Upper Critical Field and Tunneling Spectroscopy of Underdoped Na(Fe,Co)As Single Crystals
Abstract
:1. Introduction
2. Materials and Methods
3. Results and Discussion
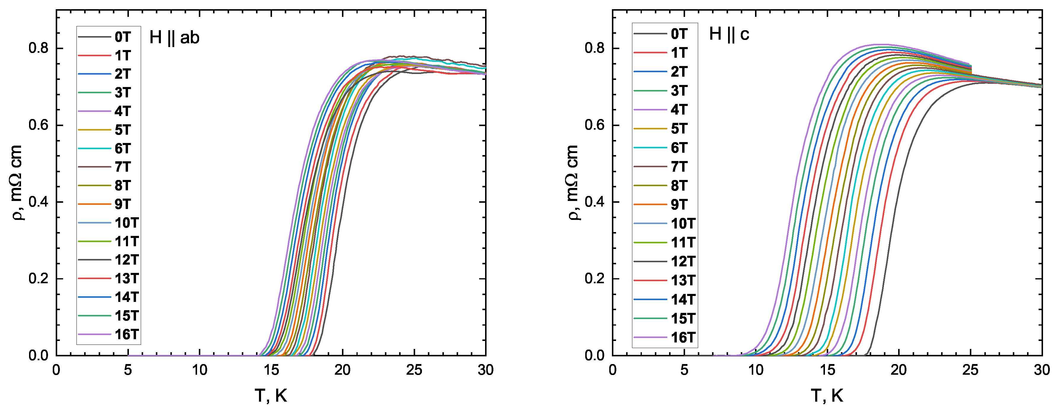
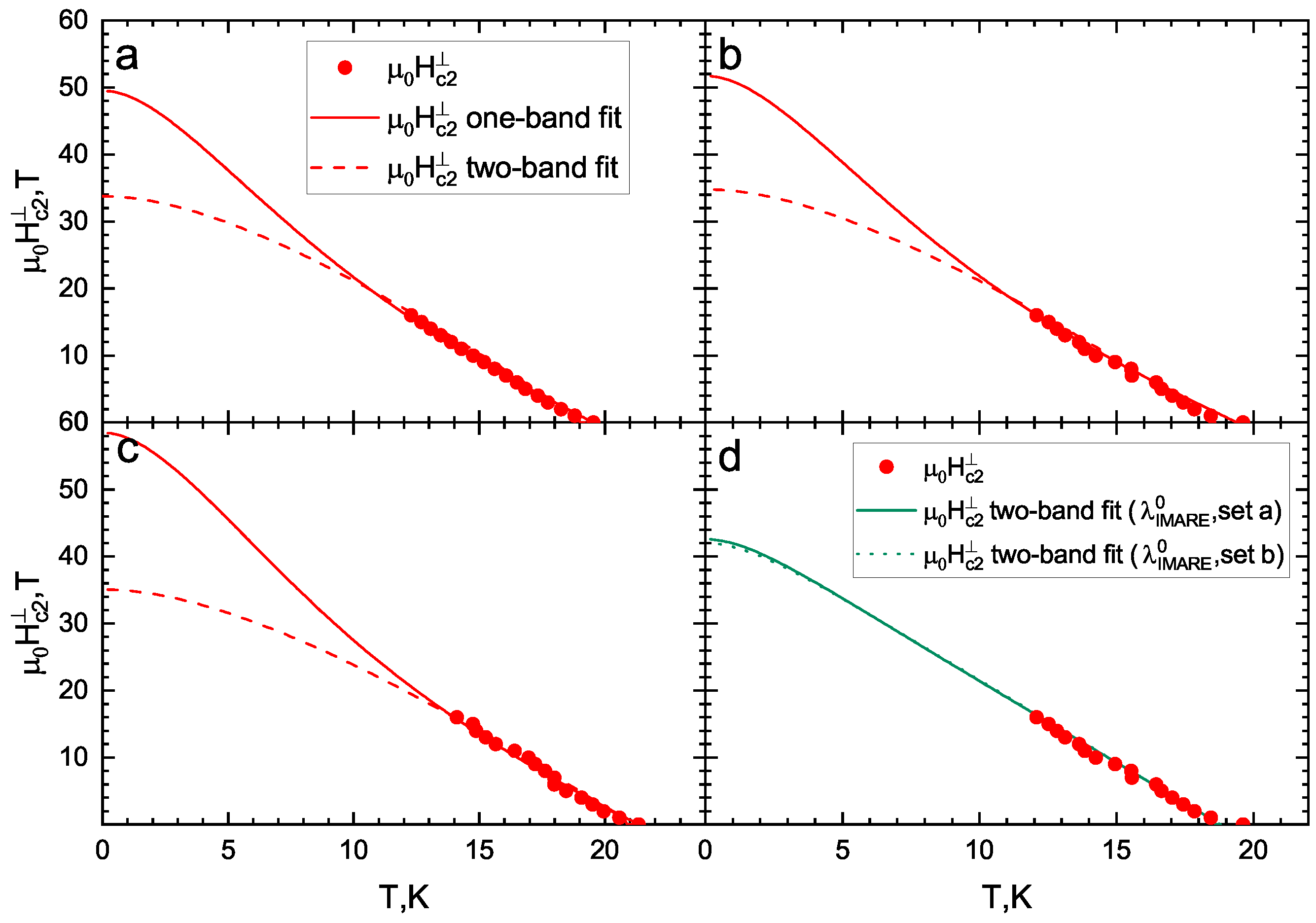
3.1. Upper Critical Field Probes
3.2. IMARE Spectroscopy
4. Discussion
5. Conclusions
Author Contributions
Funding
Institutional Review Board Statement
Informed Consent Statement
Data Availability Statement
Acknowledgments
Conflicts of Interest
Abbreviations
| SC | Superconducting |
| XRD | X-ray diffraction |
| BCS | Bardeen–Cooper–Schrieffer |
| WHH | Werthammer–Helfand–Hohenberg |
| AFM | Antiferromagnetism |
| ARPES | Angle-resolved photoemission spectroscopy |
| CVC | Current–voltage characteristic |
| IMARE | Incoherent multiple Andreev reflection effect |
| MCPBJ | Mechanically controlled planar break junction |
| SGS | Subharmonic gap structure |
| SnS | Superconductor–normal metal–superconductor |
| ZBC | Zero-bias conductance |
Appendix A. IMARE Spectroscopy Details

References
- Wang, X.C.; Liu, Q.Q.; Lv, Y.X.; Gao, W.B.; Yang, L.X.; Yu, R.C.; Li, F.Y.; Jin, C.Q. The superconductivity at 18 K in LiFeAs system. Solid State Commun. 2008, 148, 538. [Google Scholar] [CrossRef]
- Parker, D.R.; Pitcher, M.J.; Baker, P.J.; Franke, I.; Lancaster, T.; Blundell, S.J.; Clarke, S.J. Structure, antiferromagnetism and superconductivity of the layered iron arsenide NaFeAs. Chem. Commun. 2009, 2009, 2189. [Google Scholar] [CrossRef]
- Kuzmicheva, T.E.; Kuzmichev, S.A. Electron and Superconducting Properties of the AFeAs (A= Li, Na) Family Alkali-Metal Pnictides: Current Stage of the Research (mini-review). JETP Lett. 2021, 114, 630. [Google Scholar] [CrossRef]
- Wang, A.F.; Luo, X.G.; Yan, Y.J.; Ying, J.J.; Xiang, Z.J.; Ye, G.J.; Cheng, P.; Li, Z.Y.; Hu, W.J.; Chen, X.H. Phase diagram and calorimetric properties of NaFe1−xCoxAs. Phys. Rev. B 2012, 85, 224521. [Google Scholar] [CrossRef]
- Tan, G.; Zheng, P.; Wang, X.; Chen, Y.; Zhang, X.; Luo, J.; Netherton, T.; Song, Y.; Dai, P.; Zhang, C.; et al. Strong-coupling superconductivity in NaFe1−xCoxAs: Validity of Eliashberg theory. Phys. Rev. B 2013, 87, 144512. [Google Scholar] [CrossRef]
- Steckel, F.; Roslova, M.; Beck, R.; Morozov, I.; Aswartham, S.; Evtushinsky, D.; Blum, C.G.M.; Abdel-Hafiez, M.; Bombor, D.; Maletz, J.; et al. Crystal growth and electronic phase diagram of 4d-doped Na1−δFe1−xRhxAs in comparison to 3d-doped Na1−δFe1−xCoxAs. Phys. Rev. B 2015, 91, 184516. [Google Scholar] [CrossRef]
- Wright, J.D.; Lancaster, T.; Franke, I.; Steele, A.J.; Möller, J.S.; Pitcher, M.J.; Corkett, A.J.; Parker, D.R.; Free, D.G.; Pratt, F.L.; et al. Gradual destruction of magnetism in the superconducting family NaFe1−xCoxAs. Phys. Rev. B 2012, 85, 054503. [Google Scholar] [CrossRef]
- Parker, D.R.; Smith, M.J.P.; Lancaster, T.; Steele, A.J.; Franke, I.; Baker, P.J.; Pratt, F.L.; Pitcher, M.J.; Blundell, S.J.; Clarke, S.J. Control of the Competition between a Magnetic Phase and a Superconducting Phase in Cobalt-Doped and Nickel-Doped NaFeAs Using Electron Count. Phys. Rev. Lett. 2010, 104, 057007. [Google Scholar] [CrossRef]
- Wang, A.F.; Ying, J.J.; Luo, X.G.; Yan, Y.J.; Liu, D.Y.; Xiang, Z.J.; Cheng, P.; Ye, G.J.; Zou, L.J.; Sun, Z.; et al. A crossover in the phase diagram of NaFe1−xCoxAs determined by electronic transport measurements. N. J. Phys. 2013, 15, 043048. [Google Scholar] [CrossRef]
- Watson, M.D.; Aswartham, S.; Rhodes, L.C.; Parrett, B.; Iwasawa, H.; Hoesch, M.; Morozov, I.; Büchner, B.; Kim, T.K. Three-dimensional electronic structure of the nematic and antiferromagnetic phases of NaFeAs from detwinned angle-resolved photoemission spectroscopy. Phys. Rev. B 2018, 97, 035134. [Google Scholar] [CrossRef]
- Liu, Z.-H.; Richard, P.; Nakayama, K.; Chen, G.-F.; Dong, S.; He, J.-B.; Wang, D.-M.; Xia, T.-L.; Umezawa, K.; Kawahara, T.; et al. Unconventional superconducting gap in NaFe0.95Co0.05As observed by angle-resolved photoemission spectroscopy. Phys. Rev. B 2011, 84, 064519. [Google Scholar] [CrossRef]
- Ge, Q.Q.; Ye, Z.R.; Xu, M.; Zhang, Y.; Jiang, J.; Xie, B.P.; Song, Y.; Zhang, C.L.; Dai, P.; Feng, D.L. Anisotropic but Nodeless Superconducting Gap in the Presence of Spin-Density Wave in Iron-Pnictide Superconductor NaFe1−xCoxAs. Phys. Rev. X 2013, 3, 011020. [Google Scholar]
- Cai, P.; Zhou, X.; Ruan, W.; Wang, A.; Chen, X.; Lee, D.-H.; Wang, Y. Visualizing the microscopic coexistence of spin density wave and superconductivity in underdoped NaFe1−xCoxAs. Nat. Commun. 2013, 4, 1596. [Google Scholar] [CrossRef]
- Yang, H.; Wang, Z.; Fang, D.; Li, S.; Kariyado, T.; Chen, G.; Ogata, M.; Das, T.; Balatsky, A.V.; Wen, H.-H. Unexpected weak spatial variation in the local density of states induced by individual Co impurity atoms in superconducting Na(Fe1−xCox)As crystals revealed by scanning tunneling spectroscopy. Phys. Rev. B 2012, 86, 214512. [Google Scholar] [CrossRef]
- Mazin, I.I.; Singh, D.J.; Johannes, M.D.; Du, M.H. Unconventional sign-reversing superconductivity in LaFeAsO1−xFx. Phys. Rev. Lett. 2008, 101, 057003. [Google Scholar] [CrossRef]
- Kontani, H.; Onari, S. Orbital-Fluctuation-Mediated Superconductivity in Iron Pnictides: Analysis of the Five-Orbital Hubbard-Holstein Model. Phys. Rev. Lett. 2010, 86, 157001. [Google Scholar] [CrossRef]
- Onari, S.; Kontani, H. Hidden antiferronematic order in Fe-based superconductor BaFe2As2 and NaFeAs above TS. Phys. Rev. Res. 2020, 2, 042005(R). [Google Scholar] [CrossRef]
- Hirschfeld, P.J. Using gap symmetry and structure to reveal the pairing mechanism in Fe-based superconductors. C. R. Physique 2016, 17, 197. [Google Scholar] [CrossRef]
- Yu, R.; Zhu, J.-X.; Si, Q. Orbital-selective superconductivity, gap anisotropy, and spin resonance excitations in a multiorbital t-J1-J2 model for iron pnictides. Phys. Rev. B 2014, 89, 024509. [Google Scholar] [CrossRef]
- Saito, T.; Onari, S.; Kontani, H. Nodal gap structure in Fe-based superconductors due to the competition between orbital and spin fluctuations. Phys. Rev. B 2013, 88, 045115. [Google Scholar] [CrossRef]
- Wang, Y.; Kreisel, A.; Zabolotnyy, V.B.; Borisenko, S.V.; Büchner, B.; Maier, T.A.; Hirschfeld, P.J.; Scalapino, D.J. Superconducting gap in LiFeAs from three-dimensional spin-fluctuation pairing calculations. Phys. Rev. B 2013, 88, 174516. [Google Scholar] [CrossRef]
- Kreisel, A.; Andersen, B.M.; Sprau, P.O.; Kostin, A.; Seamus Davis, J.C.; Hirschfeld, P.J. Orbital selective pairing and gap structures of iron-based superconductors. Phys. Rev. B 2017, 95, 174504. [Google Scholar] [CrossRef]
- Saito, T.; Onari, S.; Yamakawa, H.; Kontani, H.; Borisenko, S.V.; Zabolotnyy, V.B. Reproduction of experimental gap structure in LiFeAs based on orbital-spin fluctuation theory: s++-wave, s±-wave, and hole-s±-wave states. Phys. Rev. B 2014, 90, 035104. [Google Scholar] [CrossRef]
- Saito, T.; Yamakawa, H.; Onari, S.; Kontani, H. Revisiting orbital-fluctuation-mediated superconductivity in LiFeAs: Nontrivial spin-orbit interaction effects on the band structure and superconducting gap function. Phys. Rev. B 2015, 92, 134522. [Google Scholar] [CrossRef]
- Spyrison, N.; Tanatar, M.A.; Cho, K.; Song, Y.; Dai, P.; Zhang, C.; Prozorov, R. Environmental stability and anisotropic resistivity of Co-doped Na1−δFe1−xCoxAs. Phys. Rev. B 2012, 86, 144528. [Google Scholar] [CrossRef]
- Ghannadzadeh, S.; Wright, J.D.; Foronda, F.R.; Blundell, S.J.; Clarke, S.J.; Goddard, P.A. Upper critical field of NaFe1−xCoxAs superconductors. Phys. Rev. B 2014, 89, 054502. [Google Scholar] [CrossRef]
- Ahmad, D.; Choi, W.J.; Sonora, D.; Oh, Y.S.; Mosqueira, J.; Park, T.; Kwon, Y.S. Anisotropy dependence of the fluctuation spectroscopy in the critical and gaussian regimes in superconducting NaFe1−xCox As single crystals. Sci. Rep. 2018, 8, 8556. [Google Scholar] [CrossRef] [PubMed]
- Kümmel, R.; Gunsenheimer, U.; Nicolsky, R. Andreev scattering of quasiparticle wave packets and current-voltage characteristics of superconducting metallic weak links. Phys. Rev. B 1990, 42, 3992. [Google Scholar] [CrossRef] [PubMed]
- Octavio, M.; Tinkham, M.; Blonder, G.E.; Klapwijk, T.M. Subharmonic energy-gap structure in superconducting constrictions. Phys. Rev. B 1983, 27, 6739. [Google Scholar] [CrossRef]
- Gunsenheimer, U.; Zaikin, A.D. Ballistic charge transport in superconducting weak links. Phys. Rev. B 1994, 50, 6317. [Google Scholar] [CrossRef]
- Gunsenheimer, U.; Zaikin, A.D. Ballistic charge transport in superconducting weak links in a microwave field. Europhys. Lett. 1998, 41, 195. [Google Scholar] [CrossRef]
- Arnold, G.B. Superconducting Tunneling without the Tunneling Hamiltonian. II. Subgap Harmonic Structure. J. Low. Temp. Phys. 1987, 68, 1–27. [Google Scholar] [CrossRef]
- Averin, D.; Bardas, A. ac Josephson Effect in a Single Quantum Channel. Phys. Rev. Lett. 1995, 75, 1831. [Google Scholar] [CrossRef]
- Devereaux, T.P.; Fulde, P. Multiple Andreev scattering in superconductor-normal metal-superconductor junctions as a test for anisotropic electron pairing. Phys. Rev. B 1993, 47, 14638. [Google Scholar] [CrossRef] [PubMed]
- Moreland, J.; Ekin, J.W. Electron tunneling experiments using Nb?Sn “break” junctions. J. Appl. Phys. 1985, 58, 3888. [Google Scholar] [CrossRef]
- Kuzmichev, S.A.; Kuzmicheva, T.E. “Break-junction” technique in application to layered superconductors. Low Temp. Phys. 2016, 42, 1008. [Google Scholar] [CrossRef]
- Liu, Z.-H.; Richard, P.; Li, Y.; Jia, L.-L.; Chen, G.-F.; Xia, T.-L.; Wang, D.-M.; He, J.-B.; Yang, H.-B.; Pan, Z.-H.; et al. Orbital characters and near two-dimensionality of Fermi surfaces in NaFe1−xCoxAs. Appl. Phys. Lett. 2012, 101, 202601. [Google Scholar] [CrossRef]
- Cui, S.T.; Zhu, S.Y.; Wang, A.F.; Kong, S.; Ju, S.L.; Luo, X.G.; Chen, X.H.; Zhang, G.B.; Sun, Z. Evolution of the band structure of superconducting NaFeAs from optimally doped to heavily overdoped Co substitution using angle-resolved photoemission spectroscopy. Phys. Rev. B 2012, 86, 155143. [Google Scholar] [CrossRef]
- Deng, S.; Köhler, J.; Simon, A. Electronic structure and lattice dynamics of NaFeAs. Phys. Rev. B 2009, 80, 214508. [Google Scholar] [CrossRef]
- Kusakabe, K.; Nakanishi, A. First-Principles Study of NaFeAs, NaCoAs, and NaNiAs. J. Phys. Soc. Jpn. 2009, 12, 124712. [Google Scholar] [CrossRef]
- Tanatar, M.A.; Spyrison, N.; Cho, K.; Blomberg, E.C.; Tan, G.; Dai, P.; Zhang, C.; Prozorov, R. Evolution of normal and superconducting properties of single crystals of Na1−δAs upon interaction with environment. Phys. Rev. B 2012, 85, 014510. [Google Scholar] [CrossRef]
- Weickert, F.; Nicklas, M.; Schnelle, W.; Wosnitza, J.; Leithe-Jasper, A.; Rosner, H. Enhancement of the upper critical field in codoped iron-arsenic high-temperature superconductors. J. Appl. Phys. 2011, 110, 123906. [Google Scholar] [CrossRef]
- Werthamer, N.R.; Helfand, E.; Hohenberg, P.C. Temperature and Purity Dependence of the Superconducting Critical Field, Hc2. III. Electron Spin and Spin-Orbit Effects. Phys. Rev. 1966, 147, 295. [Google Scholar] [CrossRef]
- Gurevich, A. Limits of the upper critical field in dirty two-gap superconductors. Physica C 2007, 456, 160. [Google Scholar] [CrossRef]
- Kuzmichev, S.A.; Morozov, I.V.; Shilov, A.I.; Rakhmanov, E.O.; Kuzmicheva, T.E. Multiple Andreev Reflection Effect Spectroscopy of Underdoped NaFe1−xCoxAs Single Crystals. JETP Lett. 2023, 117, 612. [Google Scholar] [CrossRef]
- Giaever, I.; Megerle, K. Study of Superconductors by Electron Tunneling. Phys. Rev. 1961, 122, 1101. [Google Scholar] [CrossRef]
- Moskalenko, V.A. Superconductivity of metals considering the overlapping of energy bands. Phys. Met. Metallogr. 1959, 8, 25. [Google Scholar]
- Moskalenko, V.A. Temperature and Purity Dependence of the Superconducting Critical Field, Hc2. The Theory of Superconductors with Overlapping Energy Bands. Sov. Phys. Usp. 1974, 17, 450. [Google Scholar] [CrossRef]
- Suhl, H.; Matthias, B.T.; Walker, L.R. Bardeen-Cooper-Schrieffer Theory of Superconductivity in the Case of Overlapping Bands. Phys. Rev. Lett. 1959, 3, 552. [Google Scholar] [CrossRef]
- Kuzmicheva, T.E.; Kuzmichev, S.A. Characteristics of superconducting subsystems in magnesium diborides and iron oxypnictides from data on spectroscopy of multiple Andreev reflections. Low Temp. Phys. 2019, 45, 1161. [Google Scholar] [CrossRef]
- Kuzmichev, S.; Kuzmicheva, T.; Morozov, I.; Boltalin, A.; Shilov, A. Multiple Andreev reflections effect spectroscopy of LiFeAs single crystals: Three superconducting order parameters and their temperature evolution. SN Appl. Sci. 2022, 4, 189. [Google Scholar] [CrossRef]
- Kuzmicheva, T.E.; Kuzmichev, S.A.; Pervakov, K.S.; Vlasenko, V.A. Superconducting order parameters in overdoped BaFe1.86Ni0.14As2 revealed by multiple Andreev reflection spectroscopy of planar break junctions. Phys. Rev. B 2021, 104, 174512. [Google Scholar] [CrossRef]
- Boeri, L.; Dolgov, O.V.; Golubov, A.A. Is LaFeAsO1−xFx an Electron-Phonon Superconductor? Phys. Rev. Lett. 2008, 101, 026403. [Google Scholar] [CrossRef] [PubMed]
- Wong, C.H.; Lortz, R. Preliminary Tc Calculations for Iron-Based Superconductivity in NaFeAs, LiFeAs, FeSe and Nanostructured FeSe/SrTiO3 Superconductors. Materials 2023, 16, 4674. [Google Scholar] [CrossRef] [PubMed]










| Criterion | |||||||||
|---|---|---|---|---|---|---|---|---|---|
| T/K | T/K | T | T | T | T | nm | nm | ||
| 50% | 6.85 | 2.45 | 2.8 | 30 | 49 | 58 | 61 | 2.59 | 2.08 |
| max | 6.34 | 2.52 | 2.5 | 32 | 52 | 54 | 60 | 2.51 | 2.18 |
| 6.97 | 2.74 | 2.54 | 36 | 59 | 60 | 77 | 2.36 | 1.81 |
Disclaimer/Publisher’s Note: The statements, opinions and data contained in all publications are solely those of the individual author(s) and contributor(s) and not of MDPI and/or the editor(s). MDPI and/or the editor(s) disclaim responsibility for any injury to people or property resulting from any ideas, methods, instructions or products referred to in the content. |
© 2023 by the authors. Licensee MDPI, Basel, Switzerland. This article is an open access article distributed under the terms and conditions of the Creative Commons Attribution (CC BY) license (https://creativecommons.org/licenses/by/4.0/).
Share and Cite
Morgun, L.; Kuzmichev, S.; Morozov, I.; Degtyarenko, A.; Sadakov, A.; Shilov, A.; Zhuvagin, I.; Rakhmanov, Y.; Kuzmicheva, T. Upper Critical Field and Tunneling Spectroscopy of Underdoped Na(Fe,Co)As Single Crystals. Materials 2023, 16, 6421. https://doi.org/10.3390/ma16196421
Morgun L, Kuzmichev S, Morozov I, Degtyarenko A, Sadakov A, Shilov A, Zhuvagin I, Rakhmanov Y, Kuzmicheva T. Upper Critical Field and Tunneling Spectroscopy of Underdoped Na(Fe,Co)As Single Crystals. Materials. 2023; 16(19):6421. https://doi.org/10.3390/ma16196421
Chicago/Turabian StyleMorgun, Leonid, Svetoslav Kuzmichev, Igor Morozov, Alena Degtyarenko, Andrey Sadakov, Andrey Shilov, Ilya Zhuvagin, Yevgeny Rakhmanov, and Tatiana Kuzmicheva. 2023. "Upper Critical Field and Tunneling Spectroscopy of Underdoped Na(Fe,Co)As Single Crystals" Materials 16, no. 19: 6421. https://doi.org/10.3390/ma16196421
APA StyleMorgun, L., Kuzmichev, S., Morozov, I., Degtyarenko, A., Sadakov, A., Shilov, A., Zhuvagin, I., Rakhmanov, Y., & Kuzmicheva, T. (2023). Upper Critical Field and Tunneling Spectroscopy of Underdoped Na(Fe,Co)As Single Crystals. Materials, 16(19), 6421. https://doi.org/10.3390/ma16196421

