Simplified Evaluation of Shear Stiffness Degradation of Diagonally Cracked Reinforced Concrete Beams
Abstract
1. Introduction
2. Experimental Test of Shear Stiffness Degradation
2.1. Test Object and Design Concept
- (1)
- Achieve continuous direct measurement of shear deformation before and after diagonal cracks in the concrete web;
- (2)
- Analyze the amplitude of changes in shear deformation values before and after shear cracking and study the degree of influence of diagonal cracks on shear deformation;
- (3)
- Study the degradation law of shear stiffness after the development of diagonal cracks.
- (1)
- Using large-scale thin-webbed I-shaped cross-section specimens to better simulate the stress behavior of thin web bridges, while facilitating the testing of web strain and the observation of diagonal cracks.
- (2)
- Adopting a reinforcement design with “strong bending and weak shear“ concept, ensuring the priority occurrence and full development of diagonal cracks, with a focus on observing the impact of diagonal cracks on shear deformation and shear stiffness.
- (3)
- Constrained beams are used to investigate the shear performance of concrete beams under different combinations of bending and shear internal forces.
- (4)
- The effects of inclined bottom chord on diagonal crack and shear strength were investigated by using two types of specimens, namely, equal-height beam and variable-height beam.
- (5)
- Propose a strain-based shear deformation calculation method for arbitrary quadrilateral lattices, achieving direct peeling measurement of bending deformation and shear deformation.
2.2. Specimen Parameters and Setup
2.3. Specimen Failure Modes
2.4. Observed Shear Stiffness Degradation
3. Proposed Shear Stiffness Degradation Model
3.1. Fully Diagonally Cracked Shear Stiffness
3.2. Ultimate Shear Stiffness Degradation Factor
3.3. Determination of Strut Angle θu
3.4. Comparison of θu with Other Methods
3.5. Proposed Degradation Rules
4. Test Verification and Discussion
4.1. Experiment Introduction
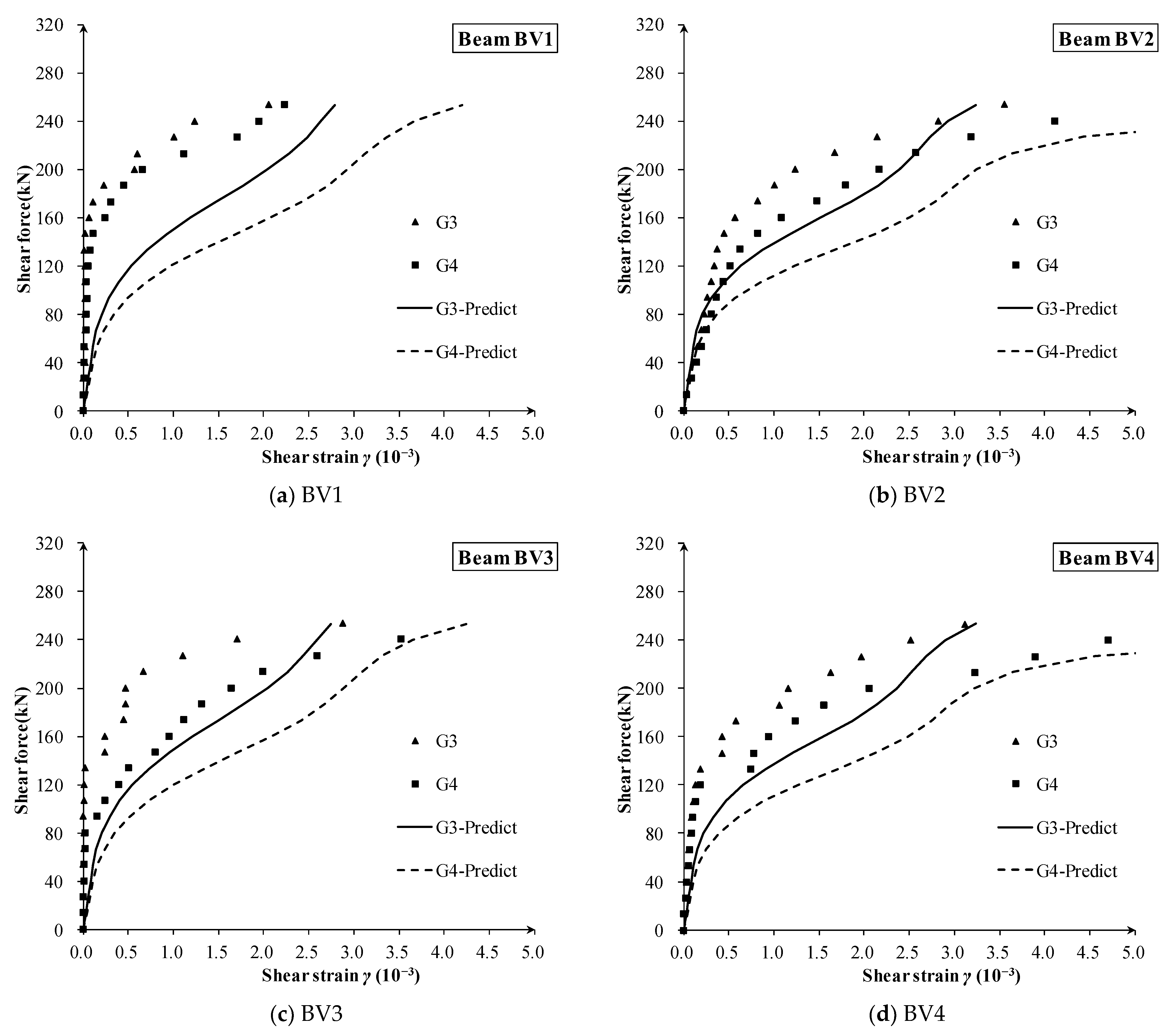
4.2. Comparing Results and Discussion
5. Conclusions
- The shear deformation test showed that the shear stiffness drops to about 30~40% of the original stiffness following the occurrence of the first main diagonal crack, and it further drops to only about 10% of the original stiffness when the stirrup yields.
- The strut angle θu was deduced by combining CFT and elastic beam theory. Compared with two other methods from the literature, the proposed angle tends to give a moderate prediction of strut angles and shear deformation with higher accuracy.
- Considering the tensioning stiffness effect, a simplified shear stiffness degradation rule was suggested for a diagonally cracked RC beam. A cubic form degradation equation consistent with the degradation form of flexural stiffness was established and validated.
- Data for a total of 16 zones of lattice shear deformation from 10 beams were measured or collected for verification. The results showed that a turning point occurs in the shear deformation curve corresponding to the first diagonal crack. And, rather than the pre-cracking stage, the shear span-to-depth ratio has little effect on the shear deformation of RC beams in the post-cracking stage.
- The results showed that the proposed method gives a good and consistent prediction of the effective shear stiffness and shear strain development. The proposed model could capture the development characteristics of shear deformation curves. However, for the BV series, the bottom flanges bear part of the shear force, which will cause a larger predicted shear strain.
- In general, the proposed simplified shear degradation model tends to give a conservative prediction of shear stiffness, and it is very practical for the early evaluation of diagonally cracked box-girder bridges in service.
Author Contributions
Funding
Institutional Review Board Statement
Informed Consent Statement
Data Availability Statement
Acknowledgments
Conflicts of Interest
References
- Park, R.; Paulay, P. Reinforcement Concrete Structures; John Wiley & Sons: Christchurch, New Zealand, 1975; pp. 315–319. [Google Scholar]
- ACI318-19; Building Code Requirements for Structural Concrete and Commentary. ACI: Farmington Hills, MI, USA, 2019.
- AASHTO. LRFD Bridge Design Specifications, 9th ed.; AASHTO: Washington, DC, USA, 2020. [Google Scholar]
- Li, H.; Wang, R.; Li, W.; Ye, J. Shear deformation analysis of large-span prestressed concrete box beams. J. Appl. Fundam. Eng. Sci. 2012, 20, 286–295. (In Chinese) [Google Scholar]
- Zhou, M.; Zhang, Y.; Lin, P.; Zhang, Z. A new practical method for the flexural analysis of thin-walled symmetric cross-section box girders considering shear effect. Thin-Walled Struct. 2021, 171, 108710. [Google Scholar] [CrossRef]
- Leonhardt, F.; Walther, R. The Stuttgart Shear Tests; Cement and Concrete Association: London, UK, 1964; Volume 111, pp. 1–134. [Google Scholar]
- Wang, G.; Xie, J.; Fu, Y. Investigation and research on cracks of long-span prestressed concrete box girder bridge in use. Highw. Transp. Technol. 2008, 25, 52–56. (In Chinese) [Google Scholar]
- Pan, Z.; Li, B.; Lu, Z. Effective shear stiffness of diagonally cracked reinforced concrete beams. Eng. Struct. 2014, 59, 95–103. [Google Scholar] [CrossRef]
- He, Z.Q.; Liu, Z.; John Ma, Z. Shear deformations of RC beams under service loads. J. Struct. Eng. 2017, 143, 04016153. [Google Scholar] [CrossRef]
- ACI 445-R99; Committee Recent Approaches to Shear Design of Structural Concrete. American Concrete Institute: Farmington Hills, MI, USA, 2009.
- Li, H.; Wang, L.; Wei, Y.; Wang, B.J.; Jin, H. Bending and shear performance of cross-laminated timber and glued-laminated timber beams: A comparative investigation. J. Build. Eng. 2021, 45, 103477. [Google Scholar] [CrossRef]
- Chen, S.; Wei, Y.; Ding, M.; Zhao, K.; Zheng, K. Combinatorial design and flexural behavior of laminated bamboo–timber composite beams. Thin-Walled Struct. 2022, 181, 109993. [Google Scholar] [CrossRef]
- Wang, Z.; Wei, Y.; Hu, Y.; Chen, S.; Zhao, K. An investigation of the flexural performance of bamboo-concrete composite beams with precast light concrete slabs and dowel connectors. J. Build. Eng. 2021, 41, 102759. [Google Scholar] [CrossRef]
- Ghahremannejad, M.; Abolmaali, A. Shear Capacity of Reinforced Concrete Box Culverts Compared with AASHTO Shear Equation. J. Bridg. Eng. 2019, 24, 04019032. [Google Scholar] [CrossRef]
- El-Helou, R.G.; Graybeal, B.A. Shear Design of Strain-Hardening Fiber-Reinforced Concrete Beams. J. Struct. Eng. 2023, 149, 04022234. [Google Scholar] [CrossRef]
- Gao, X.; Xiang, D.; Li, J.; Ren, X. Decomposition of the Shear Capacity of Steel Fiber–Reinforced Concrete Coupling Beams. J. Struct. Eng. 2021, 147, 04021176. [Google Scholar] [CrossRef]
- Lee, J.Y.; Watanabe, F. Shear Design of Reinforced Concrete Beams with Shear Reinforcement Considering Failure Modes. ACI Struct. J. 2000, 97, 477–484. [Google Scholar]
- Voo, Y.L.; Poon, W.K.; Foster, S.J. Shear Strength of Steel Fiber-Reinforced Ultrahigh—Performance Concrete Beams without Stirrups. J. Struct. Eng. 2010, 136, 1393–1400. [Google Scholar] [CrossRef]
- Gérin, M.; Adebar, P. Simple Rational Model for Reinforced Concrete Subjected to Seismic Shear. J. Struct. Eng. 2009, 135, 753–761. [Google Scholar] [CrossRef]
- Dönmez, A.A.; Carloni, C.; Cusatis, G.; Bažant, Z.P. Size Effect on Shear Strength of Reinforced Concrete: Is CSCT or MCFT a Viable Alternative to Energy-Based Design Code? J. Eng. Mech. 2020, 146, 04020110. [Google Scholar] [CrossRef]
- Desalegne, A.S.; Lubell, A.S. Consideration of Shear Deformations for Slender Concrete Beams. ACI Spec. Publ. 2012, 284, 1–18. [Google Scholar] [CrossRef]
- Rahal, K.N. Post-cracking shear modulus of reinforced concrete membrane elements. Eng. Struct. 2010, 32, 218–225. [Google Scholar] [CrossRef]
- Zhu, R.; Hsu, T.; Lee, J.Y. Rational Shear Modulus for Smeared-Crack Analysis of Reinforced Concrete. ACI Struct. J. 2001, 98, 443–450. [Google Scholar]
- Hansapinyo, C.; Pimanmas, A.; Maekawa, K.; Chaisomphob, T. Proposed model of shear deformation of reinforced concrete beam after diagonal cracking. J. Div. Mater. Concr. Struct. Pavements 2010, 725, 305–319. [Google Scholar] [CrossRef]
- Debernardi, P.G.; Taliano, M. Shear deformation in reinforced concrete beams with thin web. Mag. Concr. Res. 2006, 58, 157–171. [Google Scholar] [CrossRef]
- Zheng, K.Q.; Kuwornu, M.; Liu, Z. Shear Test of Variable Depth RC Beams with Inflection Point. MATEC Web Conf. 2019, 275, 02003. [Google Scholar] [CrossRef]
- Vecchio, F.J.; Collins, M.P. The modified compression field theory for reinforced concrete elements subjected to shear. ACI J. 1986, 83, 219–231. [Google Scholar]
- Wakjira, T.G.; Ebead, U.A. Simplified Compression Field Theory-Based Model for Shear Strength of Fabric-Reinforced Cementitious Matrix-Strengthened Reinforced Concrete Beams. ACI Struct. J. 2020, 117, 91–104. [Google Scholar]
- Agarwal, A.; Foster, S.J.; Stewart, M.G. Model error and reliability of reinforced concrete beams in shear designed according to the Modified Compression Field Theory. Struct. Concr. 2021, 22, 3711–3726. [Google Scholar] [CrossRef]
- Perera, S.V.T.J.; Mutsuyoshi, H. Shear Behavior of Reinforced High-Strength Concrete Beams. ACI Struct. J. 2013, 110, 43–52. [Google Scholar]
- Suchorzewski, J.; Korol, E.; Tejchman, J.; Mróz, Z. Experimental study of shear strength and failure mechanisms in RC beams scaled along height or length. Eng. Struct. 2018, 157, 203–223. [Google Scholar] [CrossRef]
- Golewski, G.L. The Phenomenon of Cracking in Cement Concretes and Reinforced Concrete Structures: The Mechanism of Cracks Formation, Causes of Their Initiation, Types and Places of Occurrence, and Methods of Detection—A Review. Buildings 2023, 13, 765. [Google Scholar] [CrossRef]
- Wang, T.; Dai, J.-G.; Zheng, J.-J. Multi-angle truss model for predicting the shear deformation of RC beams with low span-effective depth ratios. Eng. Struct. 2015, 91, 85–95. [Google Scholar] [CrossRef]
- Lee, J.D.; Mander, J.B. Unified Truss-Arch Model for the Analysis of Bending-Shear Interaction in Reinforced Concrete Members. J. Struct. Eng. 2022, 148, 04022074. [Google Scholar] [CrossRef]
- Pang, X.B.; Hsu, T.T.C. Fixed-Angle Softened-Truss Model for Reinforced Concrete. ACI Struct. J. 1996, 93, 197–207. [Google Scholar]
- Kim, J.H.; Mander, J.B. Influence of transverse reinforcement on elastic shear stiffness of cracked concrete elements. Eng. Struct. 2007, 29, 1798–1807. [Google Scholar] [CrossRef]
- Branson, D.E. Deformation of Concrete Structures; McGraw-Hill Companies: Toronto, ON, Canada, 1977; pp. 545–546. [Google Scholar]
- Duan, M.; Zou, X.; Bao, Y.; Li, G.; Chen, Y.; Li, Z. Experimental investigation of headed studs in steel-ultra-high performance concrete (UHPC) composite sections. Eng. Struct. 2022, 270, 114875. [Google Scholar] [CrossRef]
- Golewski, G.L. Evaluation of fracture processes under shear with the use of DIC technique in fly ash concrete and accurate measurement of crack path lengths with the use of a new crack tip tracking method. Measurement 2021, 181, 109632. [Google Scholar] [CrossRef]
- Chen, Y.; Li, H.; Xu, W.; Yuan, C.; Xue, X.; Corbi, O. Experimental study on Mode Ⅰ fracture characteristics of laminated flattened-bamboo lumber com-bined with VIC-3D system. Eng. Fract. Mech. 2023, 282, 109195. [Google Scholar] [CrossRef]
- Zhang, F.; Wang, C.; Liu, J.; Zou, X.; Sneed, L.H.; Bao, Y.; Wang, L. Prediction of FRP-concrete interfacial bond strength based on machine learning. Eng. Struct. 2023, 274, 115156. [Google Scholar] [CrossRef]













| Resources | Specimen NO. | f’c (MPa) | Ec (GPa) | dv (mm) | bw (mm) | fyv (MPa) | ρv (%) | ρs (%) | M/(Vd) | θu (Degree) | λu |
|---|---|---|---|---|---|---|---|---|---|---|---|
| Author | BC1-G3 | 39.0 | 29.4 | 684 | 100 | 327 | 0.5 | 4.8 | 0.4 | 26.3 | 0.182 |
| BC1-G4 | 39.0 | 29.4 | 684 | 100 | 327 | 0.5 | 4.8 | 0.4 | 26.3 | 0.182 | |
| BC2-G3 | 36.0 | 28.2 | 684 | 100 | 327 | 0.4 | 4.8 | 0.4 | 25.2 | 0.169 | |
| BC2-G4 | 36.0 | 28.2 | 684 | 100 | 327 | 0.4 | 4.8 | 0.4 | 25.2 | 0.169 | |
| BV1-G3 | 39.0 | 29.4 | 543.6 | 100 | 327 | 0.5 | 6.0 | 1.2 | 25.8 | 0.184 | |
| BV1-G4 | 39.0 | 29.4 | 450.9 | 100 | 327 | 0.5 | 7.23 | 0.4 | 25.4 | 0.185 | |
| BV2-G3 | 39.0 | 29.4 | 543.6 | 100 | 327 | 0.4 | 6.0 | 1.2 | 24.6 | 0.168 | |
| BV2-G4 | 39.0 | 29.4 | 450.9 | 100 | 327 | 0.4 | 7.2 | 0.4 | 24.3 | 0.169 | |
| BV3-G3 | 36.0 | 28.2 | 543.6 | 100 | 327 | 0.5 | 6.0 | 1.2 | 25.9 | 0.187 | |
| BV3-G4 | 36.0 | 28.2 | 450.9 | 100 | 327 | 0.5 | 7.2 | 0.4 | 25.6 | 0.188 | |
| BV4-G3 | 36.0 | 28.2 | 543.6 | 100 | 327 | 0.4 | 6.0 | 1.2 | 24.7 | 0.171 | |
| BV4-G4 | 36.0 | 28.2 | 450.9 | 100 | 327 | 0.4 | 7.2 | 0.4 | 24.4 | 0.172 | |
| Hansapinyo et al. [24] | S1 | 33.0 | 27.0 | 320 | 150 | 370 | 0.47 | 4.26 | 2.6 | 26.4 | 0.179 |
| S2 | 33.0 | 27.0 | 320 | 150 | 370 | 0.47 | 4.26 | 3.5 | 26.4 | 0.179 | |
| S3 | 33.0 | 27.0 | 320 | 150 | 370 | 0.47 | 2.13 | 2.6 | 28.5 | 0.170 | |
| S4 | 33.0 | 27.0 | 320 | 150 | 370 | 0.31 | 2.13 | 2.6 | 26.1 | 0.142 |
Disclaimer/Publisher’s Note: The statements, opinions and data contained in all publications are solely those of the individual author(s) and contributor(s) and not of MDPI and/or the editor(s). MDPI and/or the editor(s) disclaim responsibility for any injury to people or property resulting from any ideas, methods, instructions or products referred to in the content. |
© 2023 by the authors. Licensee MDPI, Basel, Switzerland. This article is an open access article distributed under the terms and conditions of the Creative Commons Attribution (CC BY) license (https://creativecommons.org/licenses/by/4.0/).
Share and Cite
Zheng, K.; Zhou, S.; Zhang, Y.; Wei, Y.; Wang, J.; Wang, Y.; Qin, X. Simplified Evaluation of Shear Stiffness Degradation of Diagonally Cracked Reinforced Concrete Beams. Materials 2023, 16, 4752. https://doi.org/10.3390/ma16134752
Zheng K, Zhou S, Zhang Y, Wei Y, Wang J, Wang Y, Qin X. Simplified Evaluation of Shear Stiffness Degradation of Diagonally Cracked Reinforced Concrete Beams. Materials. 2023; 16(13):4752. https://doi.org/10.3390/ma16134752
Chicago/Turabian StyleZheng, Kaiqi, Siyuan Zhou, Yaohui Zhang, Yang Wei, Jiaqing Wang, Yuxi Wang, and Xiaochuan Qin. 2023. "Simplified Evaluation of Shear Stiffness Degradation of Diagonally Cracked Reinforced Concrete Beams" Materials 16, no. 13: 4752. https://doi.org/10.3390/ma16134752
APA StyleZheng, K., Zhou, S., Zhang, Y., Wei, Y., Wang, J., Wang, Y., & Qin, X. (2023). Simplified Evaluation of Shear Stiffness Degradation of Diagonally Cracked Reinforced Concrete Beams. Materials, 16(13), 4752. https://doi.org/10.3390/ma16134752

