Synthesis and Characterization of Flame Retarded Rigid Polyurethane Foams with Different Types of Blowing Agents
Abstract
:1. Introduction
2. Materials and Methods
2.1. Materials
- -
- Isocyanate: PMDI (Polymeric diphenylmethane 4,4′-diisocyanate); NCO% = 31 wt.%; average functionality = 2.7; viscosity = 200 mPa·s (25 °C); Minova Ekochem S.A (Siemianowice Śląskie, Poland).
- -
- Polyol: Rokopol® RF-551, LOH = 420 mgKOH/g; average functionality = 4.5; viscosity = 3020 mPa·s (25 °C); PCC Rokita SA (Brzeg Dolny, Poland);
- -
- Catalyst: Polycat® 9; Tris-(dimethylaminopropyl)amine; Evonik Industries AG (Essen, Germany);
- -
- Surfactant: Niax™ silicone SR-321; Momentive Performance Materials Inc. (Niskayuna, NY, USA);
- -
- Physical blowing agent: Cyclopentane; Brenntag Polska Sp. z o.o. (Kędzierzyn-Koźle, Poland);
- -
- Chemical blowing agent: Carbon dioxide generated in the reaction of water and isocyanate groups;
- -
- Flame retardant: Roflam F5; Phenol isopropylated phosphate; phosphorus content: 8.5 wt.%, viscosity = 50 mPa·s (25 °C); PCC Rokita SA.
2.2. Foam Preparation
2.3. Test Method
3. Results and Discussion
3.1. Processing Times
3.2. Cellular Structure
3.3. Physical and Mechanical Properties
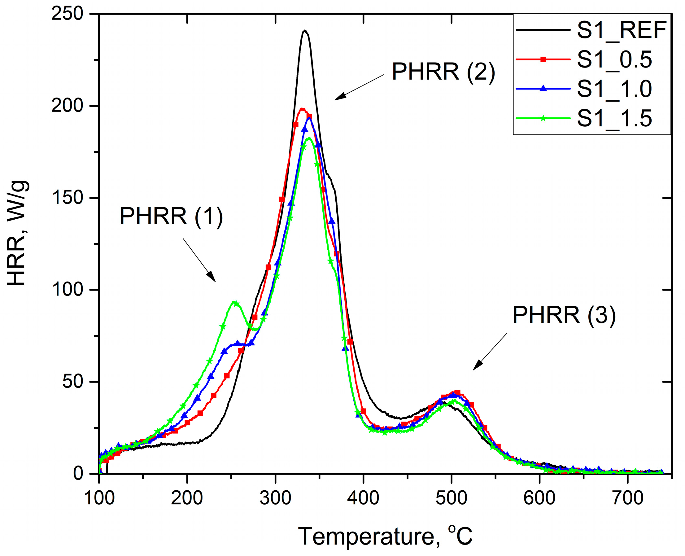
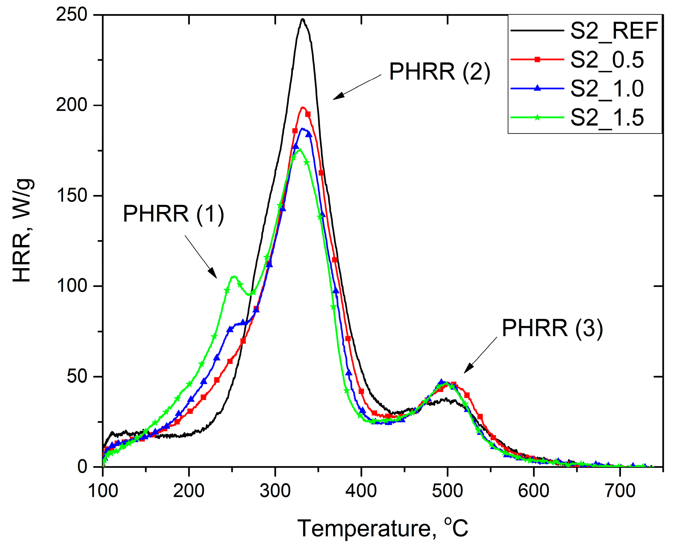
3.4. Limiting Oxygen Index
3.5. Pyrolysis Combustion Flow Calorimetry
3.6. Thermal Imaging Camera
4. Conclusions
Author Contributions
Funding
Institutional Review Board Statement
Informed Consent Statement
Data Availability Statement
Acknowledgments
Conflicts of Interest
References
- Mohammadpour, R.; Mir Mohamad Sadeghi, G. Effect of Liquefied Lignin Content on Synthesis of Bio-based Polyurethane Foam for Oil Adsorption Application. J. Polym. Environ. 2020, 28, 892–905. [Google Scholar] [CrossRef]
- Zemła, M.; Prociak, A.; Michałowski, S. Bio-Based Rigid Polyurethane Foams Modified with Phosphorus Flame Retardants. Polymers 2021, 14, 102. [Google Scholar] [CrossRef] [PubMed]
- Członka, S.; Kairytė, A.; Miedzińska, K.; Strąkowska, A.; Adamus-Włodarczyk, A. Mechanically Strong Polyurethane Composites Reinforced with Montmorillonite-Modified Sage Filler (Salvia officinalis L.). Int. J. Mol. Sci. 2021, 22, 3744. [Google Scholar] [CrossRef]
- Han, S.; Zhu, X.; Chen, F.; Chen, S.; Liu, H. Flame-retardant system for rigid polyurethane foams based on diethyl bis(2-hydroxyethyl)aminomethylphosphonate and in-situ exfoliated clay. Polym. Degrad. Stab. 2020, 177, 109178. [Google Scholar] [CrossRef]
- Barczewski, M.; Kurańska, M.; Sałasińska, K.; Michałowski, S.; Prociak, A.; Uram, K.; Lewandowski, K. Rigid polyurethane foams modified with thermoset polyester-glass fiber composite waste. Polym. Test. 2020, 81, 106190. [Google Scholar] [CrossRef]
- Liu, D.Y.; Zhao, B.; Wang, J.S.; Liu, P.W.; Liu, Y.Q. Flame retardation and thermal stability of novel phosphoramide/expandable graphite in rigid polyurethane foam. J. Appl. Polym. Sci. 2018, 135, 46434. [Google Scholar] [CrossRef]
- Kurańska, M.; Barczewski, M.; Uram, K.; Lewandowski, K.; Prociak, A.; Michałowski, S. Basalt waste management in the production of highly effective porous polyurethane composites for thermal insulating applications. Polym. Test. 2019, 76, 90–100. [Google Scholar] [CrossRef]
- Günther, M.; Lorenzetti, A.; Schartel, B. From Cells to Residues: Flame-Retarded Rigid Polyurethane Foams. Combust. Sci. Technol. 2020, 192, 2209–2237. [Google Scholar] [CrossRef]
- Kirpluks, M.; Vanags, E.; Abolins, A.; Michałowski, S.; Fridrihsone, A.; Cabulis, U. High functionality bio-polyols from tall oil and rigid polyurethane foams formulated solely using bio-polyols. Materials 2020, 13, 1985. [Google Scholar] [CrossRef] [PubMed]
- Aydoğan, B.; Usta, N. Fire behaviour assessment of rigid polyurethane foams containing nanoclay and intumescent flame retardant based on cone calorimeter tests. J. Chem. Technol. Metall. 2019, 54, 55–63. [Google Scholar]
- Acuña, P.; Lin, X.; Calvo, M.S.; Shao, Z.; Pérez, N.; Villafañe, F.; Rodríguez-Pérez, M.Á.; Wang, D.-Y. Synergistic effect of expandable graphite and phenylphosphonic-aniline salt on flame retardancy of rigid polyurethane foam. Polym. Degrad. Stab. 2020, 179, 109274. [Google Scholar] [CrossRef]
- Kaur, R.; Kumar, M. Addition of anti-flaming agents in castor oil based rigid polyurethane foams: Studies on mechanical and flammable behaviour. Mater. Res. Express 2020, 7, 015333. [Google Scholar] [CrossRef]
- Tang, G.; Zhou, L.; Zhang, P.; Han, Z.; Chen, D.; Liu, X.; Zhou, Z. Effect of aluminum diethylphosphinate on flame retardant and thermal properties of rigid polyurethane foam composites. J. Therm. Anal. Calorim. 2020, 140, 625–636. [Google Scholar] [CrossRef]
- Wu, S.; Deng, D.; Zhou, L.; Zhang, P.; Tang, G. Flame retardancy and thermal degradation of rigid polyurethane foams composites based on aluminum hypophosphite. Mater. Res. Express 2019, 6, 105365. [Google Scholar] [CrossRef]
- Wang, S.-X.; Zhao, H.-B.; Rao, W.-H.; Huang, S.-C.; Wang, T.; Liao, W.; Wang, Y.-Z. Inherently flame-retardant rigid polyurethane foams with excellent thermal insulation and mechanical properties. Polymer 2018, 153, 616–625. [Google Scholar] [CrossRef]
- Strąkowska, A.; Członka, S.; Konca, P.; Strzelec, K. New Flame Retardant Systems Based on Expanded Graphite for Rigid Polyurethane Foams. Appl. Sci. 2020, 10, 5817. [Google Scholar] [CrossRef]
- Chattopadhyay, D.K.; Webster, D.C. Thermal stability and flame retardancy of polyurethanes. Prog. Polym. Sci. 2009, 34, 1068–1133. [Google Scholar] [CrossRef]
- Wang, L.; Tawiah, B.; Shi, Y.; Cai, S.; Rao, X.; Liu, C.; Yang, Y.; Yang, F.; Yu, B.; Liang, Y.; et al. Highly effective flame-retardant rigid polyurethane foams: Fabrication and applications in inhibition of coal combustion. Polymers 2019, 11, 1776. [Google Scholar] [CrossRef]
- Sykam, K.; Meka, K.K.R.; Donempudi, S. Intumescent Phosphorus and Triazole-Based Flame-Retardant Polyurethane Foams from Castor Oil. ACS Omega 2019, 4, 1086–1094. [Google Scholar] [CrossRef]
- Salasinska, K.; Borucka, M.; Leszczyńska, M.; Zatorski, W.; Celiński, M.; Gajek, A.; Ryszkowska, J. Analysis of flammability and smoke emission of rigid polyurethane foams modified with nanoparticles and halogen-free fire retardants. J. Therm. Anal. Calorim. 2017, 130, 131–141. [Google Scholar] [CrossRef]
- Xu, D.; Yu, K.; Qian, K. Thermal degradation study of rigid polyurethane foams containing tris(1-chloro-2-propyl)phosphate and modified aramid fiber. Polym. Test. 2018, 67, 159–168. [Google Scholar] [CrossRef]
- Czech-Polak, J.; Oliwa, R.; Oleksy, M.; Budzik, G. Rigid polyurethane foams with improved flame resistance. Polimery 2018, 63, 115–124. [Google Scholar] [CrossRef]
- Ding, H.; Huang, K.; Li, S.; Xu, L.; Xia, J.; Li, M. Flame retardancy and thermal degradation of halogen-free flame-retardant biobased polyurethane composites based on ammonium polyphosphate and aluminium hypophosphite. Polym. Test. 2017, 62, 325–334. [Google Scholar] [CrossRef]
- Paciorek-Sadowska, J.; Borowicz, M.; Czupryński, B.; Liszkowska, J.; Tomaszewska, E. Application of halloysite as filler in the production of rigid PUR-PIR foams. Polimery 2018, 63, 185–190. [Google Scholar] [CrossRef]
- Cheng, J.J.; Qu, W.J.; Sun, S.H. Mechanical properties improvement and fire hazard reduction of expandable graphite microencapsulated in rigid polyurethane foams. Polym. Compos. 2019, 40, E1006–E1014. [Google Scholar] [CrossRef]
- Chao, C.; Gao, M.; Chen, S. Expanded graphite: Borax synergism in the flame-retardant flexible polyurethane foams. J. Therm. Anal. Calorim. 2018, 131, 71–79. [Google Scholar] [CrossRef]
- Zatorski, W.; Brzozowski, Z.K.; Łebek, K. Production of PUR and PUR-PIR foams with red phosphorus as a flame retardant. Polymers 2005, 50, 686–689. [Google Scholar] [CrossRef]
- Visakh, P.M.; Semkin, A.O.; Rezaev, I.A.; Fateev, A.V. Review on soft polyurethane flame retardant. Constr. Build. Mater. 2019, 227, 116673. [Google Scholar] [CrossRef]
- Liu, X.; Hao, J.; Gaan, S. Recent studies on the decomposition and strategies of smoke and toxicity suppression for polyurethane based materials. RSC Adv. 2016, 6, 74742–74756. [Google Scholar] [CrossRef]
- Thirumal, M.; Singha, N.K.; Khastgir, D.; Manjunath, B.S.; Naik, Y.P. Halogen-free flame-retardant rigid polyurethane foams: Effect of alumina trihydrate and triphenylphosphate on the properties of polyurethane foams. J. Appl. Polym. Sci. 2010, 116, 2260–2268. [Google Scholar] [CrossRef]
- Yin, X.; Luo, Y.; Zhang, J. Synthesis and Characterization of Halogen-Free Flame Retardant Two-Component Waterborne Polyurethane by Different Modification. Ind. Eng. Chem. Res. 2017, 56, 1791–1802. [Google Scholar] [CrossRef]
- Lorenzetti, A.; Modesti, M.; Besco, S.; Hrelja, D.; Donadi, S. Influence of phosphorus valency on thermal behaviour of flame retarded polyurethane foams. Polym. Degrad. Stab. 2011, 96, 1455–1461. [Google Scholar] [CrossRef]
- United States Environmental Protection Agency. Flame Retardants Used in Flexible Polyurethane Foam: An Alternatives Assessment Update; EPA: Washington, DC, USA, 2015; ISBN EPA 744-R-15-022.
- Modesti, M.; Lorenzetti, A.; Simioni, F.; Checchin, M. Influence of different flame retardants on fire behaviour of modified PIR/PUR polymers. Polym. Degrad. Stab. 2001, 74, 475–479. [Google Scholar] [CrossRef]
- Liu, L.; Wang, Z. Synergistic effect of nano magnesium amino-tris-(methylenephosphonate) and expandable graphite on improving flame retardant, mechanical and thermal insulating properties of rigid polyurethane foam. Mater. Chem. Phys. 2018, 219, 318–327. [Google Scholar] [CrossRef]
- Zarzyka, I. Foamed polyurethane plastics of reduced flammability. J. Appl. Polym. Sci. 2018, 135, 45748. [Google Scholar] [CrossRef]
- PN-EN ISO 845:2009; Cellular Plastics and Rubbers—Determination of Apparent Density. International Organization for Standardization: Geneva, Switzerland, 2009.
- PN-EN ISO 844:2021; Rigid Cellular Plastics—Determination of Compression Properties. International Organization for Standardization: Geneva, Switzerland, 2021.
- PN-EN ISO 4590:2016; Rigid Cellular Plastics—Determination of the Volume Percentage of Open Cells and of Closed Cells. International Organization for Standardization: Geneva, Switzerland, 2016.
- ISO 8301:1991; Thermal Insulation—Determination of Steady-State Thermal Resistance and Related Properties Heat Flow Meter Apparatus. International Organization for Standardization: Geneva, Switzerland, 1991.
- ISO 2896:2001; Rigid Cellular Plastics—Determination of Water Absorption. International Organization for Standardization: Geneva, Switzerland, 2001.
- PN-EN ISO 4589-2:2017; Plastics—Determination of Burning Behaviour by Oxygen Index Part 2: Ambient-Temperature Test. International Organization for Standardization: Geneva, Switzerland, 2017.
- Dębski, K.; Magiera, J.; Pielichowski, J. Wpływ struktury sztywnych pianek poliuretanowych spienianych poroforem węglowodorowym na wartość zastępczego współczynnika przewodnictwa ciepła. Polimery 2001, 46, 631–637. [Google Scholar]
- Widya, T.; Macosko, C.W. Nanoclay-modified rigid polyurethane foam. J. Macromol. Sci. Phys. 2005, 44B, 897–908. [Google Scholar] [CrossRef]
- Hawkins, M.C.; O’Toole, B.; Jackovich, D. Cell morphology and mechanical properties of rigid polyurethane foam. J. Cell. Plast. 2005, 41, 267–285. [Google Scholar] [CrossRef]
- Zemła, M.; Prociak, A.; Michałowski, S.; Cabulis, U.; Kirpluks, M.; Simakovs, K. Thermal Insulating Rigid Polyurethane Foams with Bio-Polyol from Rapeseed Oil Modified by Phosphorus Additive and Reactive Flame Retardants. Int. J. Mol. Sci. 2022, 23, 12386. [Google Scholar] [CrossRef]
- Szczotok, A.M.; Madsen, D.; Serrano, A.; Carmona, M.; Van Hees, P.; Rodriguez, J.F.; Kjøniksen, A.L. Flame retardancy of rigid polyurethane foams containing thermoregulating microcapsules with phosphazene-based monomers. J. Mater. Sci. 2021, 56, 1172–1188. [Google Scholar] [CrossRef]
- Liu, X.; Salmeia, K.A.; Rentsch, D.; Hao, J.; Gaan, S. Thermal decomposition and flammability of rigid PU foams containing some DOPO derivatives and other phosphorus compounds. J. Anal. Appl. Pyrolysis 2017, 124, 219–229. [Google Scholar] [CrossRef]
- Lyon, R.E.; Walters, R.N. Pyrolysis combustion flow calorimetry. J. Anal. Appl. Pyrolysis 2004, 71, 27–46. [Google Scholar] [CrossRef]








| Component, g | S1_REF | S1_0.5 | S1_1.0 | S1_1.5 | S2_REF | S2_0.5 | S2_1.0 | S2_1.5 |
|---|---|---|---|---|---|---|---|---|
| Polyol, RF-551 | 100 | 100 | ||||||
| Surfactant, SR-321 | 2 | 2 | ||||||
| Chemical blowing agent, Water | 2 | 4 | ||||||
| Physical blowing agent, Cyclopentane | 5.95 | - | ||||||
| Catalyst, POLYCAT 9 | 1.5 | 1.5 | ||||||
| PMDI, EKOPUR B | INCO = 1.1 | INCO = 1.1 | ||||||
| Flame retardant, Roflam F5 | 0.0 (0.0) * | 18.7 (0.5) * | 37.4 (1.0) * | 56.1 (1.5) * | 0.0 (0.0) * | 20.8 (0.5) * | 41.6 (1.0) * | 62.5 (1.5) * |
| Foam Symbol | Rise Time, s | Gel Time, s | Tack-Free Time, s |
|---|---|---|---|
| S1_REF | 75 ± 3 | 71 ± 1 | 107 ± 2 |
| S1_0.5 | 100 ± 1 | 78 ± 1 | 142 ± 3 |
| S1_1.0 | 125 ± 1 | 90 ± 1 | 170 ± 1 |
| S1_1.5 | 127 ± 1 | 106 ± 1 | 211 ± 1 |
| S2_REF | 49 ± 1 | 55 ± 1 | 89 ± 1 |
| S2_0.5 | 66 ± 1 | 57 ± 1 | 100 ± 1 |
| S2_1.0 | 75 ± 2 | 65 ± 1 | 135 ± 1 |
| S2_1.5 | 80 ± 1 | 72 ± 1 | 176 ± 1 |
| Foam Symbol | Direction | Number of Cells/1 mm2 | Average Cross-Sectional Area of Cells × 103, mm2 | Anisotropy Index |
|---|---|---|---|---|
| S1_REF | Parallel | 32 ± 2 | 11.7 ± 0.6 | 1.29 ± 0.09 |
| Perpendicular | 40 ± 1 | 9.6 ± 0.4 | 0.90 ± 0.02 | |
| S1_0.5 | Parallel | 24 ± 1 | 17.9 ± 0.4 | 0.93 ± 0.05 |
| Perpendicular | 35 ± 3 | 11.7 ± 1.0 | 0.92 ± 0.07 | |
| S1_1.0 | Parallel | 26 ± 4 | 15.2 ± 1.9 | 0.93 ± 0.06 |
| Perpendicular | 28 ± 3 | 13.7 ± 1.8 | 0.84 ± 0.03 | |
| S1_1.5 | Parallel | 20 ± 1 | 19.3 ± 2.0 | 0.88 ± 0.04 |
| Perpendicular | 29 ± 4 | 11.8 ± 2.1 | 0.88 ± 0.04 |
| Foam Symbol | Direction | Number of Cells/1 mm2 | Average Cross-Sectional Area of Cells × 103, mm2 | Anisotropy Index |
|---|---|---|---|---|
| S2_REF | Parallel | 38 ± 3 | 10.8 ± 1.1 | 1.28 ± 0.04 |
| Perpendicular | 49 ± 2 | 7.1 ± 0.8 | 0.96 ± 0.01 | |
| S2_0.5 | Parallel | 33 ± 2 | 14.2 ± 0.8 | 1.11 ± 0.05 |
| Perpendicular | 45 ± 5 | 10.9 ± 1.4 | 0.92 ± 0.03 | |
| S2_1.0 | Parallel | 25 ± 2 | 20.7 ± 3.4 | 1.00 ± 0.07 |
| Perpendicular | 37 ± 5 | 11.2 ± 1.2 | 0.93 ± 0.03 | |
| S2_1.5 | Parallel | 28 ± 2 | 15.3 ± 1.2 | 1.06 ± 0.04 |
| Perpendicular | 33 ± 4 | 13.8 ± 1.4 | 0.94 ± 0.03 |
| Foam Symbol | Closed Cells Content, % | Density, kg/m3 | Water Absorption, % | Compression Strength, kPa | Thermal Conductivity Coefficient, mW/(m·K) | ||
|---|---|---|---|---|---|---|---|
| Parallel | Perpendicular | After 24 h | After 7 Days | ||||
| S1_REF | 94.2 ± 0.9 | 39.1 ± 1.2 | 3.8 ± 0.3 | 280 ± 5 | 178 ± 3 | 24.42 ± 0.10 | 25.72 ± 0.12 |
| S1_0.5 | 93.0 ± 1.2 | 44.9 ± 1.0 | 2.5 ± 0.1 | 307 ± 7 | 237 ± 6 | 24.07 ± 0.15 | 25.36 ± 0.17 |
| S1_1.0 | 92.7 ± 1.6 | 48.6 ± 0.3 | 2.0 ± 0.2 | 332 ± 7 | 272 ± 11 | 24.22 ± 0.07 | 25.53 ± 0.07 |
| S1_1.5 | 91.6 ± 1.5 | 53.4 ± 0.2 | 1.8 ± 0.1 | 355 ± 12 | 313 ± 13 | 25.04 ± 0.01 | 26.71 ± 0.01 |
| S2_REF | 93.5 ± 1.2 | 34.6 ± 0.2 | 3.5 ± 0.6 | 248 ± 7 | 126 ± 3 | 26.20 ± 0.09 | 30.68 ± 0.19 |
| S2_0.5 | 93.4 ± 0.6 | 37.0 ± 0.1 | 2.9 ± 0.1 | 265 ± 4 | 156 ± 5 | 26.11 ± 0.19 | 30.56 ± 0.11 |
| S2_1.0 | 92.6 ± 0.7 | 40.1 ± 0.1 | 2.1 ± 0.1 | 277 ± 15 | 197 ± 4 | 25.95 ± 0.01 | 30.25 ± 0.01 |
| S2_1.5 | 92.2 ± 1.4 | 43.1 ± 0.3 | 1.6 ± 0.1 | 288 ± 10 | 225 ± 5 | 26.31 ± 0.06 | 30.77 ± 0.21 |
| Foam Symbol | THR, kJ/g | HRC, J/(g·K) | T(1), °C | PHRR (1), W/g | T(2), °C | PHRR (2), W/g | T(3), °C | PHRR (3), W/g |
|---|---|---|---|---|---|---|---|---|
| S1_REF | 30.9 ± 0.8 | 274.5 ± 7.8 | - | - | 336 ± 5 | 247.3 ± 9.5 | 499 ± 4 | 35.8 ± 3.9 |
| S1_0.5 | 26.9 ± 0.6 | 214.0 ± 5.7 | - | - | 334 ± 4 | 195.9 ± 3.4 | 502 ± 5 | 49.1 ± 5.8 |
| S1_1.0 | 26.5 ± 0.1 | 211.5 ± 2.1 | 252 ± 3 | 70.6 ± 0.8 | 339 ± 2 | 194.4 ± 1.5 | 505 ± 2 | 48.0 ± 7.6 |
| S1_1.5 | 25.3 ± 0.8 | 196.3 ± 9.9 | 258 ± 1 | 93.9 ± 3.0 | 337 ± 2 | 179.5 ± 9.9 | 503 ± 1 | 40.9 ± 0.4 |
| S2_REF | 30.7 ± 0.1 | 277.5 ± 9.2 | - | - | 333 ± 1 | 250.3 ± 3.5 | 501 ± 1 | 37.5 ± 0.8 |
| S2_0.5 | 29.9 ± 0.5 | 224.0 ± 8.5 | - | - | 328 ± 6 | 204.0 ± 7.6 | 503 ± 4 | 48.5 ± 0.5 |
| S2_1.0 | 27.7 ± 0.1 | 208.5 ± 4.9 | 252 ± 6 | 78.2 ± 0.9 | 333 ± 1 | 185.7 ± 3.2 | 500 ± 3 | 44.3 ± 3.4 |
| S2_1.5 | 27.1 ± 0.8 | 202.3 ± 9.1 | 254 ± 8 | 104.7 ± 3.9 | 331 ± 3 | 184.0 ± 9.0 | 501 ± 3 | 45.0 ± 1.3 |
| Foam Symbol | Tmax, °C | Tav, °C | t5, s | Speak |
|---|---|---|---|---|
| S1_REF | 641 ± 51 | 546 ± 26 | 15 ± 2 | 36,393 ± 1130 |
| S1_0.5 | 587 ± 13 | 520 ± 26 | 25 ± 2 | 33,845 ± 2484 |
| S1_1.0 | 578 ± 9 | 525 ± 14 | 30 ± 1 | 31,896 ± 624 |
| S1_1.5 | 579 ± 5 | 517 ± 19 | 41 ± 3 | 28,152 ± 574 |
| S2_REF | 677 ± 35 | 595 ± 13 | 15 ± 1 | 37,690 ± 2141 |
| S2_0.5 | 599 ± 4 | 534 ± 8 | 23 ± 1 | 33,817 ± 649 |
| S2_1.0 | 589 ± 15 | 529 ± 1 | 31 ± 3 | 31,046 ± 759 |
| S2_1.5 | 566 ± 11 | 503 ± 12 | 42 ± 2 | 26,211 ± 874 |
Disclaimer/Publisher’s Note: The statements, opinions and data contained in all publications are solely those of the individual author(s) and contributor(s) and not of MDPI and/or the editor(s). MDPI and/or the editor(s) disclaim responsibility for any injury to people or property resulting from any ideas, methods, instructions or products referred to in the content. |
© 2023 by the authors. Licensee MDPI, Basel, Switzerland. This article is an open access article distributed under the terms and conditions of the Creative Commons Attribution (CC BY) license (https://creativecommons.org/licenses/by/4.0/).
Share and Cite
Zemła, M.; Michałowski, S.; Prociak, A. Synthesis and Characterization of Flame Retarded Rigid Polyurethane Foams with Different Types of Blowing Agents. Materials 2023, 16, 7217. https://doi.org/10.3390/ma16227217
Zemła M, Michałowski S, Prociak A. Synthesis and Characterization of Flame Retarded Rigid Polyurethane Foams with Different Types of Blowing Agents. Materials. 2023; 16(22):7217. https://doi.org/10.3390/ma16227217
Chicago/Turabian StyleZemła, Marcin, Sławomir Michałowski, and Aleksander Prociak. 2023. "Synthesis and Characterization of Flame Retarded Rigid Polyurethane Foams with Different Types of Blowing Agents" Materials 16, no. 22: 7217. https://doi.org/10.3390/ma16227217
APA StyleZemła, M., Michałowski, S., & Prociak, A. (2023). Synthesis and Characterization of Flame Retarded Rigid Polyurethane Foams with Different Types of Blowing Agents. Materials, 16(22), 7217. https://doi.org/10.3390/ma16227217

