Superconducting State Properties of CuBa2Ca3Cu4O10+δ
Abstract
1. Introduction
2. Materials and Methods
3. Results and Discussion
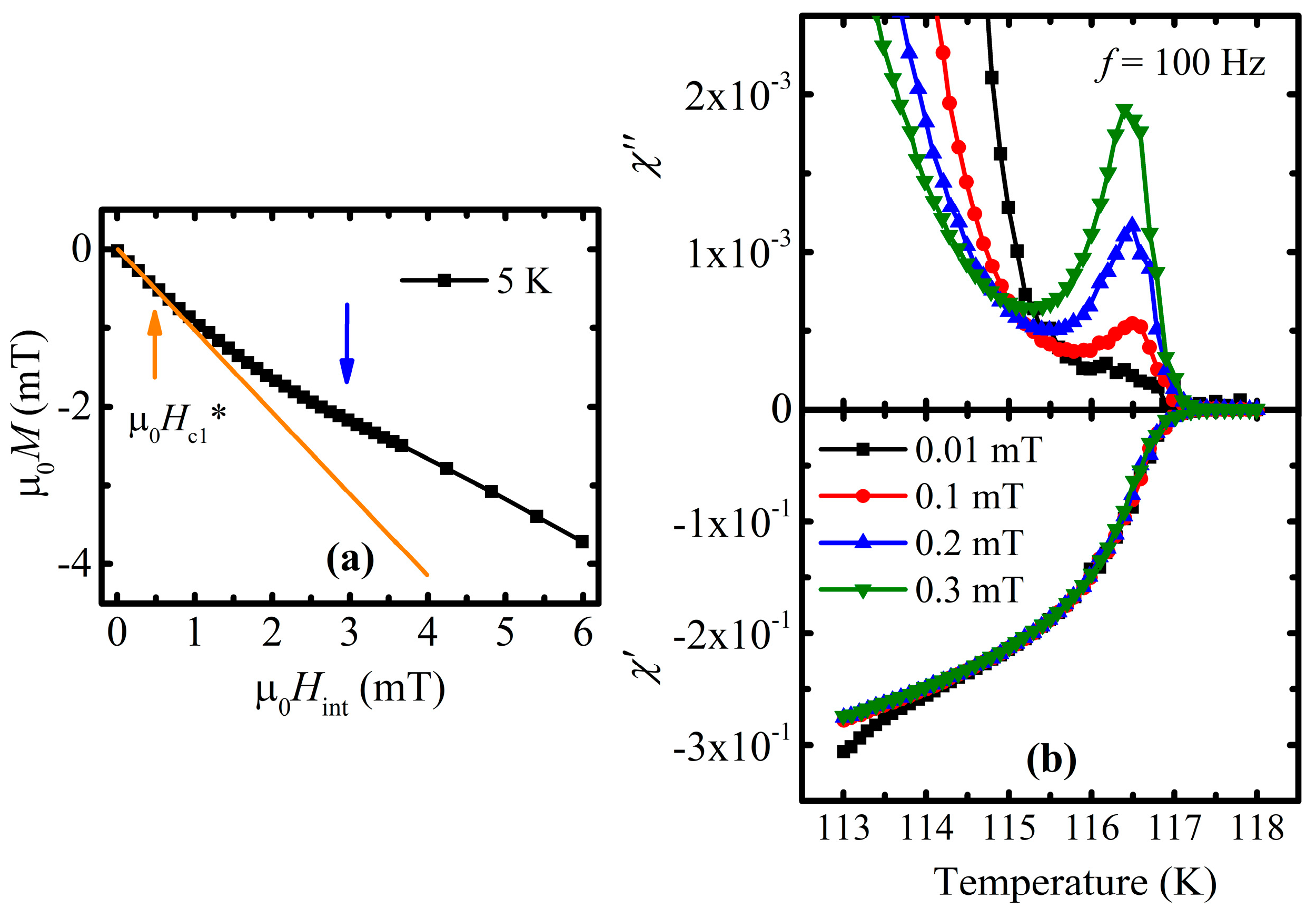
3.1. Ac Susceptibility and Transition to Superconducting State
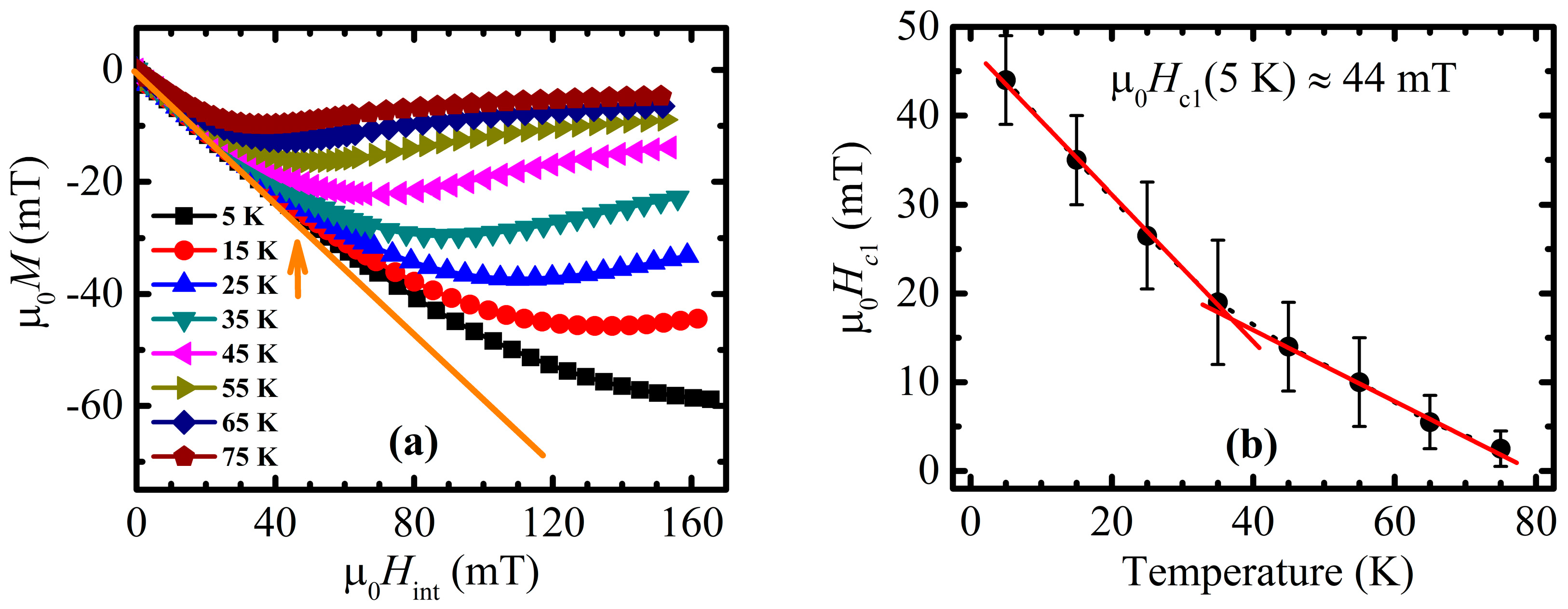
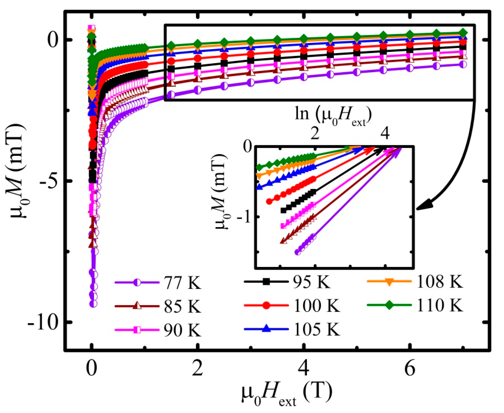
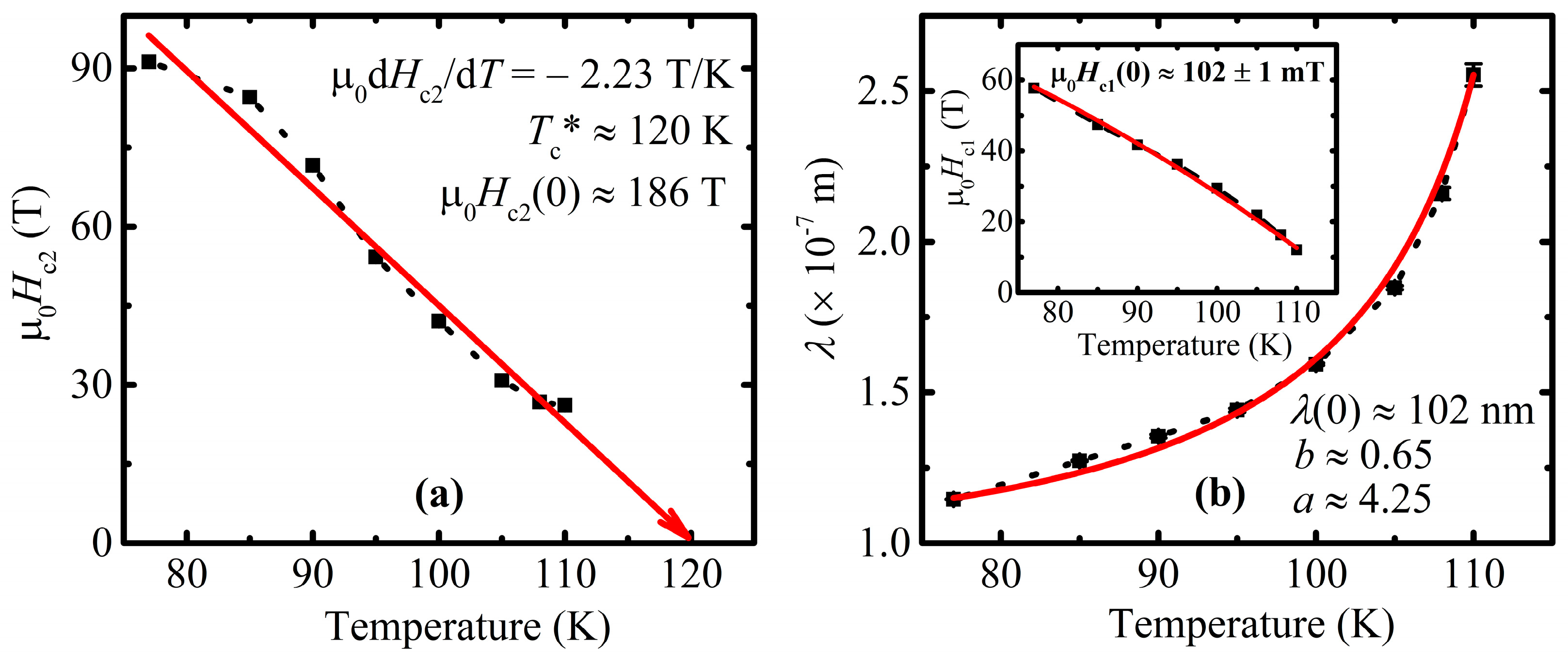
3.2. Superconducting State Parameters—Upper and Lower Critical Fields
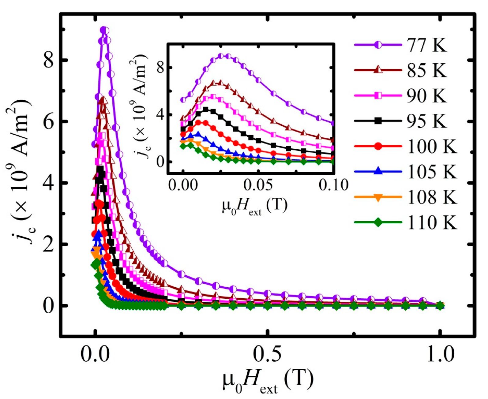
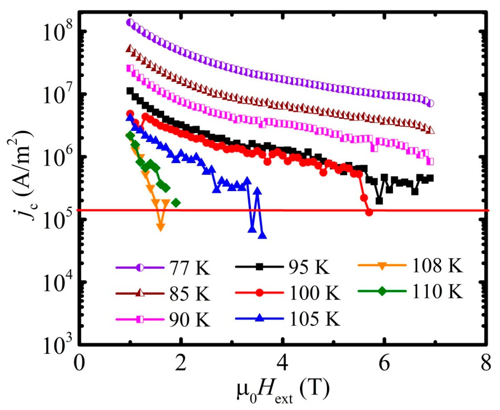
3.3. Irreversibility Line and Intragrain Critical Current Density
3.4. Limitations of Material Application—Intergrain Critical Current Density
4. Conclusions
Author Contributions
Funding
Institutional Review Board Statement
Informed Consent Statement
Data Availability Statement
Conflicts of Interest
References
- Bednorz, J.G.; Müller, K.A. Possible High Tc superconductivity in the Ba-La-Cu-O system. Z. Phys. B Condens. Matter 1986, 64, 189–193. [Google Scholar] [CrossRef]
- Wu, M.K.; Ashburn, J.R.; Torng, C.J.; Hor, P.H.; Meng, R.L.; Gao, L.; Huang, Z.J.; Wang, Y.Q.; Chu, C.W. Superconductivity at 93 K in a new mixed-phase Y-Ba-Cu-O compound system at ambient pressure. Phys. Rev. Lett. 1987, 58, 908. [Google Scholar] [CrossRef]
- Hazen, R.M.; Prewitt, C.T.; Angel, R.J.; Ross, N.L.; Finger, L.W.; Hadidiacos, C.G.; Veblen, D.R.; Heaney, P.J.; Hor, P.H.; Meng, R.L.; et al. Superconductivity in the high-Tc Bi-Ca-Sr-Cu-O system: Phase identification. Phys. Rev. Lett. 1988, 60, 1174. [Google Scholar] [CrossRef]
- Tarascon, J.M.; McKinnon, W.R.; Barboux, P.; Hwang, D.M.; Bagley, B.G.; Greene, L.H.; Hull, G.W.; LePage, Y.; Stoffel, N.; Giroud, M. Preparation, structure, and properties of the superconducting compound series Bi2Sr2Can-1CunOy with n = 1, 2, and 3. Phys. Rew. B 1988, 38, 8885–8892. [Google Scholar] [CrossRef]
- Putilin, S.N.; Antipov, E.V.; Chmaissem, O.; Marezio, M. Superconductivity at 94 K in HgBa2CuO4+δ. Nature 1993, 362, 226–228. [Google Scholar] [CrossRef]
- Schilling, A.; Cantoni, M.; Guo, J.D.; Ott, H.R. Superconductivity above 130 K in the Hg-Ba-Ca-Cu-O system. Nature 1993, 363, 56–58. [Google Scholar] [CrossRef]
- Hazen, R.M.; Finger, L.W.; Angel, R.J.; Prewitt, C.T.; Ross, N.L.; Hadidiacos, C.G.; Heaney, P.J.; Veblen, D.R.; Sheng, Z.Z.; El Ali, A.; et al. 100-K superconducting phases in the Tl-Ca-Ba-Cu-O system. Phys. Rev. Lett. 1988, 60, 1657–1660. [Google Scholar] [CrossRef]
- Sheng, Z.Z.; Hermann, A.M. Bulk superconductivity at 120 K in the Tl-Ca/Ba-Cu-O system. Nature 1988, 332, 138–139. [Google Scholar] [CrossRef]
- Scanlan, R.M.; Malozemoff, A.P.; Larbalestier, D.C. Superconducting materials for large scale applications. Proc. IEEE 2004, 92, 1639–1654. [Google Scholar] [CrossRef]
- Laborde, O.; Monceau, P.; Potel, M.; Gougeon, P.; Padiou, J.; Levet, J.C.; Noel, H. Anisotropy of the superconducting properties of Bi2Sr2CaCu2O8. Solid State Commun. 1988, 67, 609–611. [Google Scholar] [CrossRef]
- Larbalestier, D.; Gurevich, A.; Feldmann, D.M.; Polyanskii, A. High-Tc superconducting materials for electric power applications. Nature 2001, 414, 368–377. [Google Scholar] [CrossRef]
- Shivagan, D.D.; Shirage, P.M.; Ekal, L.A.; Pawar, S.H. Synthesis of single-phase HgBa2Ca2Cu3O8+δ high-Tc superconducting films using the multistep electrolytic process. Supercond. Sci. Technol. 2003, 17, 194. [Google Scholar] [CrossRef]
- Qin, M.J.; Dou, S.X. Superconductors, High Tc. Encycl. Condens. Matter Phys. 2005, 112–120. [Google Scholar] [CrossRef]
- Bordovskii, G.A.; Marchenko, A.V.; Nasredinov, F.S.; Seregin, P.P. Charge states of atoms in ceramic superconductors HgBa2Can-1CunO2n+2, Tl2Ba2Can-1CunO2n+4 and Bi2Sr2Can-1CunO2n+4 (n = 1 − 3). Glas. Phys. Chem. 2010, 36, 411–418. [Google Scholar] [CrossRef]
- Khurram, A.A.; Khan, N.A. A Search for a low anisotropic superconductor. J. Electromagn. Anal. Appl. 2010, 2, 63–74. [Google Scholar] [CrossRef]
- Jin, C.Q.; Qin, X.M.; Shimizu, K.; Nishiyama, M.; Namiki, T.; Yu, Y. The enhanced superconductivity of Cu-1234 under high pressure. Int. J. Mod. Phys. B 2005, 19, 335–337. [Google Scholar] [CrossRef]
- Zhang, X.F.; Zhao, J.F.; Zhao, H.J.; Shi, L.C.; Deng, S.H.; Chen, J.; He, L.H.; Hu, Z.W.; Jin, C.Q.; Zhu, J. Atomic origin of the coexistence of high critical current density and high Tc in CuBa2Ca3Cu4O10+δ superconductors. NPG Asia Mater. 2022, 14, 50. [Google Scholar] [CrossRef]
- Larbalestier, D. Critical currents and magnet applications of high-Tc superconductors. Phys. Today 1991, 44, 74–82. [Google Scholar] [CrossRef]
- Graser, S.; Hirschfeld, P.J.; Kopp, T.; Gutser, R.; Andersen, B.M.; Mannhart, J. How grain boundaries limit supercurrents in high-temperature superconductors. Nat. Phys. 2010, 6, 609–614. [Google Scholar] [CrossRef]
- Jin, C.Q.; Adachi, S.; Wu, X.J.; Yamauchi, H.; Tanaka, S. 117 K superconductivity in the BaCaCuO system. Physica C 1994, 223, 238–242. [Google Scholar] [CrossRef]
- Zhao, J.F.; Li, W.M.; Jin, C.Q. Composition simple and environmental friendly high temperature cuprate superconductors: Cu12(n−1)n. Sin. Phys. Mech. Astron. 2018, 48, 087405. [Google Scholar] [CrossRef]
- Wu, X.J.; Adachi, S.; Jin, C.Q.; Yamauchi, H.; Tanaka, S. Novel homologous series of superconducting copper oxides, Cu-12(n-1)n. Physica C 1994, 223, 243–248. [Google Scholar] [CrossRef]
- Antipov, E.V.; Loureiro, S.M.; Chaillout, C.; Capponi, J.J.; Bordet, P.; Tholence, J.L.; Putilin, S.N.; Marezio, M. The synthesis and characterization of the HgBa2Ca2Cu3O8+δ and HgBa2Ca3Cu4O10+δ phases. Physica C 1993, 215, 1–10. [Google Scholar] [CrossRef]
- Ihara, H.; Sugise, R.; Hayashi, K.; Terada, N.; Jo, M.; Hirabayashi, M.; Negishi, A.; Atoda, N.; Oyanagi, H.; Shimomura, T.; et al. Crystal structure of a new high-Tc TlBa2Ca3Cu4O11 superconductor by high-resolution electron microscopy. Phys. Rev. B 1988, 38, 11952–11954. [Google Scholar] [CrossRef]
- Chen, C.T.; Tjeng, L.H.; Kwo, J.; Kao, H.L.; Rudolf, P.; Sette, F.; Fleming, R.M. Out-of-plane orbital characters of intrinsic and doped holes in La2−xSrxCuO4. Phys. Rev. Lett. 1992, 68, 2543–2546. [Google Scholar] [CrossRef]
- Tjeng, L.H.; Chen, C.T.; Cheong, S.W. Comparative soft-X-ray resonant photoemission study on Bi2Sr2CaCu2O8, CuO, and Cu2O. Phys. Rev. B 1992, 45, 8205–8208. [Google Scholar] [CrossRef]
- Saini, N.L.; Venkatesh, S.; Srivastava, P.; Sekhar, B.R.; Garg, K.B.; Tjeng, L.H.; Chen, C.T.; Menovsky, A.; Franse, J.J.M. Polarized X-ray absorption spectroscopy study of the symmetry of unoccupied electronic states near the Fermi level in the Bi2Sr2CaCu2O8 system. J. Phys. Condens. Matter 1996, 8, 2467–2477. [Google Scholar] [CrossRef][Green Version]
- Nücker, N.; Pellegrin, E.; Schweiss, P.; Fink, J.; Molodtsov, S.L.; Simmons, C.T.; Kaindl, G.; Frentrup, W.; Erb, A.; Müller-Vogt, G. Site-specific and doping-dependent electronic structure of YBa2Cu3Ox probed by O 1s and Cu 2p X-ray-absorption spectroscopy. Phys. Rev. B 1995, 51, 8529–8542. [Google Scholar] [CrossRef]
- Li, W.M.; Zhao, J.F.; Cao, L.P.; Hu, Z.; Huang, Q.Z.; Wang, X.C.; Liu, Y.; Zhao, G.Q.; Zhang, J.; Liu, Q.Q.; et al. Superconductivity in a unique type of copper oxide. Proc. Natl. Acad. Sci. USA 2019, 116, 12156–12160. [Google Scholar] [CrossRef]
- Li, W.M.; Cao, L.P.; Zhao, J.F.; Wang, X.C.; Yu, R.Z.; Long, Y.W.; Liu, Q.Q.; Jin, C.Q. Superconductivity of a cuprate with compressed local octahedron. Sci. China Phys. Mech. Astron. 2019, 62, 037421. [Google Scholar] [CrossRef]
- Li, W.M.; Zhao, J.F.; Cao, L.P.; Hu, Z.; Huang, Q.Z.; Wang, X.C.; Yu, R.Z.; Long, Y.W.; Wu, H.; Lin, H.J.; et al. The Unconventional copper oxide superconductor with conventional constitution. J. Supercond. Nov. Magn. 2020, 33, 81–85. [Google Scholar] [CrossRef]
- Tanaka, Y.; Iyo, A.; Kato, H.; Tokiwa, K.; Watanabe, T.; Ihara, H. The role of multiple gaps on the Raman spectrum of (CuxC1−x)Ba2Can−1CunOy. Phys. C Supercond. 2002, 378–381, 283–286. [Google Scholar] [CrossRef]
- Bhaumik, A.; Sachan, R.; Narayan, J. Magnetic relaxation and three-dimensional critical fluctuations in B-doped Q-carbon-a high-temperature superconductor. Nanoscale 2018, 10, 12665–12673. [Google Scholar] [CrossRef]
- Li, Y.; Garcia, J.; Franco, G.; Lu, J.Q.; Lu, K.; Rong, B.; Shafiq, B.; Chen, N.; Liu, Y.; Liu, L.; et al. Critical magnetic fields of superconducting aluminum-substituted Ba8Si42Al4 clathrate. J. Appl. Phys. 2015, 117, 3–8. [Google Scholar] [CrossRef]
- Wang, Z.C.; He, C.Y.; Wu, S.Q.; Tang, Z.T.; Liu, Y.; Ablimit, A.; Feng, C.M.; Cao, G.H. Superconductivity in KCa2Fe4As4F2 with separate double Fe2As2 layers. J. Am. Chem. Soc. 2016, 138, 7856–7859. [Google Scholar] [CrossRef]
- Liu, Y.; Shen, X.; Liu, Q.Q.; Li, X.; Feng, S.M.; Yu, R.C.; Uchida, S.; Jin, C.Q. A new modulated structure in Sr2CuO3+δ superconductor synthesized under high pressure. Physica C 2014, 497, 34–37. [Google Scholar] [CrossRef]
- Ihara, H.; Tokiwa, K.; Iyo, A.; Hirabayashi, M.; Terada, N.; Tokumoto, M.; Song, Y.S. New high-Tc superconductor families of Ag1−xCuxBa2Can−1CunO2n+3−y and CuBa2Can−1CunO2n+4−y with Tc > 116 K. Physica C 1994, 235–240, 981–982. [Google Scholar] [CrossRef]
- Krasovitsky, V.B.; Belevtsev, B.I.; Beliayev, E.Y.; Naugle, D.G.; Rathnayaka, K.D.D.; Felner, I. Structural inhomogeneity effects in resistive superconducting transitions of the magnetic superconductor RuSr2(Gd1.5Ce0.5)Cu2O10−δ. J. Phys. Conf. Ser. 2006, 51, 283. [Google Scholar] [CrossRef]
- Rani, P.; Jha, R.; Awana, V.P.S. AC susceptibility study of superconducting YBa2Cu3O7:Agx bulk composites (x = 0.0–0.20): The role of intra and intergranular coupling. J. Supercond. Nov. Magn. 2013, 26, 2347–2352. [Google Scholar] [CrossRef]
- Rani, P.; Hafiz, A.K.; Awana, V.P.S. Temperature dependence of lower critical field of YBCO superconductor. AIP Conf. Proc. 2018, 1953, 120026. [Google Scholar] [CrossRef]
- Clem, J.R. Granular and superconducting-glass properties of the high-temperature superconductors. Physica C 1988, 153–155, 50–55. [Google Scholar] [CrossRef]
- Dimos, D.; Chaudhari, P.; Mannhart, J. Superconducting transport properties of grain boundaries in YBa2Cu3O7 bicrystals. Phys. Rev. B 1990, 41, 4038. [Google Scholar] [CrossRef]
- Mayer, B.; Alff, L.; Träuble, T.; Gross, R.; Wagner, P.; Adrian, H. Superconducting transport properties of Bi2Sr2CaCu2O8+x bicrystal grain boundary junctions. Appl. Phys. Lett. 1998, 63, 996. [Google Scholar] [CrossRef]
- Wang, G.; Raine, M.J.; Hampshire, D.P.; McNealy, B.E.; Hertz, J.L.; Hampshire, D.P. The cause of ‘weak-link’ grain boundary behaviour in polycrystalline Bi2Sr2CaCu2O8 and Bi2Sr2Ca2Cu3O10 superconductors. Supercond. Sci. Technol. 2018, 31, 024001. [Google Scholar] [CrossRef]
- Namuco, S.B.; Lao, M.L.; Sarmago, R.V. Granular responses of GdBa2Cu3O7-δ using ac magnetic susceptibility measurement under ac and dc magnetic fields. Phys. Procedia 2013, 45, 169–172. [Google Scholar] [CrossRef]
- Malik, A.I.; Çelebi, S.; Halim, S.A. AC susceptibility study in Bi1.6Pb0.4Sr2(Ca1−xNdx)2Cu3Oδ ceramic superconductors. Physica C 2002, 377, 421–430. [Google Scholar] [CrossRef]
- Jin, C.-Q.; Adachi, S.; Wu, X.-J.; Yamauchi, H. A new homologous series of compounds: Cu-12(n−1)n:P. Adv. Supercond. VII 1995, VII, 249–254. [Google Scholar] [CrossRef]
- Rao, G.N.; Molinie, P.; Ganne, M.; Babu, D.S. Magnetic relaxation, lower critical field and irreversibility line of W doped (Bi, Pb)-2223 superconductor. Mod. Phys. Lett. B 2011, 9, 1387–1396. [Google Scholar] [CrossRef]
- Goyal, R.; Srivastava, A.K.; Mishra, M.; Gupta, G.; Jha, R.; Awana, V.P.S. X-ray Photoelectron Spectroscopy, Magnetotransport and Magnetisation Study of Nb2PdS5 Superconductor. J. Supercond. Nov. Magn. 2018, 31, 943–949. [Google Scholar] [CrossRef]
- Galluzzi, A.; Leo, A.; Masi, A.; Varsano, F.; Nigro, A.; Grimaldi, G.; Polichetti, M. Magnetic vortex phase diagram for a non-optimized CaKFe4As4 superconductor presenting a wide vortex liquid region and an ultra-high upper critical field. Appl. Sci. 2023, 13, 884. [Google Scholar] [CrossRef]
- Kogan, V.G.; Fang, M.M.; Mitra, S. Reversible magnetization of high-Tc materials in intermediate fields. Phys. Rev. B 1988, 38, 11958(R). [Google Scholar] [CrossRef]
- Kogan, V.G.; Ledvij, M.; Simonov, A.Y.; Chao, J.H.; Johnston, D.C. Role of vortex fluctuations in determining superconducting parameters from magnetization data for layered superconductors. Phys. Rev. Lett. 1993, 70, 1870. [Google Scholar] [CrossRef]
- Sultana, R.; Rani, P.; Hafiz, A.K.; Goyal, R.; Awana, V.P.S. An intercomparison of the upper critical fields (Hc2) of different superconductors—YBa2Cu3O7, MgB2, NdFeAsO0.8F0.2, FeSe0.5Te0.5 and Nb2PdS5. J. Supercond. Nov. Magn. 2016, 29, 1399–1404. [Google Scholar] [CrossRef]
- Salvato, M.; Attanasio, C.; Carbone, G.; Fittipaldi, R.; Di Luccio, T.; Mercaldo, L.V.; Montella, A.; Prischepa, S.L.; Maritato, L. Upper critical field and irreversibility line in Bi2Sr2CuO6+δ/CaCuO2 superconducting superlattices obtained by MBE. Int. J. Mod. Phys. B 2012, 14, 2767–2772. [Google Scholar] [CrossRef]
- Werthamer, N.R.; Helfand, E.; Hohenberg, P.C. Temperature and purity dependence of the superconducting critical field, Hc2. III. Electron spin and spin-orbit effects. Phys. Rev. 1966, 147, 295–302. [Google Scholar] [CrossRef]
- Tinkham, M. Introduction to Superconductivity; Krieger Publishing Company: Malabar, FL, USA, 1975. [Google Scholar]
- Bean, C.P. Magnetization of High-Field Superconductors. Rev. Mod. Phys. 1964, 36, 31. [Google Scholar] [CrossRef]
- Sharma, G. Superconductivity: Basics and Applications to Magnets; Springer: Berlin/Heidelberg, Germany, 2021. [Google Scholar] [CrossRef]
- Krusin-Elbaum, L.; Malozemoff, A.P.; Yeshurun, Y.; Cronemeyer, D.C.; Holtzberg, F. Low-field Meissner fraction of YBaCuO in a flux pinning model. Physica C 1988, 153–155, 1469–1470. [Google Scholar] [CrossRef]
- Chen, D.-X.; Mei, Y.; Luo, H.L. Critical current density in sintered high-Tc (Bi,Pb)-Sr-Ca-Cu-Oxide. Physica C 1990, 167, 317–323. [Google Scholar] [CrossRef]
- Lynnyk, A. The Investigations of Superconducting State Properties of Selected Cuprates and Iron Chalcogenides, Including Those Intercalated with Organic Compounds. Ph.D. Thesis, Institute of Physics of the Polish Academy of Sciences, Warsaw, Poland, 2023. In Preparation. [Google Scholar]









| Material | Tconset (K) | λ(0) (nm) | µ0Hc1(0) (mT) | µ0dHc2/dT (T/K) | µ0Hc2(0) (T) | ξ(0) (nm) | µ0Hc2(77K) (T) |
|---|---|---|---|---|---|---|---|
| Cu-1234 | 117.5 | 102 | 102 | –2.23 | 186 | 1.33 | 91 |
| Y-123 | 92.2 | 89 | 90 | −1.9 | 122 | 1.64 | 25 |
| Hp (A/m) | Tm (K) | (A/m2) |
|---|---|---|
| 8 | 110.5 | 4000 |
| 80 | 103 | 40,000 |
| 160 | 98 | 80,000 |
| 240 | 94 | 120,000 |
Disclaimer/Publisher’s Note: The statements, opinions and data contained in all publications are solely those of the individual author(s) and contributor(s) and not of MDPI and/or the editor(s). MDPI and/or the editor(s) disclaim responsibility for any injury to people or property resulting from any ideas, methods, instructions or products referred to in the content. |
© 2023 by the authors. Licensee MDPI, Basel, Switzerland. This article is an open access article distributed under the terms and conditions of the Creative Commons Attribution (CC BY) license (https://creativecommons.org/licenses/by/4.0/).
Share and Cite
Lynnyk, A.; Puzniak, R.; Shi, L.; Zhao, J.; Jin, C. Superconducting State Properties of CuBa2Ca3Cu4O10+δ. Materials 2023, 16, 5111. https://doi.org/10.3390/ma16145111
Lynnyk A, Puzniak R, Shi L, Zhao J, Jin C. Superconducting State Properties of CuBa2Ca3Cu4O10+δ. Materials. 2023; 16(14):5111. https://doi.org/10.3390/ma16145111
Chicago/Turabian StyleLynnyk, Artem, Roman Puzniak, Luchuan Shi, Jianfa Zhao, and Changqing Jin. 2023. "Superconducting State Properties of CuBa2Ca3Cu4O10+δ" Materials 16, no. 14: 5111. https://doi.org/10.3390/ma16145111
APA StyleLynnyk, A., Puzniak, R., Shi, L., Zhao, J., & Jin, C. (2023). Superconducting State Properties of CuBa2Ca3Cu4O10+δ. Materials, 16(14), 5111. https://doi.org/10.3390/ma16145111

