SrTiO3-SrVO3 Ceramics for Solid Oxide Fuel Cell Anodes: A Route from Oxidized Precursors
Abstract
:1. Introduction
2. Materials and Methods
3. Results and Discussion
3.1. Phase Composition, Structure and Microstructure of As-Prepared Samples
- (a)
- High-temperature treatments force the reduction of vanadium cations and their incorporation into the titanium sublattice in the V4+ state. This should lead to the formation of oxygen-stoichiometric perovskite.
- (b)
- A scenario similar to other oxidized donor-doped strontium titanates with a nominal cation stoichiometry such as Sr1−xLaxTiO3±δ or SrTi1−yNbyO3±δ. Incorporation of a higher-valence cation into one of the sublattices, e.g., V5+ into the Ti4+ sublattice, is compensated by the formation of extended defects in the lattice—SrO shear planes characteristic of Ruddlesden-Popper phases combined with A-site cation vacancies, and/or defect clusters built of donor cations and interstitial oxygen ions [18,23,47,48].
3.2. Phase Changes on Reduction
3.3. Thermal Expansion and Dimensional Changes
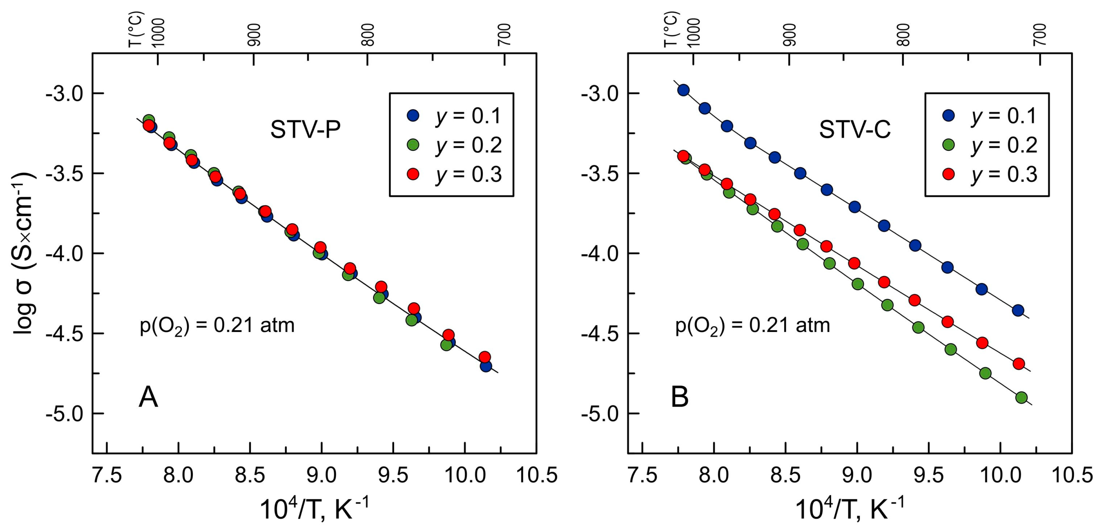
3.4. Electrical Conductivity
4. Conclusions
Author Contributions
Funding
Institutional Review Board Statement
Informed Consent Statement
Data Availability Statement
Conflicts of Interest
References
- Gong, M.; Liu, X.; Trembly, J.; Johnson, C. Sulfur-tolerant anode materials for solid oxide fuel cell application. J. Power Sources 2007, 168, 289–298. [Google Scholar] [CrossRef]
- Zhou, X.; Yan, N.; Chuang, K.T.; Luo, J. Progress in La-doped SrTiO3 (LST)-based anode materials for solid oxide fuel cells. RSC Adv. 2014, 4, 118–131. [Google Scholar] [CrossRef]
- Gür, T.M. Comprehensive review of methane conversion in solid oxide fuel cells: Prospects for efficient electricity generation from natural gas. Progr. Energy Combust. Sci. 2016, 54, 1–64. [Google Scholar] [CrossRef]
- Shu, L.; Sunarso, J.; Hashim, S.S.; Mao, J.; Zhou, W.; Liang, F. Advanced perovskite anodes for solid oxide fuel cells: A review. Int. J. Hydrogen Energy 2019, 44, 31275–31304. [Google Scholar] [CrossRef]
- Sadykov, V.A.; Eremeev, N.F.; Sadovskaya, E.M.; Shlyakhtina, A.V.; Pikalova, E.Y.; Osinkin, D.A.; Yaremchenko, A.A. Design of materials for solid oxide fuel cells, permselective membranes, and catalysts for biofuel transformation into syngas and hydrogen based on fundamental studies of their real structure, transport properties, and surface reactivity. Curr. Opin. Green Sustain. Chem. 2022, 33, 100558. [Google Scholar] [CrossRef]
- Christensen, J.O.; Longo, G.; Bausinger, H.; Mai, A.; Sudireddy, B.R.; Hagen, A. Performance and sulfur tolerance of a short stack with solid oxide cells using infiltrated strontium titanate based anodes. J. Power Sources 2023, 580, 233458. [Google Scholar] [CrossRef]
- Ettler, M.; Timmermann, H.; Malzbender, J.; Weber, A.; Menzler, N.H. Durability of Ni anodes during reoxidation cycles. J. Power Sources 2010, 195, 5452–5467. [Google Scholar] [CrossRef]
- Iwanschitz, B.; Holzer, L.; Mai, A.; Schütze, M. Nickel agglomeration in solid oxide fuel cells: The influence of temperature. Solid State Ion. 2012, 211, 69–73. [Google Scholar] [CrossRef]
- Kan, W.H.; Thangadurai, V. Challenges and prospects of anodes for solid oxide fuel cells (SOFCs). Ionics 2015, 21, 301–318. [Google Scholar] [CrossRef]
- Kurokawa, H.; Yang, L.; Jacobson, C.P.; De Jonghe, L.C.; Visco, S.J. Y-doped SrTiO3 based sulfur tolerant anode for solid oxide fuel cells. J. Power Sources 2007, 164, 510–518. [Google Scholar] [CrossRef]
- Tamm, K.; Küngas, R.; Gorte, R.J.; Lust, E. Solid oxide fuel cell anodes prepared by infiltration of strontium doped lanthanum vanadate into doped ceria electrolyte. Electrochim. Acta 2013, 106, 398–405. [Google Scholar] [CrossRef]
- Niu, B.; Jin, F.; Fu, R.; Feng, T.; Shen, Y.; Liu, J.; He, T. Pd-impregnated Sr1.9VMoO6-δ double perovskite as an efficient and stable anode for solid-oxide fuel cells operating on sulfur-containing syngas. Electrochim. Acta 2018, 274, 91–102. [Google Scholar] [CrossRef]
- Shao, L.; Si, F.; Fu, X.Z.; Luo, J.L. Archiving high-performance solid oxide fuel cells with titanate anode in sulfur- and carbon-containing fuels. Electrochim. Acta 2018, 280, 9–13. [Google Scholar] [CrossRef]
- Niu, B.; Jin, F.; Liu, J.; Zhang, Y.; Jiang, P.; Feng, T.; Xu, B.; He, T. Highly carbon- and sulfur-tolerant Sr2TiMoO6-δ double perovskite anode for solid oxide fuel cells. Int. J. Hydrogen Energy 2019, 44, 20404–20415. [Google Scholar] [CrossRef]
- Cai, W.; Cao, D.; Zhou, M.; Yan, X.; Li, Y.; Wu, Z.; Lü, S.; Mao, C.; Xie, Y.; Zhao, C.; et al. Sulfur-tolerant Fe-doped La0.3Sr0.7TiO3 perovskite as anode of direct carbon solid oxide fuel cells. Energy 2020, 211, 118958. [Google Scholar] [CrossRef]
- Yaremchenko, A.A.; Macías, J.; Kovalevsky, A.V.; Arias-Serrano, B.I.; Frade, J.R. Electrical conductivity and thermal expansion of Ln-substituted SrTiO3 for solid oxide cell electrodes and interconnects: The effect of rare-earth cation size. J. Power Sources 2020, 474, 228531. [Google Scholar] [CrossRef]
- Slater, P.R.; Fagg, D.P.; Irvine, J.T.S. Synthesis and electrical characterisation of doped perovskite titanates as potential anode materials for solid oxide fuel cells. J. Mater. Chem. 1997, 7, 2495–2498. [Google Scholar] [CrossRef]
- Marina, O.A.; Canfield, N.L.; Stevenson, J.W. Thermal, electrical, and electrocatalytical properties of lanthanum-doped strontium titanate. Solid State Ion. 2002, 149, 21–28. [Google Scholar] [CrossRef]
- Hashimoto, S.; Kindermann, L.; Poulsen, F.W.; Mogensen, M. A study on the structural and electrical properties of lanthanum-doped strontium titanate prepared in air. J. Alloys Compd. 2005, 397, 245–249. [Google Scholar] [CrossRef]
- Łącz, A.; Drożdż, E. Porous Y and Cr-doped SrTiO3 materials—Electrical and redox properties. J. Solid State Electrochem. 2019, 23, 2989–2997. [Google Scholar] [CrossRef]
- Hashimoto, S.; Poulsen, F.W.; Mogensen, M. Conductivity of SrTiO3 based oxides in the reducing atmosphere at high temperature. J. Alloys Compd. 2007, 439, 232–236. [Google Scholar] [CrossRef]
- Neagu, D.; Irvine, J.T.S. Structure and properties of La0.4Sr0.4TiO3 ceramics for use as anode materials in solid oxide fuel cells. Chem. Mater. 2010, 22, 5042–5053. [Google Scholar] [CrossRef]
- Yaremchenko, A.A.; Naumovich, E.N.; Patrício, S.G.; Merkulov, O.V.; Patrakeev, M.V.; Frade, J.R. Rare-earth—substituted strontium titanate: Insight into local oxygen-rich structures and redox kinetics. Inorg. Chem. 2016, 55, 4836–4849. [Google Scholar] [CrossRef] [PubMed]
- Hui, S.; Petric, A. Conductivity and stability of SrVO3 and mixed perovskites at low oxygen partial pressures. Solid State Ionics 2001, 143, 275–283. [Google Scholar] [CrossRef]
- Cheng, Z.; Zha, S.; Aguilar, L.; Liu, M. Chemical, electrical, and thermal properties of strontium doped lanthanum vanadate. Solid State Ion. 2005, 176, 1921–1928. [Google Scholar] [CrossRef]
- Macías, J.; Yaremchenko, A.A.; Frade, J.R. Redox transitions in strontium vanadates: Electrical conductivity and dimensional changes. J. Alloys Compd. 2014, 601, 186–194. [Google Scholar] [CrossRef]
- Rey, M.J.; Dehaudt, P.; Joubert, J.C.; Lambert-Andron, B.; Cyrot, M.; Cyrot-Lackmann, F. Preparation and structure of the compounds SrVO3 and Sr2VO4. J. Solid State Chem. 1990, 86, 101–108. [Google Scholar] [CrossRef]
- Macías, J.; Yaremchenko, A.A.; Rodríguez-Castellón, E.; Starykevich, M.; Frade, J.R. Compromising between phase stability and electrical performance: SrVO3-SrTiO3 solid solutions as solid oxide fuel cell anode components. ChemSusChem 2019, 12, 240–251. [Google Scholar] [CrossRef]
- Macías, J.; Yaremchenko, A.A.; Frade, J.R. Enhanced stability of perovskite-like SrVO3-based anode materials by donor-type substitutions. J. Mater. Chem. A 2016, 4, 10186–10194. [Google Scholar] [CrossRef]
- Macías, J.; Yaremchenko, A.A.; Fagg, D.P.; Frade, J.R. Structural and defect chemistry guidelines for Sr(V,Nb)O3-based SOFC anode materials. Phys. Chem. Chem. Phys. 2015, 17, 10749–10758. [Google Scholar] [CrossRef]
- Tsuiki, H.; Kitazawa, K.; Fueki, K. The donor level of V4+ and the metal-nonmetal transition in SrTi1-xVxO3. Jpn. J. Appl. Phys. 1983, 22, 590–596. [Google Scholar] [CrossRef]
- Hong, K.; Kim, S.H.; Heo, Y.J.; Kwon, Y.U. Metal-insulator transitions of SrTi1-xVxO3 solid solution system. Solid State Commun. 2002, 123, 305–310. [Google Scholar] [CrossRef]
- Serôdio Costa, B.F.; Arias-Serrano, B.I.; Yaremchenko, A.A. Development of Ni-Sr(V,Ti)O3-δ fuel electrodes for solid oxide fuel cells. Materials 2022, 15, 278. [Google Scholar] [CrossRef] [PubMed]
- Wang, J.; Li, H.; Li, H.; Yin, S.; Sato, T. Visible-light induced photocatalytic activity of vanadium and nitrogen co-doped SrTiO3. Solid State Phenom. 2009, 147–149, 851–855. [Google Scholar] [CrossRef]
- Hoang, V.Q.T.; Phan, T.Q.P.; Senthilkumar, V.; Doan, V.T.; Kim, Y.S.; Le, M.V. Enhanced photocatalytic activities of vanadium and molybdenum co-doped strontium titanate under visible light. Int. J. Appl. Ceram. Technol. 2019, 16, 1651–1658. [Google Scholar] [CrossRef]
- Deng, C.; Zeng, Y.; Zhao, J.; Wang, C. Effect of doping vanadium on optical and photocatalytic properties of SrTiO3. Acta Mater. Compos. Sin. 2019, 36, 2950–2958. [Google Scholar] [CrossRef]
- Bantawal, H.; Shenoy, U.S.; Bhat, D.K. Vanadium-doped SrTiO3 nanocubes: Insight into role of vanadium in improving the photocatalytic activity. Appl. Surf. Sci. 2020, 513, 145858. [Google Scholar] [CrossRef]
- Park, C.S.; Hong, M.H.; Cho, H.H.; Park, H.H. Enhancement of Seebeck coefficient of mesoporous SrTiO3 with V-group elements V, Nb, and Ta substituted for Ti. J. Eur. Ceram. Soc. 2018, 38, 125–130. [Google Scholar] [CrossRef]
- Mantry, S.P.; Yadav, A.; Fahad, M.; Sarun, P.M. Effect of vanadium substitution on the dielectric and electrical conduction properties of SrTiO3 ceramics. Mater. Res. Express 2018, 5, 036303. [Google Scholar] [CrossRef]
- Elcogen Solid Oxide Fuel Cell User Manual (Version 2.2021, Updated 29 October 2021). Available online: https://elcogen.com/wp-content/uploads/2022/10/Elcogen-User-Manual-2910202170-1.pdf (accessed on 10 December 2023).
- Kupecki, J.; Niemczyk, A.; Jagielski, S.; Kluczowski, R.; Kosiorek, M.; Machaj, K. Boosting solid oxide electrolyzer performance by fine tuning the microstructure of electrodes—Preliminary study. Int. J. Hydrogen Energy 2023, 48, 26436–26445. [Google Scholar] [CrossRef]
- Shannon, R.D. Revised effective ionic radii and systematic studies of interatomic distances in halides and chaleogenides. Acta Crystallogr. A 1976, 32, 751–767. [Google Scholar] [CrossRef]
- Yamaguchi, I.; Manabe, T.; Tsuchiya, T.; Nakajima, T.; Sohma, M.; Kumagai, T. Preparation and characterization of epitaxial VO2 films on sapphire using postepitaxial topotaxy route via epitaxial V2O3 films. Jpn. J. Appl. Phys. 2008, 47, 1022–1027. [Google Scholar] [CrossRef]
- Brown, J.J., Jr. Phase equilibria in the system SrO-CdO-V2O5. J. Am. Ceram. Soc. 1972, 55, 500–503. [Google Scholar] [CrossRef]
- Krasnenko, T.I.; Tugova, N.P.; Slobodin, B.V.; Fotiev, A.A.; Syrneva, O.N.; Kiyaeva, G.A. Phase composition and sequence of transformations in SrO-V2O5 system. Depos. Doc. VINITI 1983, 2866–2883, 1–12. [Google Scholar]
- Fotiev, A.A.; Slobodin, B.V.; Khodos, M.Y.; Pletnev, R.N. Vanadates. Composition, Synthesis, Structure, Properties; Nauka: Moscow, Russia, 1988. [Google Scholar]
- Flandermeyer, B.F.; Agarwal, A.K.; Anderson, H.U.; Nasrallah, M.M. Oxidation-reduction behaviour of La-doped SrTiO3. J. Mater. Sci. 1984, 19, 2593–2598. [Google Scholar] [CrossRef]
- Moos, R.; Härdtl, K.H. Defect chemistry of donor-doped and undoped strontium titanate ceramics between 1000° and 1400 °C. J. Am. Ceram. Soc. 1997, 80, 2549–2562. [Google Scholar] [CrossRef]
- Baglio, J.A.; Dann, J.N. The crystal structure of beta strontium pyrovanadate. J. Solid State Chem. 1972, 4, 87–93. [Google Scholar] [CrossRef]
- Tietz, F. Thermal Expansion of SOFC Materials. Ionics 1999, 5, 129–139. [Google Scholar] [CrossRef]
- Krasnenko, T.I.; Petrov, V.S.; Kudrina, L.V.; Andrianova, L.V.; Fotiev, A.A. Electrical conductivity polytherms, vaporization rate and unit cell constants of Sr and Cd pyrovanadates. Inorg. Mater. 1991, 27, 1271–1273. [Google Scholar]
- Atkinson, A.; Barnett, S.; Gorte, R.J.; Irvine, J.T.S.; McEvoy, A.J.; Mogensen, M.; Singhal, S.C.; Vohs, J. Advanced anodes for high temperature fuel cells. Nat. Mater. 2004, 3, 17–27. [Google Scholar] [CrossRef]
- Duranti, L.; Luisetto, I.; Licoccia, S.; Del Gaudio, C.; Di Bartolomeo, E. Electrochemical performance and stability of LSFMn+NiSDC anode in dry methane. Electrochim. Acta 2020, 362, 137116. [Google Scholar] [CrossRef]








| Nominal y | STV-P | STV-C | |||
|---|---|---|---|---|---|
| a, Å | Density, g/cm3 | Relative Density, % 1 | Density, g/cm3 | ||
| 0.1 | 3.9059(1) | 3.20 | 63 | 2.31 | |
| 0.2 | 3.9047(1) | 3.30 | 64 | 2.38 | |
| 0.3 | 3.9042(1) | 3.29 | 64 | 2.81 | |
| Composition | T Range, °C | × 106, K−1 |
|---|---|---|
| STV10-P | 30–1000 | 11.2 |
| STV20-P | 30–1000 | 11.1 |
| STV30-P | 30–1000 | 11.1 |
| STV30-C | 30–1000 | 12.1 |
| SrTiO3 [16] | 30–1100 | 11.7 |
| 8YSZ, (ZrO2)0.92(Y2O3)0.08 [50] | 30–1000 | 10.9 |
| CGO20, Ce0.8Gd0.2O2−δ [50] | 30–1000 | 12.7 |
| LSGM, La0.9Sr0.1Ga0.8Mg0.2O3−δ [50] | 30–1000 | 11.4 |
| Nominal y | σ, S/cm (900 °C, p(O2)~10−20 atm) | ||
|---|---|---|---|
| STV-P | STV-C | SrTi1−yVyO3−δ [28] 1 | |
| 0.1 | 0.12 | 0.58 | 0.096 |
| 0.2 | 0.072 | 1.2 | 0.56 |
| 0.3 | 0.12 | 3.4 | 3.3 |
Disclaimer/Publisher’s Note: The statements, opinions and data contained in all publications are solely those of the individual author(s) and contributor(s) and not of MDPI and/or the editor(s). MDPI and/or the editor(s) disclaim responsibility for any injury to people or property resulting from any ideas, methods, instructions or products referred to in the content. |
© 2023 by the authors. Licensee MDPI, Basel, Switzerland. This article is an open access article distributed under the terms and conditions of the Creative Commons Attribution (CC BY) license (https://creativecommons.org/licenses/by/4.0/).
Share and Cite
Macías, J.; Frade, J.R.; Yaremchenko, A.A. SrTiO3-SrVO3 Ceramics for Solid Oxide Fuel Cell Anodes: A Route from Oxidized Precursors. Materials 2023, 16, 7638. https://doi.org/10.3390/ma16247638
Macías J, Frade JR, Yaremchenko AA. SrTiO3-SrVO3 Ceramics for Solid Oxide Fuel Cell Anodes: A Route from Oxidized Precursors. Materials. 2023; 16(24):7638. https://doi.org/10.3390/ma16247638
Chicago/Turabian StyleMacías, Javier, Jorge R. Frade, and Aleksey A. Yaremchenko. 2023. "SrTiO3-SrVO3 Ceramics for Solid Oxide Fuel Cell Anodes: A Route from Oxidized Precursors" Materials 16, no. 24: 7638. https://doi.org/10.3390/ma16247638
APA StyleMacías, J., Frade, J. R., & Yaremchenko, A. A. (2023). SrTiO3-SrVO3 Ceramics for Solid Oxide Fuel Cell Anodes: A Route from Oxidized Precursors. Materials, 16(24), 7638. https://doi.org/10.3390/ma16247638

