Behavioral Evaluation of Strengthened Reinforced Concrete Beams with Ultra-Ductile Fiber-Reinforced Cementitious Composite Layers
Abstract
1. Introduction
1.1. Background
1.2. Overview of the Previously Published Works
1.3. Importance, Objectives, and Scope of the Study
| Ref. | Type of Sample | Size of Sample (mm) | Retrofitting Layer | Insightful Conclusions | ||||
|---|---|---|---|---|---|---|---|---|
| L | D | B | Type | Thickness (mm) | Position | |||
| [25] | RC beam | 1200 | 250 | 150 | UDFRC | 25 | Around the steel bars |
|
| [26] | RC slab | 2000 | 180 | 600 | UDFRC | 20 & 40 | Slab’s soffit |
|
| [27] | RC beam | 1200 | 160 | 160 | UDFRC | 25 & 50 | Beam’s soffit |
|
| [28] | Concrete beam | 500 | 100 | 100 | Concrete | 75 & 50 | Beam’s soffit |
|
| UDFRC | 25 & 50 | |||||||
| [29] | RC beam | 1480 | 170 | 130 | UDFRC | 20 & 40 | Beam’s soffit |
|
| [30] | Concrete beam | 400 | 100 | 100 | UDFRC | 10, 30m & 50 | Beam’s soffit (around the crack) |
|
| [31] | Beam with high-strength reinforcing steel | 3400 | 500 | 300 | UDFRC | 60 | Beam’s soffit |
|
| [32] | RC beam | 1800 | 200 | 200 | Ultrahigh-performance UDFRC | 50 | Beam’s soffit |
|
| [33] | RC beam | 1800 | 200 | 150 | FRC | 70 | Beam’s soffit |
|
| Ultrahigh-performance UDFRC | 30, 30, & 50 | |||||||
| [34,35] | RC beam | 1200 | 150 | 100 | UDFRC | 10, 30, & 50 | Beam’s soffit |
|
| [36] | RC beam | 1850 | 280 | 115 | UDFRC | 100, 200, & 280 | Beam’s soffit to full depth |
|
| [37] | Concrete beam | 800 | 40 | 200 | UDFRC | 20 | Beam’s soffit |
|
| [38] | RC beam | 2000 | 200 | 100 | Ultrahigh-performance UDFRC | 20 | Beam’s soffit with a length of 1.5 and 2.0 m |
|
| [39] | RC beam | 2100 or 1500 | 350 | 180 | High-tensile-strength UDFRC | 20 (10/each face) | Beam’s side surfaces |
|
| [40] | RC beam | 300 | 150 | 150 | UDFRC | 50, 75, 100, and 150 | Beam’s top and bottom surfaces |
|
| [41] | RC beam | 1650 | 250 | 150 | UDFRC | 50 | Beam’s soffit |
|
2. Experimental Program
2.1. Materials
2.1.1. Cements and Chemical Admixture
| Oxides (%) | PC | FA |
|---|---|---|
| SiO2 | 20.20 | 50.0 |
| Al2O3 | 5.49 | 28.0 |
| Fe2O3 | 4.12 | 10.4 |
| CaO | 65.43 | <6 |
| MgO | 0.71 | <4 |
| SO3 | 2.61 | 2.5 |
| Na2Oeq | 0.26 | 1.5 |
| Mean particle size (µm) | 14 | 10 |
| Loss on ignition (%) | 1.38 | 4.0 |
| Relative density | 3.14 | 2.3 |
| Fineness (m2/kg) | 373 | 300–600 |
2.1.2. Reinforcing Steel, Fibers, and Aggregates
2.1.3. Composition Details of Mixtures
2.2. Methodology
2.2.1. Mixing, Casting, and Curing
- (a)
- Casting Group (A) beams (See Section 2.2.3):
- (i)
- A steel cage was first inverted, and concrete was placed in it to the desired height.
- (ii)
- A vibrator was used to remove any air bubbles from the concrete that had been poured.
- (iii)
- A wire brush was used to roughen the surface of the concrete after it had initially been set to ensure proper bonding between different layers of concrete.
- (iv)
- After the hardened concrete overlay was poured, a fresh layer of UDFRC overlay was applied to reach the target surface height. Several small layers of the mix were carefully placed for each UDFRC layer.
- (v)
- To achieve the desired reduction in air bubbles, the UDFRC layer was properly tapped.
- (b)
- Casting Group (B) beams (See Section 2.2.3):
- (i)
- The steel cage was attached before the concrete or UDFRC was cast.
- (ii)
- A fresh layer of UDFRC overlay was poured to reach its target height. Several small layers of the UDFRC mix were carefully placed and tapped.
- (iii)
- A wire brush was used to roughen the UDFRC surface after it had initially been set to ensure proper bonding between different layers of concrete.
- (iv)
- After the hardened UDFRC overlay was poured, a fresh concrete overlay was applied and vibrated carefully.
2.2.2. Testing of Materials
2.2.3. Details of Beam Specimens
- A.
- Casted and tested four 150 × 200 × 1800 mm RC beams (with thicknesses of 0, 30, 60, and 90 mm UDFRC). In this phase, the flexural behavior of the beams after replacing concrete with a UDFRC layer was studied.
- B.
- The eight beams of this phase were divided into two groups:
- (1)
- Cast and test two 150 × 230 × 1800 mm RC beams containing 16 mm bars as the main reinforcement and two control beams (without UDFRC) as their counterparts.
- (2)
- Cast and test two 150 × 260 × 1800 mm RC beams containing 16 mm and 8 mm bars as the main reinforcement and two control beams (without UDFRC) as their counterparts.

| Group | Set | Beam ID | (mm) | (mm) | (mm) | (mm2) | (%) | |
|---|---|---|---|---|---|---|---|---|
| (A) | A | B1 | 200 | 200 | - | 402 | 1.34 | 3.06 |
| B2 | 170 | 30 | ||||||
| B3 | 140 | 60 | ||||||
| B4 | 110 | 90 | ||||||
| (B) | B-1-a | B5 | 230 | 230 | - | 1.17 | ||
| B6 | 170 | 60 | ||||||
| B-1-b | B7 | 260 | 260 | - | 1.03 | |||
| B8 | 170 | 90 | ||||||
| B-2-a | B9 | 230 | 230 | - | 502.5 | 1.46 | 2.90 | |
| B10 | 170 | 60 | ||||||
| B-2-b | B11 | 260 | 260 | - | 1.29 | 2.63 | ||
| B12 | 170 | 90 |
2.2.4. Testing of Flexural Behavior
3. Results and Discussion
3.1. Material Properties
3.1.1. Compression Test
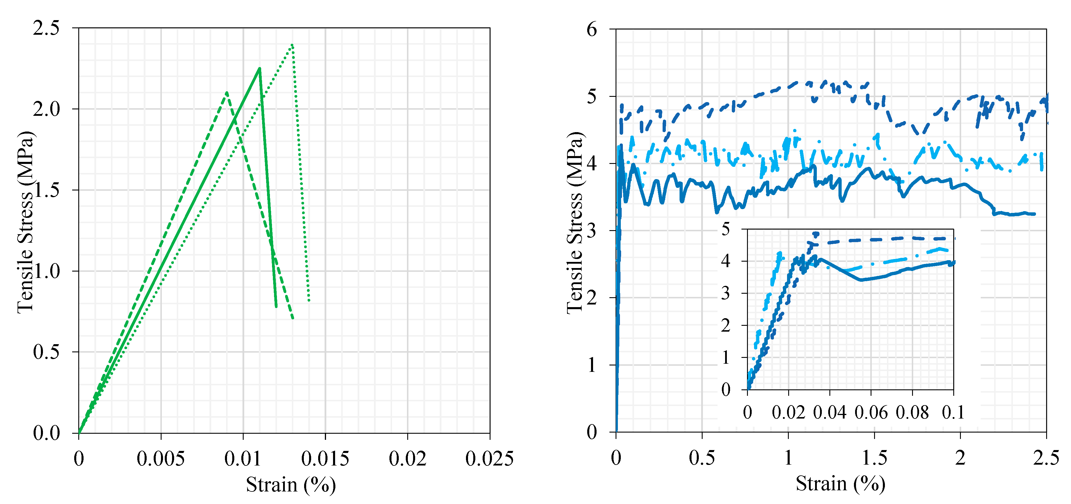
3.1.2. Uniaxial Three-Point Load and Uniaxial Tension Tests
3.2. Flexural Behavior of Beams
3.2.1. Load-Deflection Behavior
| Set | Beam ID | Deflection (mm) | Load (kN) | Mode of Failure | ||||||
|---|---|---|---|---|---|---|---|---|---|---|
| A | B1 | 0.62 | 7.60 | 34.32 | 40.94 | 15.25 | 86.61 | 113.17 | 90.45 | BYCC |
| B2 | 0.76 (+22.6%) | 10.33 (+35.9%) | 15.52 (−54.8%) | 37.69 (−7.9%) | 20.16 (+32.2%) | 112.00 (+29.3%) | 122.57 (+8.3) | 97.12 (+7.4) | BYDUCC | |
| B3 | 0.82 (+32.3%) | 9.52 (+25.3%) | 17.27 (−49.7%) | 42.75 (+4.4) | 21.45 (+40.7%) | 113.27 (+30.8%) | 125.44 (+10.8) | 98.81 (+9.2) | BYDUCC | |
| B4 | 0.97 (+56.6%) | 9.06 (+19.2%) | 20.28 (−40.9) | 31.04 (−24.2) | 21.82 (+43.1%) | 102.54 (+18.4%) | 120.30 (+6.3) | 96.00 (+6.1) | BYDUCC | |
| B-1-a | B5 | 0.49 | 10.31 | 37.45 | 43.62 | 15.23 | 94.78 | 117.72 | 94.18 | BYCC |
| B6 | 0.69 (+40.8%) | 8.58 (−16.8%) | 22.28 (−40.5%) | 39.09 (−10.4%) | 24.87 (+63.3%) | 108.32 (+14.3%) | 121.06 (+2.8%) | 96.84 (+2.8%) | BYDUCC | |
| B-1-b | B7 | 0.53 | 7.85 | 28.79 | 38.73 | 15.51 | 87.46 | 127.50 | 102.00 | BYCC |
| B8 | 0.81 (+52.8%) | 8.07 (+2.8%) | 22.01 (−23.5%) | 44.23 (+14.2%) | 28.37 (+82.9%) | 108.47 (+24.0%) | 128.25 (+0.6%) | 102.60 (+0.6%) | BYDUCC | |
| B-2-a | B9 | 0.47 | 9.00 | 19.70 | 26.35 | 15.43 | 126.69 | 146.06 | 116.80 | BYCC |
| B10 | 0.63 (+34.0%) | 9.16 (+1.8%) | 12.67 (−35.7%) | 20.33 (−22.8%) | 22.50 (+45.8%) | 136.46 (+7.7%) | 161.05 (+10.3%) | 128.80 (+10.3%) | BYDUCC | |
| B-2-b | B11 | 0.41 | 9.32 | 13.94 | 19.83 | 15.93 | 137.13 | 152.80 | 121.54 | BYCC |
| B12 | 0.63 (+53.7%) | 9.73 (+4.4%) | 15.86 (+13.8%) | 25.00 (+26.1%) | 22.94 (+44.0%) | 156.54 (+14.2%) | 179.17 (+17.3%) | 143.33 (+17.9%) | BYDUCC | |
3.2.2. BY→CC: Bar Yielding and Concrete Crushing, and BY→DU→CC: Bar Yielding, Delamination of the UDFRC Layer, and Concrete Crushing Moment–Curvature Response


| Set | Beam ID | Curvature × 10−3 (rad/m) | Ductility | Moment (kNm) | ||||||
|---|---|---|---|---|---|---|---|---|---|---|
| A | B1 | 1.60 | 25.58 | 149.90 | 149.90 | 5.86 | 4.20 | 23.82 | 31.09 | 31.09 |
| B2 | 2.20 (+37.5%) | 29.46 (+15.2%) | 82.04 (−45.3%) | 139.50 (−6.9%) | 4.74 (−19.1%) | 5.50 | 30.80 | 33.70 | 29.00 | |
| B3 | 2.70 (+68.8%) | 27.97 (+9.3%) | 81.97 (−45.3%) | 159.66 (+6.5%) | 5.71 (−2.6%) | 5.90 | 31.15 | 34.54 | 32.31 | |
| B4 | 3.00 (+87.5) | 28.05 (+9.7%) | 87.17 (−41.8%) | 134.30 (−10.4%) | 4.79 (−18.3%) | 6.00 | 28.20 | 33.09 | 30.27 | |
| B-1-a | B5 | 2.00 | 27.4 | 145.0 | 152.3 | 5.56 | 4.19 | 26.1 | 32.4 | 31.9 |
| B6 | 2.84 (+42.0%) | 27.2 (−0.7%) | 123.3 (−15.0%) | 123.3 (−19.0%) | 4.53 (−18.5%) | 6.84 | 29.8 | 33.2 | 33.2 | |
| B-1-b | B7 | 4.10 | 26.7 | 154.1 | 154.1 | 5.77 | 4.27 | 24.1 | 35.1 | 35.1 |
| B8 | 3.53 (−13.9%) | 31.2 (+16.9%) | 127.0 (−17.6%) | 127.0 (−17.6%) | 4.07 (−29.5%) | 7.80 | 29.8 | 35.3 | 35.3 | |
| B-2-a | B9 | 1.28 | 28.3 | 98.0 | 104.3 | 3.69 | 4.24 | 34.8 | 40.2 | 39.4 |
| B10 | 2.10 (+64.1) | 29.4 (+3.9) | 49.1 (−49.9%) | 114.5 (+9.8%) | 3.89 (+5.4%) | 6.18 | 37.5 | 44.3 | 41.0 | |
| B-2-b | B11 | 0.73 | 28.5 | 37.3 | 79.5 | 2.79 | 4.38 | 37.7 | 42.0 | 41.7 |
| B12 | 1.34 (+83.6) | 30.7 (+7.7) | 54.3 (+45.6) | 88.1 (+10.8) | 2.87 (+2.9) | 6.30 | 43.1 | 48.6 | 48.6 | |
3.2.3. Ductility Analysis
3.2.4. Cracking Pattern and Failure Modes
4. Conclusions, Limitations, and Future Research
- The replacement of concrete with UDFRC of a 90 mm thickness notably increased the load-carrying capacity at first crack and steel yielding between 18.4 and 43.1%. However, no increase was observed in the ultimate load-carrying capacity (i.e., between 6.3 and 10.8%).
- Under pre-ultimate loading, UDFRC-overlayed beams could carry 30–50% more load than their concrete counterparts. The UDFRC-reinforced RC beams demonstrated a higher load-carrying capacity of 10–15% compared with normal RC beams. The maximum loads of reinforced RC beams with plain UDFRC layers were marginally higher than those of their reference beams.
- UDFRC–concrete composite RC beams generally displayed a lower deflection response than concrete-only beams. UDFRC layering can likely improve the load-carrying capacity of RC beams, at least when ductility provisions are taken into account.
Author Contributions
Funding
Institutional Review Board Statement
Informed Consent Statement
Data Availability Statement
Acknowledgments
Conflicts of Interest
References
- Marinković, S.; Carević, V.; Dragaš, J. The role of service life in Life Cycle Assessment of concrete structures. J. Clean. Prod. 2021, 290, 125610. [Google Scholar] [CrossRef]
- Herrera-Franco, P.; Valadez-Gonzalez, A. A study of the mechanical properties of short natural-fiber reinforced composites. Compos. Part B Eng. 2005, 36, 597–608. [Google Scholar] [CrossRef]
- Mu, R.; Miao, C.; Luo, X.; Sun, W. Interaction between loading, freeze–thaw cycles, and chloride salt attack of concrete with and without steel fiber reinforcement. Cem. Concr. Res. 2002, 32, 1061–1066. [Google Scholar] [CrossRef]
- Yoo, D.-Y.; Shin, W.; Chun, B. Corrosion effect on tensile behavior of ultra-high-performance concrete reinforced with straight steel fibers. Cem. Concr. Compos. 2020, 109, 103566. [Google Scholar] [CrossRef]
- Watts, M.; Amin, A.; Gilbert, R. Time-dependent deformation and cracking behaviour of FRC beams. Eng. Struct. 2022, 268, 114741. [Google Scholar] [CrossRef]
- Nascimento, K.M.; Freire, R.T.S.; Borges, P.H.R.; Christoforo, A.L.; Panzera, T.H. Fiber-reinforced concrete (FRC) for civil engineering applications. In Advanced Fiber-Reinforced Polymer (FRP) Composites for Structural Applications; Elsevier: Amsterdam, The Netherlands, 2023; pp. 541–568. [Google Scholar] [CrossRef]
- Al-Osta, M.A. Exploitation of Ultrahigh-Performance Fibre-Reinforced Concrete for the Strengthening of Concrete Structural Members. Adv. Civ. Eng. 2018, 2018, 8678124. [Google Scholar] [CrossRef]
- Clarke, T.; Ghiji, M.; Fragomeni, S.; Guerrieri, M. Mechanical properties of macro synthetic fiber reinforced concrete at elevated temperatures: A systematic review and meta-analysis. Struct. Concr. 2023, 24, 1244–1270. [Google Scholar] [CrossRef]
- Environment, U.; Scrivener, K.L.; John, V.M.; Gartner, E.M. Eco-efficient cements: Potential economically viable solutions for a low-CO2 cement-based materials industry. Cem. Concr. Res. 2018, 114, 2–26. [Google Scholar] [CrossRef]
- Guo, Y.-Q.; Wang, J.-Y.; Gu, J.-B. Nonlinear Inverse Analysis for Predicting the Tensile Properties of Strain-Softening and Strain-Hardening UHPFRC. Materials 2022, 15, 3067. [Google Scholar] [CrossRef]
- Baskar, P.; Annadurai, S.; Sekar, K.; Prabakaran, M. A Review on Fresh, Hardened, and Microstructural Properties of Fibre-Reinforced Geopolymer Concrete. Polymers 2023, 15, 1484. [Google Scholar] [CrossRef]
- Farooq, M.; Banthia, N. Strain-hardening fiber reinforced polymer concrete with a low carbon footprint. Constr. Build. Mater. 2022, 314, 125705. [Google Scholar] [CrossRef]
- Bentur, A.; Mindess, S. Fibre Reinforced Cementitious Composites, 2nd ed.; CRC Press: Boca Raton, FL, USA, 2006; p. 601. [Google Scholar]
- Li, V.C.; Mishra, D.K.; Wu, H.-C. Matrix design for pseudo-strain-hardening fibre reinforced cementitious composites. Mater. Struct. 1995, 28, 586–595. [Google Scholar] [CrossRef]
- Fischer, G.; Li, V.C. Effect of fiber reinforcement on the response of structural members. Eng. Fract. Mech. 2007, 74, 258–272. [Google Scholar] [CrossRef]
- Rokugo, K. Recommendations for Design and Construction of High Performance Fiber Reinforced Cement Composites with Multiple Fine Cracks (HPFRCC); Japan Society of Civil Engineers, Concrete Committee: Tokyo, Japan, 2008.
- Li, V.C.; Wang, S.; Wu, C. Tensile strain-hardening behavior of polyvinyl alcohol engineered cementitious composite (PVA-ECC). Mater. J. 2001, 98, 483–492. [Google Scholar] [CrossRef]
- FISCHER, G.; Shuxin, W. Design of engineered cementitious composites (ECC) for processing and workability requirements. In Brittle Matrix Composites 7; Elsevier: Amsterdam, The Netherlands, 2003. [Google Scholar]
- Khalil, A.E.-H.; Etman, E.; Atta, A.; Essam, M. Behavior of RC beams strengthened with strain hardening cementitious composites (SHCC) subjected to monotonic and repeated loads. Eng. Struct. 2017, 140, 151–163. [Google Scholar] [CrossRef]
- Shang, J.; Zhao, K.; Zhang, P.; Guo, W.; Zhao, T. Flexural behavior of plain concrete beams containing strain hardening cementitious composite layers with High-Volume fly ash. Constr. Build. Mater. 2021, 286, 122867. [Google Scholar] [CrossRef]
- Li, X.; Lu, X.; Qi, J.; Bao, Y. Flexural behavior of fire-damaged concrete beams repaired with strain-hardening cementitious composite. Eng. Struct. 2022, 261, 114305. [Google Scholar] [CrossRef]
- Kim, S.-W.; Park, W.-S.; Jang, Y.-I.; Feo, L.; Yun, H.-D. Crack damage mitigation and shear behavior of shear-dominant reinforced concrete beams repaired with strain-hardening cement-based composite. Compos. Part B Eng. 2015, 79, 6–19. [Google Scholar] [CrossRef]
- van Zijl, G.P.; de Jager, D.J. Improved ductility of SHCC retrofitted unreinforced load bearing masonry via a strip-debonded approach. J. Build. Eng. 2019, 24, 100722. [Google Scholar] [CrossRef]
- Huang, B.-T.; Li, Q.-H.; Xu, S.-L.; Zhang, L. Static and fatigue performance of reinforced concrete beam strengthened with strain-hardening fiber-reinforced cementitious composite. Eng. Struct. 2019, 199, 109576. [Google Scholar] [CrossRef]
- Khan, M.I.; Abbass, W. Flexural behavior of high-strength concrete beams reinforced with a strain hardening cement-based composite layer. Constr. Build. Mater. 2016, 125, 927–935. [Google Scholar] [CrossRef]
- Cho, C.-G.; Kappos, A.J.; Moon, H.-J.; Lim, H.-J. Experiments and failure analysis of SHCC and reinforced concrete composite slabs. Eng. Fail. Anal. 2015, 56, 320–331. [Google Scholar] [CrossRef]
- Shin, S.; Kim, K.; Lim, Y. Strengthening effects of DFRCC layers applied to RC flexural members. Cem. Concr. Compos. 2011, 33, 328–333. [Google Scholar] [CrossRef]
- Zhang, J.; Leung, C.K.; Cheung, Y.N. Flexural performance of layered ECC-concrete composite beam. Compos. Sci. Technol. 2006, 66, 1501–1512. [Google Scholar] [CrossRef]
- Yang, H.J.; Kim, J.S.; Kim, S.H.; Do Yun, H. Flexural Performance of Reinforced Concrete Beams with a Layer of Expansive Strain-hardening Cement-Based Composite (SHCC); Chungnam National University: Daejeon, Republic of Korea, 2012. [Google Scholar]
- Anwar, A.; Hattori, K.; Ogata, H.; Ashraf, M. Engineered cementitious composites for repair of initially cracked concrete beams. Asian J. Appl. Sci 2009, 2, 223–231. [Google Scholar] [CrossRef]
- Kim, Y.Y.; Lee, B.Y.; Bang, J.-W.; Han, B.-C.; Feo, L.; Cho, C.-G. Flexural performance of reinforced concrete beams strengthened with strain-hardening cementitious composite and high strength reinforcing steel bar. Compos. Part B Eng. 2014, 56, 512–519. [Google Scholar] [CrossRef]
- Hussein, M.; Kunieda, M.; Nakamura, H. Strength and ductility of RC beams strengthened with steel-reinforced strain hardening cementitious composites. Cem. Concr. Compos. 2012, 34, 1061–1066. [Google Scholar] [CrossRef]
- Kamal, A.; Kunieda, M.; Ueda, N.; Nakamura, H. Assessment of strengthening effect on RC beams with UHP-SHCC. Annu. Proc. Jpn. Concr. Inst. 2014, 30, 1483–1488. [Google Scholar]
- Zhang, Y.; Ueda, N.; Nakamura, H.; Kunieda, M. Behavior investigation of reinforced concrete members with flexural strengthening using strain-hardening cementitious composite. ACI Struct. J. 2017, 114, 417. [Google Scholar] [CrossRef]
- Zhang, Y. Flexural behavior investigation of reinforced concrete member with strengthening using strain hardening cementitious composite. Int. J. Civ. Eng. 2018, 16, 837–843. [Google Scholar] [CrossRef]
- Shanour, A.S.; Said, M.; Arafa, A.I.; Maher, A. Flexural performance of concrete beams containing engineered cementitious composites. Constr. Build. Mater. 2018, 180, 23–34. [Google Scholar] [CrossRef]
- Asgari, M.; Mastali, M.; Dalvand, A.; Abdollahnejad, Z. Development of deflection hardening cementitious composites using glass fibres for flexural repairing/strengthening concrete beams: Experimental and numerical studies. Eur. J. Environ. Civ. Eng. 2019, 23, 916–944. [Google Scholar] [CrossRef]
- Basha, A.; Fayed, S.; Elsamak, G. Flexural behavior of cracked RC beams retrofitted with strain hardening cementitious composites. KSCE J. Civ. Eng. 2019, 23, 2644–2656. [Google Scholar] [CrossRef]
- Wei, J.; Wu, C.; Chen, Y.; Leung, C.K. Shear strengthening of reinforced concrete beams with high strength strain-hardening cementitious composites (HS-SHCC). Mater. Struct. 2020, 53, 1–15. [Google Scholar] [CrossRef]
- Nguyen, D.-L.; Tran, V.-T.; Tran, N.-T.; Ngo, T.-T.; Nguyen, M.-T. Evaluating load-carrying capacity of short composite beam using strain-hardening HPFRC. KSCE J. Civ. Eng. 2021, 25, 1410–1423. [Google Scholar] [CrossRef]
- Khan, M.I.; Fares, G.; Abbas, Y.M.; Abbass, W.; Sial, S.U. Susceptibility of strain-hardening cementitious composite to curing conditions as a retrofitting material for RC beams. J. Eng. Fibers Fabr. 2021, 16, 15589250211020311. [Google Scholar] [CrossRef]
- ASTM C150; Standard Specification for Portland Cement. ASTM: West Conshohocken, PA, USA, 2008.
- ASTM C494. Standard Specification for Chemical Admixtures for Concrete. ASTM: West Conshohocken, PA, USA, 2005.
- ASTM C136/C136M-19; Standard Test Method for Sieve Analysis of Fine and Coarse Aggregates. ASTM: West Conshohocken, PA, USA, 2019.
- ASTM A615/A615M-16; Standard Specification for Deformed and Plain Carbon-Steel Bars for Concrete Reinforcement. ASTM Standards: West Conshohocken, PA, USA, 2016.
- Khan, M.I.; Fares, G.; Mourad, S.; Abbass, W. Optimized fresh and hardened properties of strain-hardening cementitious composites: Effect of sand size and workability. J. Mater. Civ. Eng. 2016, 28, 04016152. [Google Scholar] [CrossRef]
- Khan, M.I.; Fares, G. The effects of a mineral admixture on the ductility of strain-hardening cementitious composite for structural strengthening and rehabilitation. Infrastruct. Manag. Assess. Rehabil. 2021, 47. [Google Scholar] [CrossRef]
- Zhang, X.; Zhang, S.; Luo, Y.; Wang, L. Effects of Interface Orientations on Bond Strength between Old Conventional Concrete and New Self-Consolidating Concrete. ACI Struct. J. 2020, 117, 191–201. [Google Scholar] [CrossRef]
- ASTM C39; Standard Test Method for Compressive Strength of Cylindrical Concrete Specimens. ASTM: West Conshohocken, PA, USA, 2001.
- Hassan, A.; Baraghith, A.T.; Atta, A.M.; El-Shafiey, T.F. Retrofitting of shear-damaged RC T-beams using U-shaped SHCC jacket. Eng. Struct. 2021, 245, 112892. [Google Scholar] [CrossRef]
- Mustafa, S.; Singh, S.; Hordijk, D.; Schlangen, E.; Luković, M. Experimental and numerical investigation on the role of interface for crack-width control of hybrid SHCC concrete beams. Eng. Struct. 2022, 251, 113378. [Google Scholar] [CrossRef]
- Guo, L.; Deng, M.; Wei, D.; Qiu, Z.; Dong, Z. Seismic strengthening of reinforced concrete beams using high-ductility cementitious composite (HDCC). Eng. Struct. 2022, 267, 114715. [Google Scholar] [CrossRef]
- Li, K.; Wei, Y.; Li, Y.; Li, Z.; Zhu, J. Flexural behavior of reinforced concrete beams strengthened with high-strength stainless steel wire rope meshes reinforced ECC. Constr. Build. Mater. 2023, 362, 129627. [Google Scholar] [CrossRef]
- Nogueira, C.G.; Rodrigues, I.D. Ductility analysis of RC beams considering the concrete confinement effect produced by the shear reinforcement: A numerical approach. Lat. Am. J. Solids Struct. 2017, 14, 2342–2372. [Google Scholar] [CrossRef]
- Abbas, Y.M.; Tuken, A.; Siddiqui, N.A. Improving the structural behavior of shear-deficient RC deep beams using steel fibers: Experimental, numerical and probabilistic approach. J. Build. Eng. 2022, 46, 103711. [Google Scholar] [CrossRef]
- Khan, M.I.; Fares, G.; Abbas, Y.M. Behavior of non-shear-strengthened UHPC beams under flexural loading: Influence of reinforcement depth. Appl. Sci. 2021, 11, 11168. [Google Scholar] [CrossRef]
- Kwan, A.; Ho, J.; Pam, H. Flexural strength and ductility of reinforced concrete beams. Proc. Inst. Civ. Eng. Struct. Build. 2002, 152, 361–369. [Google Scholar] [CrossRef]
- Zhang, Y. Numerical Evaluation of Concrete Members Using Ultra High Performance Strain Hardening Cementitious Composites. Ph.D. Thesis, Nagoya University, Nagoya, Japan, 2012. [Google Scholar]
- Abou-Zeid, M.; Fowler, D.W.; Nawy, E.G.; Allen, J.H.; Halvorsen, G.T.; Poston, R.W.; Barlow, J.P.; Hansen, W.; Rhoads, R.J.; Brander, M.E. Control of cracking in concrete structures. Rep. ACI Comm. 2001, 224, 12–16. [Google Scholar] [CrossRef]












| Length (mm) | Aspect Ratio | Density (g/cm3) | Tensile Strength (MPa) | Elasticity Modulus (gpa) | Elongation (%) |
|---|---|---|---|---|---|
| 12 | 300 | 1.3 | 1600 | 42 | 7 |
| Physical Properties | RS/WS | CS | Coarse Aggregate |
|---|---|---|---|
| Unit weight (kg/m3) | 1725 | 1552 | 1570 |
| Relative density | 2.63 | 2.68 | 2.65 |
| Absorption (%) | 0.77 | 1.52 | 1.45 |
| Material | Cement | FA | Water | Coarse Aggregate | RS | WS | CS | PVA Fibers |
|---|---|---|---|---|---|---|---|---|
| Concrete | 350 | - | 175 | 1070 | - | 488 | 262 | - |
| UDFRC | 555 | 666 | 315 | - | 466 | - | - | 26 |
| Sample number | Strain (%) | Strength (Mpa) | ||
|---|---|---|---|---|
| Yielding | Rupture | Yield | Tensile | |
| 1 | 0.231 | 11.255 | 462.3 | 636.0 |
| 2 | 0.236 | 09.625 | 474.4 | 618.4 |
| 3 | 0.251 | 10.930 | 502.7 | 614.4 |
| Mean | 0.239 | 10.603 | 479.8 | 622.9 |
Disclaimer/Publisher’s Note: The statements, opinions and data contained in all publications are solely those of the individual author(s) and contributor(s) and not of MDPI and/or the editor(s). MDPI and/or the editor(s) disclaim responsibility for any injury to people or property resulting from any ideas, methods, instructions or products referred to in the content. |
© 2023 by the authors. Licensee MDPI, Basel, Switzerland. This article is an open access article distributed under the terms and conditions of the Creative Commons Attribution (CC BY) license (https://creativecommons.org/licenses/by/4.0/).
Share and Cite
Khan, M.I.; Abbas, Y.M. Behavioral Evaluation of Strengthened Reinforced Concrete Beams with Ultra-Ductile Fiber-Reinforced Cementitious Composite Layers. Materials 2023, 16, 4695. https://doi.org/10.3390/ma16134695
Khan MI, Abbas YM. Behavioral Evaluation of Strengthened Reinforced Concrete Beams with Ultra-Ductile Fiber-Reinforced Cementitious Composite Layers. Materials. 2023; 16(13):4695. https://doi.org/10.3390/ma16134695
Chicago/Turabian StyleKhan, Mohammad Iqbal, and Yassir M. Abbas. 2023. "Behavioral Evaluation of Strengthened Reinforced Concrete Beams with Ultra-Ductile Fiber-Reinforced Cementitious Composite Layers" Materials 16, no. 13: 4695. https://doi.org/10.3390/ma16134695
APA StyleKhan, M. I., & Abbas, Y. M. (2023). Behavioral Evaluation of Strengthened Reinforced Concrete Beams with Ultra-Ductile Fiber-Reinforced Cementitious Composite Layers. Materials, 16(13), 4695. https://doi.org/10.3390/ma16134695

