Green Synthesis of Advanced Carbon Materials Used as Precursors for Adsorbents Applied in Wastewater Treatment
Abstract
1. Introduction
2. Materials and Methods
2.1. Sample Origin and Characterization
2.2. Fourier Transform Infrared (FTIR) Spectroscopy Analysis
2.3. Thermal Analysis ATG
2.4. Scanning Electron Microscopy (SEM) Analysis
2.5. Transmission Electron Microscopy (TEM) Analysis
2.6. BET Analysis and Adsorption Processes
2.7. Pyrogenation of Waste Biomass by Microwave Heating
2.8. ACMP Synthesis
3. Results and Discussion
3.1. Proximate and Ultimate Analysis Results
3.2. Optical Microscopy
3.3. Complex Characterization of the Wastes
3.3.1. Fourier-Transform Infrared (FTIR) Spectroscopy Analysis
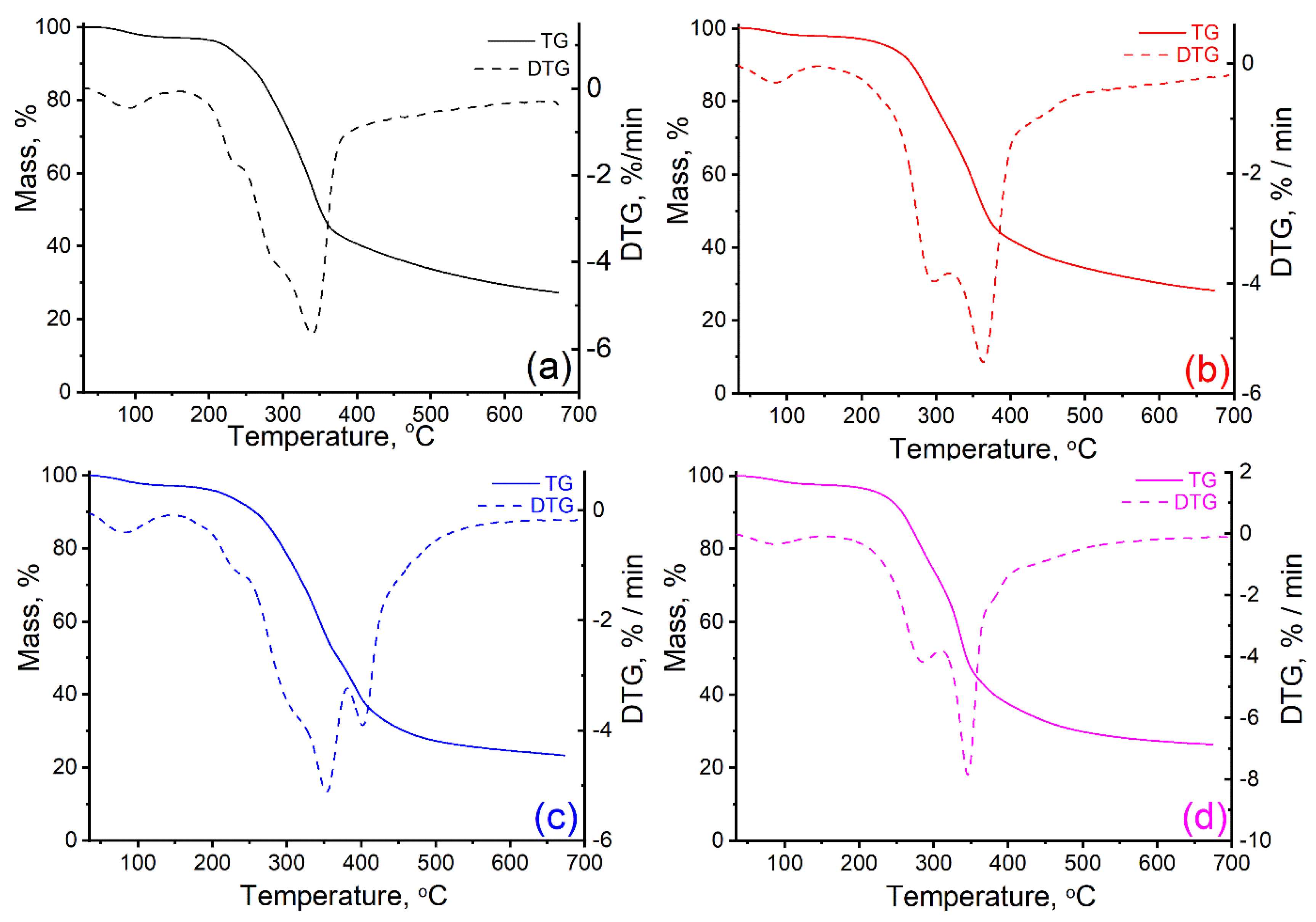
3.3.2. TGA-DTG Results and Thermal Decomposition Behavior
- -
- hemicellulose content: walnut shells < apricot kernels ≈ peach kernels ≈ olive kernels
- -
- cellulose content: apricot kernels < olive kernels < peach kernels << walnut shells
- -
- lignin content: walnut shells < peach kernels < olive kernels < apricot kernels
3.3.3. Scanning Electron Microscopy (SEM) Analysis
3.4. Synthesis of ACMP by Microwave Process
3.5. ACMP Characteristics
3.5.1. Physico–Chemical
3.5.2. Transmission Electron Microscopy (TEM) Analysis
3.5.3. Adsorption Characteristics
- -
- Physical-textural structure and increased purity of waste (ash < 1%), determines the adsorption capacity.
- -
- Porosity depends both on the native structure of the raw material, on the temperature and microwave heating rate, and synthesis duration.
- -
- Low heating rates lead to an increased number of fine pores, which, favors the product quality.
3.5.4. Microscopic Characteristics
- ACMP has a specific microstructure, characterized by a generally small and very small porosity, located in the walls of the larger pores.
- ACMP microstructures are specific to the different constituents of the original biomass.
- The cellular structure mainly shows rounded pores.
- The very fibrous structure, finely porous, with rounded pore walls, reveals links through radial chains with elongated pores.
- The structural composition of the granules that form the walls of the degassed pores is noticeable, and in some samples, there is a very high total porosity.
4. Conclusions
Author Contributions
Funding
Institutional Review Board Statement
Informed Consent Statement
Data Availability Statement
Conflicts of Interest
References
- Sharma, A.; Jindal, J.; Mittal, A.; Kumari, K.; Maken, S.; Kumar, N. Carbon Materials as CO2 adsorbents: A Review. Environ. Chem. Lett. 2021, 19, 875–910. [Google Scholar] [CrossRef]
- United Nation Environmental Program (UNEP). Nairobi. 1988. Available online: https://digitallibrary.un.org/record/41381 (accessed on 16 November 2022).
- Marsh, H.; Rodriguez-Reinoso, F. Activated Carbon; Elsevier: London, UK, 2006; p. 525. [Google Scholar]
- Cha, J.S.; Park, S.H.; Jung, S.-C.; Ryu, C.; Jeon, J.-K.; Shin, M.-C.; Park, Y.-K. Production and utilization of biochar: A review. J. Ind. Eng. Chem. 2016, 40, 1–15. [Google Scholar] [CrossRef]
- Tang, W.; Zhang, Y.; Zhong, Y.; Shen, T.; Wang, X.; Xia, X.; Tu, J. Natural biomass-derived carbons for electrochemical energy storage. Mater. Res. Bull. 2017, 88, 234–241. [Google Scholar] [CrossRef]
- Sweetman, M.J.; May, S.; Mebberson, N.; Pendleton, P.; Vasilev, K.; Plush, S.E.; Hayball, J.D. Activated carbon, carbon nanotubes and graphene: Materials and composites for advanced water purification. J. Carbon Res. 2017, 3, 18. [Google Scholar] [CrossRef]
- Frank, J.; Ruhl, A.S.; Jekel, M. Impacts of backwashing on granular activated carbon filters for advanced wastewater treatment. Water Res. 2015, 87, 166–174. [Google Scholar] [CrossRef]
- Gibert, O.; Lefèvre, B.; Fernández, M.; Bernat, X.; Paraira, M.; Pons, M. Fractionation and removal of dissolved organic carbon in a full-scale granular activated carbon filter used for drinking water production. Water Res. 2013, 47, 2821–2829. [Google Scholar] [CrossRef]
- Moreno-Castilla, C. Adsorption of organic molecules from aqueous solutions on carbon materials. Carbon 2004, 42, 83–94. [Google Scholar] [CrossRef]
- Smith, S.C.; Rodrigues, D.F. Carbon-based nanomaterials for removal of chemical and biological contaminants from water: A review of mechanisms and applications. Carbon 2015, 91, 122–143. [Google Scholar] [CrossRef]
- Bhatnagar, A.; Hogland, W.; Marques, M.; Sillanpää, M. An overview of the modification methods of activated carbon for its water treatment applications. Chem. Eng. J. 2013, 219, 499–511. [Google Scholar] [CrossRef]
- Richardson, S.D.; Kimura, S.Y. Water analysis: Emerging contaminants and current issues. Anal. Chem. 2016, 88, 546–582. [Google Scholar] [CrossRef]
- Pavoni, B.; Drusian, D.; Giacometti, A.; Zanette, M. Assessment of organic chlorinated compound removal from aqueous matrices by adsorption on activated carbon. Water Res. 2006, 40, 3571–3579. [Google Scholar] [CrossRef]
- Predeanu, G.; Axinte, S.M.; Drăgoescu, M.F.; González, Z.; Álvarez, P.; Granda, M.; Menéndez, R.; Fiti, A.; Acevedo, B.; Melendi-Espina, S.; et al. Microwave heating as a novel route for obtaining carbon precursors from anthracene oil. Fuel Process. Technol. 2019, 192, 250–257. [Google Scholar] [CrossRef]
- Gonzáles, Z.; Acevedo, B.; Predeanu, G.; Axinte, S.M.; Drăgoescu, M.F.; Slăvescu, V.; Fernandez, J.J.; Granda, M.; Gryglewicz, G.; Melendi-Espina, S. Graphene materials from microwave-derived carbon precursors. Fuel Process. Technol. 2021, 217, 106803. [Google Scholar] [CrossRef]
- Malode, S.J.; Shanbhag, M.M.; Kumari, R.; Dkhar, D.S.; Chandra, P.; Shetti, P.N. Biomass-derived carbon nanomaterials for sensor applications. J. Pharm. Biomed. Anal. 2023, 222, 115102. [Google Scholar] [CrossRef] [PubMed]
- Liu, P.; Wang, Y.; Liu, J. Biomass-derived porous carbon materials for advanced lithium sulfur batteries. J. Energy Chem. 2019, 34, 171–185. [Google Scholar] [CrossRef]
- Imram, A.; Arsh Basheer, A.; Mblanda, X.Y.; Burakov, A.; Galunin, E.; Burakova, I.; Mkrtchyan, E.; Tkachev, A.; Grachev, V. Graphene based adsorbents for remediation of noxious pollutants from wastewater. Environ. Int. 2019, 127, 160–180. [Google Scholar]
- Tofighy, M.A.; Toraj, M. Advanced Carbon Nanomaterials as Adsorbents. In Advanced Nanomaterials; Springer: Cham, Switzerland, 2022; pp. 127–153. [Google Scholar] [CrossRef]
- Thines, R.K.; Mubarak, N.M.; Nizabuddin, S.; Sahu, J.N.; Abdullah, E.C.; Ganesan, P. Application Potential of Carbon Materials in Water and Wastewater Treatment: A Review. J. Taiwan Inst. Chem. Eng. 2017, 72, 116–133. [Google Scholar] [CrossRef]
- Matatov-Meytal, U.; Sheintuch, M. Activated carbon cloth-supported Pd-Cu catalyst: Application for continuous water denitrification. Catal. Today 2005, 102, 121–127. [Google Scholar] [CrossRef]
- Gao, S.; Chen, G.; Hu, A.; Yue, P.L. Catalytic wet air oxidation of waste watater containing ammonia and phenol over activated carbon supported Pt catalysts. Catal. Today 2003, 88, 37–47. [Google Scholar]
- Mondal, P.; Balomajunder, C.; Mohanty, B. A laboratory study for the treatment of arsenic, iron, and manganese bearing ground water using Fe3+ impregnated activated carbon: Effects of shaking time, pH and temperature. J. Hazard. Mater. 2007, 144, 420–426. [Google Scholar] [CrossRef]
- Wang, X.; Zhu, N.; Yin, B. Preparation of sludge-based activated carbon and its application in dye wastewater treatment. J. Hazard. Mater. 2008, 153, 22–27. [Google Scholar] [CrossRef] [PubMed]
- Mahmuda, K.N.; Wen, T.H.; Zakaria, Z.A. Activated carbon and biochar from pineapple waste biomass for the methylene blue removal. Environ. Toxicol. Manag. 2021, 1, 30–36. [Google Scholar] [CrossRef]
- Kamarudin, N.S.; Dahalan, F.A.; Hasan, M.; An, O.S.; Parmin, N.A.; Ibrahim, N.; Hamdzah, N.A.M.; Zain, N.A.M.; Mada, K.; Wikurendra, E.A. Biochar: A review of its history, characteristics, factors that influence its yield, methods of production, application in wastewater treatment and recent development. Biointerface Res. Appl. Chem. 2022, 12, 7914–7926. [Google Scholar]
- Mohan, D.; Singh, K.P.; Singh, V.K. Wastewater treatment using low cost activated carbons derived from agricultural byproducts—A case study. J. Hazard. Mater. 2008, 152, 1045–1053. [Google Scholar] [CrossRef] [PubMed]
- Issahaeva, G.; Aroua, M.K.; Sulaiman, N.M. Continuous adsorption of lead ions in a column packed with palm shell activated carbon. J. Hazard. Mater. 2008, 155, 109–113. [Google Scholar]
- Ahn, C.K.; Lee, M.W.; Lee, D.S.; Woo, S.H.; Park, J.M. Mathematical evaluation of activated carbon adsorption for surfactant recovery in a soil washing process. J. Hazard. Mater. 2008, 160, 13–19. [Google Scholar] [CrossRef]
- Wu, Y.; Ma, X.; Feng, M.; Liu, M. Behavior of chromium and arsenic on activated carbon. J. Hazard. Mater. 2008, 159, 380–384. [Google Scholar] [CrossRef] [PubMed]
- Predeanu, G. Activated carbon for environment protection. Metall. New Mater. Res. 2003, 12, 20–29. [Google Scholar]
- Albăstroiu, P.; Lambescu, S.; Predeanu, G.; Slăvescu, V. Technology to obtain charcoal and activated carbon from fruit stones. Metall. New Mater. Res. 2004, XII 3, 1–10. [Google Scholar]
- Predeanu, G.; Albăstroiu, P.; Ţicleanu, N.; Lambescu, S.; Dobrescu, M.; Slăvescu, V. Procedure for Activated Carbon Manufacturing. Patent No. 120334 B1 (C 01 B 31/10), 30 December 2005. [Google Scholar]
- Predeanu, G.; Panaitescu, C. Petrographical evaluation of xylite activated carbon. Int. J. Coal Geol. 2007, 71, 542–553. [Google Scholar] [CrossRef]
- Predeanu, G. Turning wastes into high grade ecoproducts. In Proceedings of the 2nd IASME/WSEAS International Conference on Energy and Environment Proceedings, Portoroz, Slovenia, 15–17 May 2007; Krope, J., Garbai, L., Kozic, D., Darko, G., Eds.; WSEAS Press: Portoroz, Slovenia, 2007; pp. 18–23. [Google Scholar]
- Chipurici, P.; Călinescu, P.; Gavrilă, A.; Avram, R.; Trifan, A.; Predeanu, G.; Lambescu, S.; Slăvescu, V. New environmentally friendly adsorbents used for petrochemical wastewater treatment. Ovidius Univ. Ann. Chem. 2007, 18, 152–156. [Google Scholar]
- Predeanu, G.; Lambescu, S.; Slăvescu, V.; Panaitescu, C.; Mihăiescu, D. MCM manufacturing from renewable raw materials. Metall. New Mater. Res. 2008, XVI2, 31–43. [Google Scholar]
- Chipurici, P.; Călinescu, I.; Gavrilă, A.; Predeanu, G. Wastewater treatment using multipurpose carbon materials (MCM). UPB Sci. Bull. Ser. B Chem. Mater. Sci. 2009, 72, 83–92. [Google Scholar]
- Predeanu, G.; Panaitescu, C. Optical properties of some carbon types. Rev. Roum. Chim. 2010, 55, 311–317. [Google Scholar]
- Panaitescu, C.; Predeanu, G. Petrographic research applied to carbon materials. Rev. Roum. Chem. 2010, 55, 301–310. [Google Scholar]
- Moore, C.; Brown, S.; MacDonald, P.; Ewen, M.; Broadbent, H. European Electricity Review, 2022, Report February, EMBER. Available online: https://ember-climate.org/app/uploads/2022/02/Report-EER.pdf (accessed on 19 December 2022).
- Sakhiya, A.K.; Anand, A.; Kaushal, P. Production, activation, and applications of biochar in recent times. Biochar 2020, 2, 253–285. [Google Scholar] [CrossRef]
- Huang, K.; Yang, X.; Zhu, H. Dynamics in Microwave Chemistry; Springer Nature: Singapore, 2021; p. 169. [Google Scholar]
- Ethaib, S.; Omar, R.; Kamal, S.M.M.; Awang Biak, D.R.; Zubaidi, S.L. Microwave-Assisted Pyrolysis of Biomass Waste: Mini Review. Processes 2020, 8, 1190. [Google Scholar] [CrossRef]
- Motasemi, F.; Afzal, M.T. A review on the microwave-assisted pyrolysistechnique. Renew. Sustain. Energy Rev. 2013, 28, 317–330. [Google Scholar] [CrossRef]
- Kan, T.; Strezov, V.; Evans, T.J. Lignocellulosic biomass pyrolysis: A review of product properties and effects of pyrolysis parameters. Renew. Sustain. Energy Rev. 2016, 57, 1126–1140. [Google Scholar] [CrossRef]
- Li, J.; Dai, J.J.; Liu, G.Q.; Zhang, H.D.; Gao, Z.P.; Fu, J.; He, Y.F.; Huang, Y. Biochar from microwave pyrolysis of biomass: A review. Biomass Bioenergy 2016, 94, 228–244. [Google Scholar] [CrossRef]
- Zhang, Y.; Zhao, W.; Li, B.; Xie, G. Microwave-assisted pyrolysis of biomass for bio-oil production: A review of the operation parameters. J. Energy Resour. Technol. 2018, 140, 040802. [Google Scholar] [CrossRef]
- Papari, S.; Hawboldt, K. A review on the pyrolysis of woody biomass to bio-oil: Focus on kinetic models. Renew. Sustain. Energy Rev. 2015, 52, 1580–1595. [Google Scholar] [CrossRef]
- Fuad, M.A.H.M.; Hasan, M.F.; Ani, F.N. Microwave torrefaction for viable fuel production: A review on theory, affecting factors, potential and challenges. Fuel 2019, 253, 512–526. [Google Scholar] [CrossRef]
- State, R.N.; Volceanov, A.; Muley, P.; Boldor, D. A review of catalysts used in microwave assisted pyrolysis and gasification. Bioresour. Technol. 2019, 277, 179–194. [Google Scholar] [CrossRef]
- Beneroso, D.; Monti, T.; Kostas, E.T.; Robinson, J. Microwave pyrolysis of biomass for bio-oil production: Scalable processing concepts. Chen. Eng. J. 2017, 316, 481–498. [Google Scholar] [CrossRef]
- Huang, Y.F.; Chiueh, P.T.; Lo, S.L. A review on microwave pyrolysis of lignocellulosic biomass. Sustain. Environ. Res. 2016, 26, 103–109. [Google Scholar] [CrossRef]
- Chen, L.; Yu, Z.; Xu, H.; Wan, K.; Liao, Y.; Ma, X. Microwave-assisted co-pyrolysis of Chlorella vulgaris and wood sawdust using different additives. Bioresour. Technol. 2019, 273, 34–39. [Google Scholar] [CrossRef]
- Amalina, F.; Syukor, A.; Razak, A.; Krishnan, S.; Sulaiman, H.; Zularisam, A.W.; Nasrullah, M. Biochar production techniques utilizing biomass waste-derived materials and environmental applications—A review. J. Hazard. Mater. Adv. 2022, 7, 100134. [Google Scholar] [CrossRef]
- SR ISO 1988; Coals. Samples Selection. Romanian Standard Association: Bucharest, Romania, 1996; p. 12. (In Romanian)
- SR ISO 5069-2; Brown Coals and Lignite. Principles of Sampling. Part 2: Sampling for Determination of Moisture Content and for General Analysis. Romanian Standard Association: Bucharest, Romania, 1994; p. 14. (In Romanian)
- STAS 5264; Solid fuels. Total Moisture Determination. Romanian Standard Association: Bucharest, Romania, 1995; p. 10. (In Romanian)
- SR ISO 331; Coals. Determination of the Sample Moisture Content to Be Analyzed. Direct Gravimetric Method. Romanian Standard Association: Bucharest, Romania, 1994; p. 8. (In Romanian)
- SR ISO 1171; Solid Mineral Fuels. Determination of Ash. Romanian Standard Association: Bucharest, Romania, 1994; p. 6. (In Romanian)
- STAS 5268; Solid Fuels. Volatiles Matters, Coke and Fixed Carbon Determination. Romanian Standard Association: Bucharest, Romania, 1990; p. 8. (In Romanian)
- STAS 8160; Calcined Petroleum Coke. Density Determination. Romanian Standard Association: Bucharest, Romania, 1981; p. 5. (In Romanian)
- ISO 7404-2; Methods for the Petrographic Analysis of Coals-Part 2: Methods of Preparing Coal Samples. International Organization for Standardization: Geneva, Switzerland, 2009; p. 12.
- Farhan, A.M.; Salem, N.M.; Al-Dujaili, A.H.; Awwad, A.M. Biosorption studies of Cr (VI) ions from electroplating wastewater by walnut shell powder. Am. J. Environ. Eng. 2012, 2, 188–195. [Google Scholar] [CrossRef]
- Ojo, T.A.; Ojedokun, A.T.; Bello, O.S. Functionalization of powdered walnut shell with orthophosphoric acid for Congo red dye removal. Part. Sci. Technol. 2017, 37, 74–85. [Google Scholar] [CrossRef]
- Rasool, T.; Srivastava, V.C. Utilization of a waste biomass, walnut shells, to produce bio-products via pyrolysis: Investigation using ISO-conversional and neural network methods. Biomass Convers. Biorefinery 2018, 8, 647–657. [Google Scholar] [CrossRef]
- Khemmari, F.; Benrachedi, K. Environmental effects valorization of peach stones to high efficient activated carbon: Synthesis, characterization and application for Cr (VI) removal from aqueous medium. Energy Sources Part A Recover. Util. Environ. Eff. 2019, 42, 688–699. [Google Scholar] [CrossRef]
- Markovi, S.; Stankovi, A.; Lazarevi, S.; Uskokovi, D.; Stojanovi, M. Application of raw peach shell particles for removal of methylene blue. J. Environ. Chem. Eng. 2015, 3, 716–724. [Google Scholar] [CrossRef]
- Morales, A.; Labidi, J. Integral valorisation of walnut shells based on a three-step sequential delignification. J. Environ. Manag. 2022, 310, 114730. [Google Scholar] [CrossRef] [PubMed]
- Sostaric, T.; Petrovic, M.; Milojkovic, J. Application of apricot stone waste from fruit processing industry in environmental cleanup: Copper biosorption study. Fruits 2015, 70, 271–280. [Google Scholar] [CrossRef]
- Benallou, M.B.; Benderdouche, N.; Benaouda, B.; Nadia, D. Valorization of olive stones into a granular activated carbon for the removal of Methylene blue in batch and fixed bed modes. J. Mater. Environ. Sci. 2018, 9, 272–284. [Google Scholar] [CrossRef]
- Arslan, F.N. ATR–FTIR spectroscopy combined with chemometrics for rapid classification of extra virgin olive oils and edible oils from different cultivars available on the Turkish markets. Eskişehir Tech. Univ. J. Sci. Technol. A Appl. Sci. Eng. 2018, 19, 926–947. [Google Scholar] [CrossRef]
- Fadhil, A.B. Evaluation of apricot (Prunus armeniaca L) seed kernel as a potential feedstock for the production of liquid biofuels and activated carbons. Energy Convers. Manag. 2017, 133, 307–317. [Google Scholar] [CrossRef]
- Moubarik, A.; Grimi, N. Valorization of olive stone and sugar cane bagasse by-products as biosorbents for the removal of cadmium from aqueous solution. Food Res. Int. 2015, 73, 169–175. [Google Scholar] [CrossRef]
- Yi, Y.J.; Lai Fui Chin, B.; Tan, J.K.; Loh, Y.S. Comparative studies on the pyrolysis of cellulose, hemicellulose, and lignin based on combined kinetics. J. Energy Inst. 2017, 92, 27–37. [Google Scholar]
- Gagliano, A.; Nocera, F.; Patania, F.; Bruno, M.; Scirè, S. Kinetic of the pyrolysis process of peach and apricot its by TGA and DTGA analysis. Int. J. Heat Technol. 2016, 34, 553–560. [Google Scholar] [CrossRef]
- Ozveren, Z.; Ozdogan, S. Investigation of the slow pyrolysis kinetics of olive oil pomace using thermo-gravimetric analysis coupled with mass spectrometry. Biomass Bioenergy 2013, 58, 168–179. [Google Scholar] [CrossRef]
- Chamli, D.; Bootello, M.A.; Bouali, I.; Jouhri, S.; Boukhchina, S.; Martínez-Force, E. Chemical characterization and thermal properties of kernel oils from Tunisian peach and nectarine varieties of Prunus persica. Grasas Y Aceites 2017, 68, 211. [Google Scholar] [CrossRef]
- Li, X.; Qiu, J.; Hu, Y.; Ren, X. Characterization and comparison of walnut shells-based activated carbons and their adsorptive properties. Adsorpt Sci. Technol. 2020, 38, 450–463. [Google Scholar] [CrossRef]
- Tatjana, D.Š.; Petrovi, M.S.; Pastor, F.T.; Lon, D.R.; Petrovi, J.T.; Milojkovi, J.V.; Stojanović, M.D. Study of heavy metals biosorption on native and alkali-treated apricot shells and its application in wastewater treatment. J. Mol. Liq. 2018, 259, 340–349. [Google Scholar]
- Jankovi, B.; Dodevski, V.; Radovi, I.; Pijovi, M. Physico-chemical characterization of carbonized apricot kernel shell as precursor for activated carbon preparation in clean technology utilization. J. Clean. Prod. 2019, 236, 117614. [Google Scholar] [CrossRef]
- Neniţescu, C.D. Cellulose. In Organic Chemistry, 7th ed.; Didactică şi Pedagogică: Bucharest, Romania, 1974; Volume 2, pp. 289–301. (In Romanian) [Google Scholar]
- Alexandrescu, G.; Sobaru, P.; Feldman, D.; Diaconescu, V. Wood processing. In Chemist Engineer Book; Tehnică: Bucharest, Romania, 1958; Volume 6, pp. 784–796. (In Romanian) [Google Scholar]
- Lee, Y.; Eum, P.-R.-B.; Ryu, C.; Park, Y.-K.; Jung, J.-H.; Hyun, S. Characteristics of biochar produced from slow pyrolysis of Geodae-Uksae. Bioresour. Technol. 2013, 130, 345–350. [Google Scholar] [CrossRef]
- Sun, J.; He, F.; Pan, Y.; Zhang, Z. Effects of pyrolysis temperature and residence time on physicochemical properties of different biochar types. Acta Agric. Scand. Sect. B-Soil Plant Sci. 2017, 67, 12–22. [Google Scholar] [CrossRef]
- Cheng, J.; Xu, Q.; Wang, X.; Li, Z.; Wu, F.; Shao, J.; Xie, H. Ultrahigh-surface-area nitrogen-doped hierarchically porous carbon materials derived from chitosan and betaine hydrochloride sustainable precursors for high-performance supercapacitors. Sustain. Energy Fuels 2019, 3, 1215–1224. [Google Scholar] [CrossRef]
- Lawal, A.A.; Hassan, M.A.; Zakaria, M.R.; Yusoff, M.Z.M.; Norrrahim, M.N.F.; Mokhtar, M.N.; Shirai, Y. Effect of oil palm biomass cellulosic content on nanopore structure and adsorption capacity of biochar. Bioresour. Technol. 2021, 332, 125070. [Google Scholar] [CrossRef]
- Jian, X.; Zhuang, X.; Li, B.; Xu, X.; Wei, Z.; Song, Y.; Jiang, E. Comparison of characterization and adsorption of biochars produced from hydrothermal carbonization and pyrolysis. Environ. Technol. Innov. 2018, 10, 27–35. [Google Scholar] [CrossRef]
- Park, J.H.; Ok, Y.S.; Kim, S.H.; Kang, S.W.; Cho, J.S.; Heo, J.S.; Delaune, R.D.; Seo, D.C. Characteristics of biochars derived from fruit tree pruning wastes and their effects on lead adsorption. J. Korean Soc. Appl. Biol. Chem. 2015, 58, 751–760. [Google Scholar] [CrossRef]
- Thommes, M.; Kaneko, K.; Neimark, A.V.; Olivier, J.P.; Rodriguez-Reinoso, F.; Rouquerol, J.; Sing, K.S.W. Physisorption of gases, with special reference to the evaluation of surface area and pore size distribution (IUPAC Technical Report). Pure Appl. Chem. 2015, 87, 1051–1069. [Google Scholar] [CrossRef]













| Sample ID | W1 | W2 | W3 | W4 |
|---|---|---|---|---|
| Biomass Type/Characteristics | Walnut Shell | Peach Kernels | Apricot Kernels | Olive Kernels |
| Total moisture, wt% | 8.61 | 8.21 | 7.59 | 7.92 |
| Moisture analysis, Wa, % | 2.35 | 3.44 | 1.97 | 1.19 |
| Ash (db), % | 0.71 | 0.38 | 0.86 | 0.60 |
| Volatile (db), % | 78.25 | 78.70 | 80.77 | 77.29 |
| Fixed carbon (db), % | 21.04 | 20.92 | 18.37 | 22.11 |
| C, % | 47.149 | 47.906 | 51.124 | 47.995 |
| H, % | 6.039 | 5.938 | 6.948 | 6.369 |
| N, % | 2.163 | 1.140 | 1.605 | 0.585 |
| O, % | 41.968 | 39.753 | 38.038 | 39.819 |
| Real density, g/cm3 | 1.4139 | 1.3759 | 1.3236 | 1.3632 |
| Volumetric weight, g/cm3 | 0.253 | 0.375 | 0.365 | 0.598 |
| ACMP | Walnut Shells | Peach Kernels | Apricot Kernels | Olive Kernels | |||||||
|---|---|---|---|---|---|---|---|---|---|---|---|
| ID Characteristic | 1 | 2 | 3 | 4 | 5 | 6 | 7 | 8 | 9 | 10 | |
| Wa, % | 1.43 | 1.43 | 1.68 | 0.51 | 0.98 | 1.63 | 0.9 | 1.92 | 2.05 | 1.87 | |
| Ash (db), % | 2.17 | 2.41 | 2.5 | 3.03 | 2.03 | 2.09 | 2.79 | 1.2 | 2.44 | 1.34 | |
| Volatile (db), % | 17.51 | 9.2 | 7.02 | 7.63 | 11.25 | 4.48 | 4.76 | 6.84 | 11 | 5.51 | |
| Fixed carbon (db), % | 80.32 | 88.39 | 90.48 | 89.34 | 86.72 | 93.43 | 92.45 | 91.96 | 86.56 | 93.15 | |
| Real density, g/cm3 | 1.4287 | 1.5449 | 1.5562 | 1.5549 | 1.4785 | 1.614 | 1.5921 | 1.5504 | 1.4961 | 1.5964 | |
| Volumetric weight, g/cm3 | 0.382 | 0.384 | 0.389 | 0.356 | 0.31 | 0.339 | 0.333 | 0.32 | 0.377 | 0.368 | |
| C, % | 79.244 | 82.534 | 84.913 | 84.181 | 82.456 | 84.765 | 83.448 | 86.587 | 82.847 | 79.138 | |
| H, % | 2.960 | 1.898 | 1.772 | 1.926 | 2.478 | 1.411 | 1.588 | 1.898 | 2.457 | 1.650 | |
| N, % | 0.577 | 0.511 | 0.529 | 0.552 | 0.622 | 1.246 | 0.623 | 0.686 | 1.302 | 0.577 | |
| O, % | 2.725 | 2.654 | 8.771 | 6.308 | 12.977 | 6.144 | 2.853 | 3.288 | 2.462 | 7.464 | |
| Iodine index, mg/g | 274.89 | 417.11 | 455 | 440.8 | 383.92 | 469.27 | 438.44 | 488.37 | 303.38 | 397.34 | |
| SBET, m2/g | 33.081 | 172.762 | 295.192 | 252.456 | 70.776 | 251.039 | 138.624 | 231.749 | 11.353 | 114.373 | |
| Sµ, m2/g | 12.749 | 129.092 | 160.030 | 117.725 | 12.001 | 127.652 | 62.256 | 154.852 | 0 | 55.336 | |
| Vµ, cm3/g | 0.005 | 0.053 | 0.066 | 0.044 | 0.004 | 0.052 | 0.024 | 0.066 | 0 | 0.022 | |
| Vtot, cm3/g | 0.023 | 0.091 | 0.148 | 0.133 | 0.048 | 0.096 | 0.078 | 0.123 | 0.012 | 0.074 | |
| Waste Type | Heating Rate | Decomposition Stage | Tonset | Tpeak | W | T10 | T20 |
|---|---|---|---|---|---|---|---|
| °C/min | °C | °C | % | °C | °C | ||
| Walnut shells | 10 | I | 48 | 88 | 3.01 | 253 | 287 |
| II | 207 | - | 5.16 | ||||
| III | 254 | 339 | 52.02 | ||||
| IV | 410 | - | 12.61 | ||||
| Residue | 27.2 | ||||||
| Peach kernels | 10 | I | 54 | 82 | 2.14 | 268 | 296 |
| II | 242 | 290 | 23.38 | ||||
| III | 327 | 353 | 32.87 | ||||
| IV | 404 | - | 13.37 | ||||
| Residue | 28.24 | ||||||
| Apricot kernels | 10 | I | 49 | 78 | 2.8 | 258 | 295 |
| II | 163 | - | 22.42 | ||||
| III | 323 | 344 | 25.44 | ||||
| IV | 375 | 391 | 26.04 | ||||
| Residue | 23.3 | ||||||
| Olive kernels | 10 | I | 42 | 85 | 2.48 | 257 | 284 |
| II | 231 | 278 | 23.46 | ||||
| III | 317 | 336 | 28.98 | ||||
| IV | 357 | - | 18.67 | ||||
| Residue | 26.41 |
| Test ID | Waste Type | Maximum Temp., °C (1) | Heating Rate, °C/min | Time, min. (2) | Power Density MW, W/g | |
|---|---|---|---|---|---|---|
| Initial | Final | |||||
| T1 | Walnut shells | 600 | 14.7 | 60 | 3.07 | 12.56 |
| T2 | 650 | 11.91 | 15 | 2.94 | 11.79 | |
| T3 | 630 | 30 | 45 | 5.72 | 12.57 | |
| T4 | 650 | 21 | 45 | 5.72 | 11.46 | |
| T5 | 700 | 29.05 | 45 | 5.29 | 10.05 | |
| T6 | 755 | 24.06 | 20 | 5.97 | 25.00 | |
| T7 | 650 | 10.86 | 22 | 5.75 | 23.74 | |
| T8 | Peach kernels | 650 | 35.12 | 50 | 4.80 | 18.97 |
| T9 | Apricot kernels | 650 | 113.8 | 60 | 4.70 | 17.45 |
| T10 | Olive kernels | 650 | 41.6 | 45 | 4.94 | 18.75 |
| Iodine Index, mg/g | SBET, m2/g | Sµ, m2/g | Vµ, cm3/g | Vtot, cm3/g | |
|---|---|---|---|---|---|
| Iodine index, mg/g | 1 | ||||
| SBET, m2/g | 0.845563177 | 1 | |||
| Sµ, m2/g | 0.767467391 | 0.9437926 | 1 | ||
| Vµ, cm3/g | 0.752376997 | 0.9300672 | 0.9979294 | 1 | |
| Vtot, cm3/g | 0.808159814 | 0.9606189 | 0.90532 | 0.8852413 | 1 |
Disclaimer/Publisher’s Note: The statements, opinions and data contained in all publications are solely those of the individual author(s) and contributor(s) and not of MDPI and/or the editor(s). MDPI and/or the editor(s) disclaim responsibility for any injury to people or property resulting from any ideas, methods, instructions or products referred to in the content. |
© 2023 by the authors. Licensee MDPI, Basel, Switzerland. This article is an open access article distributed under the terms and conditions of the Creative Commons Attribution (CC BY) license (https://creativecommons.org/licenses/by/4.0/).
Share and Cite
Predeanu, G.; Slăvescu, V.; Drăgoescu, M.F.; Bălănescu, N.M.; Fiti, A.; Meghea, A.; Samoila, P.; Harabagiu, V.; Ignat, M.; Manea-Saghin, A.-M.; et al. Green Synthesis of Advanced Carbon Materials Used as Precursors for Adsorbents Applied in Wastewater Treatment. Materials 2023, 16, 1036. https://doi.org/10.3390/ma16031036
Predeanu G, Slăvescu V, Drăgoescu MF, Bălănescu NM, Fiti A, Meghea A, Samoila P, Harabagiu V, Ignat M, Manea-Saghin A-M, et al. Green Synthesis of Advanced Carbon Materials Used as Precursors for Adsorbents Applied in Wastewater Treatment. Materials. 2023; 16(3):1036. https://doi.org/10.3390/ma16031036
Chicago/Turabian StylePredeanu, Georgeta, Valerica Slăvescu, Marius Florin Drăgoescu, Niculina Mihaela Bălănescu, Alexandru Fiti, Aurelia Meghea, Petrisor Samoila, Valeria Harabagiu, Maria Ignat, Ana-Maria Manea-Saghin, and et al. 2023. "Green Synthesis of Advanced Carbon Materials Used as Precursors for Adsorbents Applied in Wastewater Treatment" Materials 16, no. 3: 1036. https://doi.org/10.3390/ma16031036
APA StylePredeanu, G., Slăvescu, V., Drăgoescu, M. F., Bălănescu, N. M., Fiti, A., Meghea, A., Samoila, P., Harabagiu, V., Ignat, M., Manea-Saghin, A.-M., Vasile, B. S., & Badea, N. (2023). Green Synthesis of Advanced Carbon Materials Used as Precursors for Adsorbents Applied in Wastewater Treatment. Materials, 16(3), 1036. https://doi.org/10.3390/ma16031036

