. Sci. Eng. A—Struct. Mater. Prop. Microstruct. Process. 2021, 824, 141862. [Google Scholar] [CrossRef]
- Yang, Q.R.; Liu, Q.; Liu, X.H.; Lei, Y.; Jiang, Y.B.; Xie, J.X.; Li, Z. Microstructure and mechanical properties of Cu-Ni-Si alloy plate produced by HCCM horizontal continuous casting. J. Alloys Compd. 2022, 893, 162302. [Google Scholar] [CrossRef]
- Zhao, Z.; Zhang, Y.; Tian, B.H.; Jia, Y.L.; Liu, Y.; Song, K.X.; Volinsky, A.A. Co effects on Cu-Ni-Si alloys microstructure and physical properties. J. Alloys Compd. 2019, 797, 1327–1337. [Google Scholar] [CrossRef]
- Lu, X.L.; Chen, F.; Li, W.S.; Zheng, Y.F. Effect of Ce addition on the microstructure and damping properties of Cu-Al-Mn shape memory alloys. J. Alloys Compd. 2009, 480, 608–611. [Google Scholar] [CrossRef]
- Wang, S.W.; Li, Y.; Chen, S.F.; Liu, J.S.; Song, H.W.; Zhang, S.H. Improving surface quality of oxygen-free copper tube via grain growth inhibition with La microalloying. Mater. Lett. 2022, 309, 131318. [Google Scholar] [CrossRef]
- Xu, G.L.; Peng, L.J.; Huang, G.J.; Xie, H.F.; Yang, Z.; Feng, X.; Yin, X.Q.; Mi, X.J. Microstructural evolution and properties of a Cu-Cr-Ag alloy during continuous manufacturing process. Rare Met. 2021, 40, 2213–2220. [Google Scholar] [CrossRef]
- Humphreys, F.J.; Hatherly, M. (Eds.) Recrystallization and Related Annealing Phenomena, 2nd ed.; Elsevier: Oxford, UK, 2004. [Google Scholar]
- Chang, K.N.; Feng, W.M.; Chen, L.Q. Effect of second-phase particle morphology on grain growth kinetics. Acta Mater. 2009, 57, 5229–5236. [Google Scholar] [CrossRef]
- Tao, S.P.; Lu, Z.L.; Xie, H.; Zhang, J.L.; Wei, X. Effect of high contents of nickel and silicon on the microstructure and properties of Cu-Ni-Si alloys. Mater. Res. Express 2022, 9, 046516. [Google Scholar] [CrossRef]
- Eivani, A.R.; Valipour, S.; Ahmed, H.; Zhou, J.; Duszczyk, J. Effect of the Size Distribution of Nanoscale Dispersed Particles on the Zener Drag Pressure. Metall. Mater. Trans. A—Phys. Metall. Mater. Sci. 2011, 42A, 1109–1116. [Google Scholar] [CrossRef]
- Tousi, S.S.R.; Rahaei, M.B.; Abdi, M.S.; Sadrnezhaad, S.K. Stabilization of nanostructured materials using fine inert ceramic particles. Ceram. Int. 2010, 36, 793–796. [Google Scholar] [CrossRef]
- Salgado, R.S.; Silva, L.S.; Oliveira, L.M.; Mamani, T.P.Q.; Silva, R.A.G. Non-isothermal kinetics and the effects of alloying elements on bainite precipitation in the Cu74.5Al15.0Mn10.5 alloy. Thermochim. Acta 2022, 711, 179214. [Google Scholar] [CrossRef]
- Guia-Tello, J.C.; Garay-Reyes, C.G.; Ruiz-Esparza-Rodriguez, M.A.; Garcia-Hernandez, L.J.; Santillan, J.A.; Estrada-Guel, I.; Martinez-Sanchez, R. Effect of plastic deformation on the precipitation reaction in 2024 alloys. Mater. Chem. Phys. 2021, 271, 124927. [Google Scholar] [CrossRef]
- Adorno, A.T.; Silva, R.A.G.; Neves, T.B. Ag precipitation and dissolution reactions in the Cu-3 wt.% Al-4 wt.% Ag alloy. Mater. Sci. Eng. A—Struct. Mater. Prop. Microstruct. Process. 2006, 441, 259–265. [Google Scholar] [CrossRef]
- Zhao, C.C.; Niu, R.M.; Xin, Y.; Brown, D.; McGuire, D.; Wang, E.G.; Han, K. Improvement of properties in Cu-Ag composites by doping induced microstructural refinement. Mater. Sci. Eng. A—Struct. Mater. Prop. Microstruct. Process. 2021, 799, 140091. [Google Scholar] [CrossRef]
- Jia, L.; Xie, H.; Tao, S.P.; Zhang, R.; Lu, Z.L. Microstructure and Selection of Grain Boundary Phase of Cu-Ni-Si Ternary Alloys. Rare Met. Mater. Eng. 2015, 44, 3050–3054. [Google Scholar]











| Alloy Type | Ni (wt.%) | Si (wt.%) | Mg (wt.%) | Zn (wt.%) | La (wt.%) | Cu (wt.%) |
|---|---|---|---|---|---|---|
| 0 La | 2.43 | 0.56 | 0.11 | 0.053 | 0 | Balance |
| 0.05 La | 2.48 | 0.51 | 0.11 | 0.048 | 0.044 | Balance |
Disclaimer/Publisher’s Note: The statements, opinions and data contained in all publications are solely those of the individual author(s) and contributor(s) and not of MDPI and/or the editor(s). MDPI and/or the editor(s) disclaim responsibility for any injury to people or property resulting from any ideas, methods, instructions or products referred to in the content. |
© 2023 by the authors. Licensee MDPI, Basel, Switzerland. This article is an open access article distributed under the terms and conditions of the Creative Commons Attribution (CC BY) license (https://creativecommons.org/licenses/by/4.0/).
Share and Cite
Wang, M.; Chen, S.; Wang, S.; Zhang, M.; Song, H.; Zhang, S. Effects of La Addition on Microstructure Evolution and Thermal Stability of Cu-2.35Ni-0.59Si Sheet. Materials 2023, 16, 4105. https://doi.org/10.3390/ma16114105
Wang M, Chen S, Wang S, Zhang M, Song H, Zhang S. Effects of La Addition on Microstructure Evolution and Thermal Stability of Cu-2.35Ni-0.59Si Sheet. Materials. 2023; 16(11):4105. https://doi.org/10.3390/ma16114105
Chicago/Turabian StyleWang, Mingfei, Shuaifeng Chen, Songwei Wang, Mengxiao Zhang, Hongwu Song, and Shihong Zhang. 2023. "Effects of La Addition on Microstructure Evolution and Thermal Stability of Cu-2.35Ni-0.59Si Sheet" Materials 16, no. 11: 4105. https://doi.org/10.3390/ma16114105
APA StyleWang, M., Chen, S., Wang, S., Zhang, M., Song, H., & Zhang, S. (2023). Effects of La Addition on Microstructure Evolution and Thermal Stability of Cu-2.35Ni-0.59Si Sheet. Materials, 16(11), 4105. https://doi.org/10.3390/ma16114105

