You are currently on the new version of our website. Access the old version .
MaterialsMaterials
  • Article
  • Open Access

25 July 2023

Influence of the Addition of Recycled Aggregates and Polymer Fibers on the Properties of Pervious Concrete

,
,
,
and
1
Faculty of Civil and Environmental Engineering, Gdańsk University of Technology, Narutowicza 11/12, 80-233 Gdańsk, Poland
2
Keller Polska sp. z o.o., Poznańska 172, 05-850 Ożarów Mazowiecki, Poland
3
Faculty of Engineering, Department of Civil Engineering, University of Tripoli, Tripoli 13932, Libya
4
Libyan Authority for Scientific Research, Tripoli P.O. Box 80045, Libya
This article belongs to the Section Construction and Building Materials

Abstract

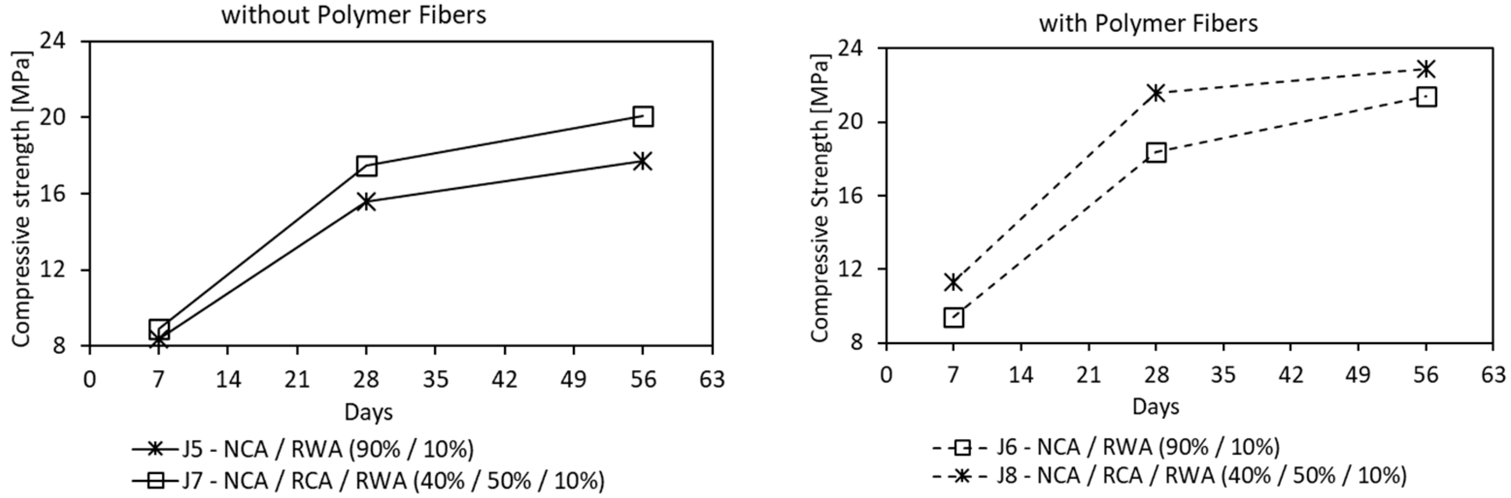
The aim of the study was to check the possibility of reusing aggregate from recycled concrete waste and rubber granules from car tires as partial substitution of natural aggregate. The main objective was to investigate the effects of recycled waste aggregate modified with polymer fibers on the compressive and flexural strength, modulus of elasticity and permeability of pervious concrete. Fibers with a multifilament structure and length of 54 mm were deliberately used to strengthen the joints among grains (max size 31.5 mm). Eight batches of designed mixes were used in the production of pervious concrete at fixed water/binder ratio of 0.34 with cement content of 350 kg/m3. Results showed that the use of recycled concrete aggregate (8/31.5 mm) with replacement ratio of 50% (by weight of aggregate) improved the mechanical properties of pervious concrete in all analyzed cases. Whereas the replacement of 10% rubber waste aggregate (2/5 mm) by volume of aggregate reduced the compressive strength by a maximum of 11.4%. Addition of 2 kg/m3 of polymer fibers proved the strengthening effect of concrete structure, enhancing the compressive and tensile strengths by a maximum of 23.4% and 25.0%, respectively. The obtained test results demonstrate the possibility of using the recycled waste aggregates in decarbonization process of pervious concrete production, but further laboratory and field performance tests are needed.

Article Metrics

Citations

Article Access Statistics

Multiple requests from the same IP address are counted as one view.