Tungsten–SiO2–Based Planar Field Emission Microtriodes with Different Electrode Topologies
Abstract
1. Introduction
2. Materials and Methods
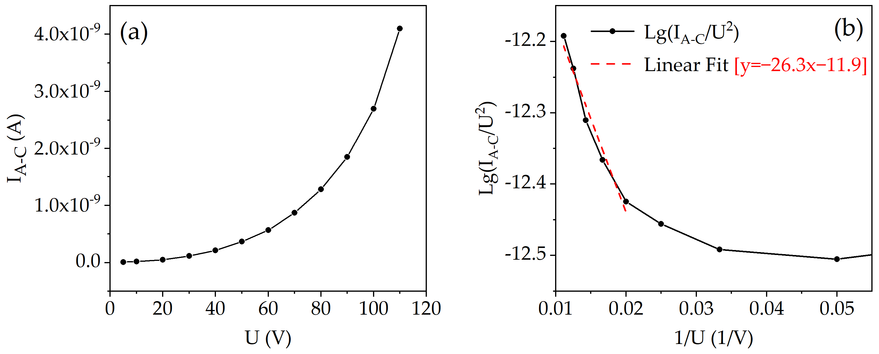
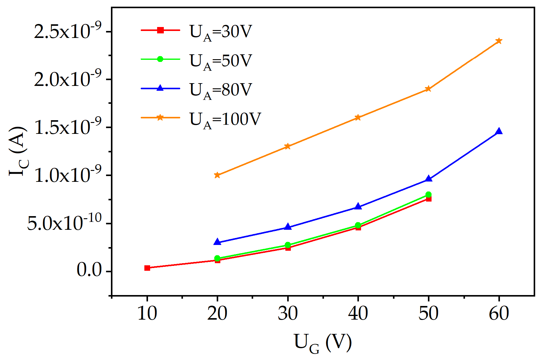
3. Results
- e—the charge of an electron,
- ϕ—the work function of the cathode material,
- m—the mass of an electron,
- h—Planck’s constant.
- I—the field electron emission current in A,
- U—the applied voltage in V,
- E—the electric field strength in V/Å,
- ϕ—the work function in eV,
- β—the field enhancement factor in 1/Å,
- S—the emitting surface area in cm2.
4. Conclusions
Supplementary Materials
Author Contributions
Funding
Institutional Review Board Statement
Informed Consent Statement
Data Availability Statement
Conflicts of Interest
References
- Armstrong, C.M. The vitality of vacuum electronics. In Proceedings of the 2013 IEEE 14th International Vacuum Electronics Conference (IVEC), Paris, France, 21–23 May 2013. [Google Scholar]
- She, J.; Huang, Z.; Huang, Y.; Huang, Z.; Chen, J.; Deng, S.; Xu, N. Introduction to the micro/nano-fabrication of modern vacuum electronic devices. In Proceedings of the 2017 30th International Vacuum Nanoelectronics Conference (IVNC), Regensburg, Germany, 10–14 July 2017. [Google Scholar]
- Levush, B.; Abe, D.; Calame, J.; Danly, B.; Nguyen, K.; Dutkowski, E.J.; Abrams, R.; Parker, R. Vacuum Electronics: Status and Trends. IEEE Aerosp. Electron. Syst. Mag. 2007, 22, 28–34. [Google Scholar] [CrossRef]
- Forati, E.; Dill, T.J.; Tao, A.R.; Sievenpiper, D. Photoemission-based microelectronic devices. Nat. Commun. 2016, 7, 13399. [Google Scholar] [CrossRef] [PubMed]
- Han, P.; Li, X.; Cai, J.; Feng, J. Vertical Nanoscale Vacuum Channel Triodes Based on the Material System of Vacuum Electronics. Micromachines 2023, 14, 346. [Google Scholar] [CrossRef] [PubMed]
- Srivastava, V. Vacuum microelectronic devices for THz communication systems. In Proceedings of the 2015 Annual IEEE India Conference (INDICON), New Delhi, India, 17–20 December 2015. [Google Scholar]
- Rosker, M.J.; Wallace, H.B. Vacuum electronics and the world above 100 GHz. In Proceedings of the 2008 IEEE International Vacuum Electronics Conference, Monterey, CA, USA, 22–24 April 2008. [Google Scholar]
- Hsu, S.-H.; Kang, W.P.; Raina, S.; Howell, M.; Huang, J.-H. Nanodiamond vacuum field emission microtriode. J. Vac. Sci. Technol. B Nanotechnol. Microelectron. Mater. Process. Meas. Phenom. 2017, 35, 032201. [Google Scholar] [CrossRef]
- Han, S.-T.; Jeon, S.-G.; Shin, Y.-M.; Jang, K.-H.; So, J.-K.; Kim, J.-H.; Chang, S.-S.; Park, G.-S. Experimental investigations on miniaturized high-frequency vacuum electron devices. IEEE Trans. Plasma Sci. 2005, 33, 679–684. [Google Scholar]
- Liu, X.; Li, Y.; Xiao, J.; Zhao, J.; Li, C.; Li, Z. Enhanced field emission stability of vertically aligned carbon nanotubes through anchoring for X-ray imaging applications. J. Mater. Chem. C 2023, 11, 2505–2513. [Google Scholar] [CrossRef]
- Huang, W.; Huang, Y.; Liu, R.; Zhu, W.; Kang, S.; Qian, W.; Dong, C. A dual-functional micro-focus X-ray source based on carbon nanotube field emission. Diamond Relat. Mater. 2022, 125, 108970. [Google Scholar] [CrossRef]
- Barysheva, M.M.; Zuev, S.Y.; Lopatin, A.Y.; Luchin, V.I.; Pestov, A.E.; Salashchenko, N.N.; Tsybin, N.N.; Chkhalo, N.I. Prospects for the use of X-ray tubes with a field-emission cathode and a through-type anode in the range of soft X-ray radiation. Tech. Phys. 2020, 65, 1726–1735. [Google Scholar] [CrossRef]
- Harris, J.R.; Jensen, K.L.; Shiffler, D.A. Modelling field emitter arrays using line charge distributions. J. Phys. D Appl. Phys. 2015, 48, 385203. [Google Scholar] [CrossRef]
- Kireeff Covo, M.; Albright, R.A.; Ninemire, B.F.; Johnson, M.B.; Hodgkinson, A.; Loew, T.; Benitez, J.Y.; Todd, D.S.; Xie, D.Z.; Perry, T.; et al. The 88-inch cyclotron: A one-stop facility for electronics radiation and detector testing. Measurement 2018, 127, 580–587. [Google Scholar] [CrossRef]
- Kikukawa, R.; Ohkawa, Y.; Yamagiwa, Y. Effect of Xe plasma processing on characteristics of carbon nanotube-based field emission cathodes. Diamond Relat. Mater. 2022, 122, 108805. [Google Scholar] [CrossRef]
- Schwoebel, P.R.; Spindt, C.A.; Holland, C.E. High current, high current density field emitter array cathodes. J. Vac. Sci. Technol. B Microelectron. Nanometer Struct. 2005, 23, 691–693. [Google Scholar] [CrossRef]
- Laszczyk, K.U. Field emission cathodes to form an electron beam prepared from carbon nanotube suspensions. Micromachines 2020, 11, 260. [Google Scholar] [CrossRef] [PubMed]
- Giubileo, F.; Grillo, A.; Passacantando, M.; Urban, F.; Iemmo, L.; Luongo, G.; Pelella, A.; Loveridge, M.; Lozzi, L.; Di Bartolomeo, A. Field Emission Characterization of MoS2 Nanoflowers. Nanomaterials 2019, 9, 717. [Google Scholar] [CrossRef]
- Zhang, Y.; Liu, X.; Zhao, L.; Li, Y.; Li, Z. Simulation and Optimization of CNTs Cold Cathode Emission Grid Structure. Nanomaterials 2023, 13, 50. [Google Scholar] [CrossRef]
- Yu, Y.Y.; Rodiansyah, A.; Sawant, J.; Park, K.C. Patterning of Silicon Substrate with Self-Assembled Monolayers Using Vertically Aligned Carbon Nanotube Electron Sources. Nanomaterials 2022, 12, 4420. [Google Scholar] [CrossRef]
- Goldmane, A.E.; Avotina, L.; Vanags, E.; Trimdale-Deksne, A.; Zaslavskis, A.; Kizane, G.; Dekhtyar, Y. Thermal oxidation of tungsten coatings for detection by infrared spectrometry method. J. Phys. Conf. Ser. 2023, 2423, 012022. [Google Scholar] [CrossRef]
- Avotina, L.; Bumbure, L.; Goldmane, A.E.; Vanags, E.; Romanova, M.; Sorokins, H.; Zaslavskis, A.; Kizane, G.; Dekhtyar, Y. Thermal behavior of magnetron sputtered tungsten and tungsten-boride thin films. In Proceedings of the 2022 International Conference on Applied Electronics (A.E.), Pilsen, Czech Republic, 6–7 September 2022. [Google Scholar]
- Kaser, A.; Gerlach, E. Scattering of conduction electrons by surface roughness in thin metal films. Z. Phys. B Con. Mat. 1995, 97, 139–146. [Google Scholar] [CrossRef]
- Koch, J.F.; Murray, T.E. Electron scattering at a rough surface. Phys. Rev. 1969, 186, 722–727. [Google Scholar] [CrossRef]
- Moulder, J.F.; Stichle, W.F.; Sobol, P.E.; Bomben, K.D. Tungsten. In Handbook of X-ray Photoelectron Spectroscopy; Chastain, J., Ed.; Perkin-Elmer Corporation, Physical Electronics Division: Eden Prairie, MN, USA, 1992; pp. 172–173. [Google Scholar]
- NIST X-ray Photoelectron Spectroscopy Database, NIST Standard Reference Database 20, Version 4.1. Available online: https://srdata.nist.gov/xps/ (accessed on 14 August 2023).
- X-ray Photoelectron Spectroscopy (XPS) Reference Pages, Tungsten. Available online: http://www.xpsfitting.com/search/label/Tungsten (accessed on 14 August 2023).
- Farrall, G.A. Electrical breakdown in vacuum. In Gas Discharge Closing Switches; Schaefer, G., Kristiansen, M., Guenther, A., Eds.; Springer Science+Business Media: New York, NY, USA, 1990; pp. 196–197. [Google Scholar]
- Gilmour, A.S. Cold cathodes. In Microwave and Millimeter-Wave Vacuum Electron Devices: Inductive Output Tubes, Klystrons, Traveling-Wave Tubes, Magnetrons, Crossed-Field Amplifiers, and Gyrotrons; Artech House: Norwood, MA, USA, 2020; pp. 120–121. [Google Scholar]
- Fursey, G.N. Deviations from the Fowler–Nordheim theory and peculiarities of field electron emission from small-scale objects. J. Vac. Sci. Technol. B Microelectron. Nanometer Struct. 1998, 16, 910–915. [Google Scholar] [CrossRef]
- Burgess, R.E.; Kroemer, H.; Houston, J.M. Corrected values of Fowler-Nordheim field emission functions v(y) and s(y). Phys. Rev. 1953, 90, 515. [Google Scholar] [CrossRef]
- Lewis, P.A.; Alphenaar, B.W.; Ahmed, H. Measurements of geometric enhancement factors for silicon nanopillar cathodes using a scanning tunneling microscope. Appl. Phys. Lett. 2001, 79, 1348–1350. [Google Scholar] [CrossRef][Green Version]
- Bilici, M.A.; Haase, J.R.; Boyle, C.R.; Go, D.B.; Sankaran, R.M. The smooth transition from field emission to a self-sustained plasma in microscale electrode gaps at atmospheric pressure. J. Appl. Phys. 2016, 119, 223301. [Google Scholar] [CrossRef]










Disclaimer/Publisher’s Note: The statements, opinions and data contained in all publications are solely those of the individual author(s) and contributor(s) and not of MDPI and/or the editor(s). MDPI and/or the editor(s) disclaim responsibility for any injury to people or property resulting from any ideas, methods, instructions or products referred to in the content. |
© 2023 by the authors. Licensee MDPI, Basel, Switzerland. This article is an open access article distributed under the terms and conditions of the Creative Commons Attribution (CC BY) license (https://creativecommons.org/licenses/by/4.0/).
Share and Cite
Avotina, L.; Bikse, L.; Dekhtyar, Y.; Goldmane, A.E.; Kizane, G.; Muhin, A.; Romanova, M.; Smits, K.; Sorokins, H.; Vilken, A.; et al. Tungsten–SiO2–Based Planar Field Emission Microtriodes with Different Electrode Topologies. Materials 2023, 16, 5781. https://doi.org/10.3390/ma16175781
Avotina L, Bikse L, Dekhtyar Y, Goldmane AE, Kizane G, Muhin A, Romanova M, Smits K, Sorokins H, Vilken A, et al. Tungsten–SiO2–Based Planar Field Emission Microtriodes with Different Electrode Topologies. Materials. 2023; 16(17):5781. https://doi.org/10.3390/ma16175781
Chicago/Turabian StyleAvotina, Liga, Liga Bikse, Yuri Dekhtyar, Annija Elizabete Goldmane, Gunta Kizane, Aleksei Muhin, Marina Romanova, Krisjanis Smits, Hermanis Sorokins, Aleksandr Vilken, and et al. 2023. "Tungsten–SiO2–Based Planar Field Emission Microtriodes with Different Electrode Topologies" Materials 16, no. 17: 5781. https://doi.org/10.3390/ma16175781
APA StyleAvotina, L., Bikse, L., Dekhtyar, Y., Goldmane, A. E., Kizane, G., Muhin, A., Romanova, M., Smits, K., Sorokins, H., Vilken, A., & Zaslavskis, A. (2023). Tungsten–SiO2–Based Planar Field Emission Microtriodes with Different Electrode Topologies. Materials, 16(17), 5781. https://doi.org/10.3390/ma16175781

