Next Article in Journal
Highly Washable and Conductive Cotton E-textiles Based on Electrochemically Exfoliated Graphene
Next Article in Special Issue
Investigation of Hydrogen and Oxygen Evolution on Cobalt-Nanoparticles-Supported Graphitic Carbon Nitride
Previous Article in Journal
Antibacterial Effect of Carbon Nanomaterials: Nanotubes, Carbon Nanofibers, Nanodiamonds, and Onion-like Carbon
 
 
Font Type:
Arial Georgia Verdana
Font Size:
Aa Aa Aa
Line Spacing:
Column Width:
Background:
Article

A p–n Junction by Coupling Amine-Enriched Brookite–TiO2 Nanorods with CuxS Nanoparticles for Improved Photocatalytic CO2 Reduction

1
School of Chemistry and Environmental Engineering, Wuhan Institute of Technology, Donghu New & High Technology Development Zone, Wuhan 430205, China
2
College of Chemistry and Chemical Engineering, Wuhan Textile University, Wuhan 430200, China
3
State Key Laboratory of New Textile Materials and Advanced Processing Technologies, Wuhan Textile University, Wuhan 430200, China
*
Authors to whom correspondence should be addressed.
Materials 2023, 16(3), 960; https://doi.org/10.3390/ma16030960
Submission received: 23 December 2022 / Revised: 14 January 2023 / Accepted: 17 January 2023 / Published: 19 January 2023
(This article belongs to the Special Issue Design and Characterization of Energy Catalytic Materials)

Abstract

Photocatalytic CO2 reduction is a promising technology for reaching the aim of “carbon peaking and carbon neutrality”, and it is crucial to design efficient photocatalysts with a rational surface and interface tailoring. Considering that amine modification on the surface of the photocatalyst could offer a favorable impact on the adsorption and activation of CO2, in this work, amine-modified brookite TiO2 nanorods (NH2-B-TiO2) coupled with CuxS (NH2-B-TiO2-CuxS) were effectively fabricated via a facile refluxing method. The formation of a p–n junction at the interface between the NH2-B-TiO2 and the CuxS could facilitate the separation and transfer of photogenerated carriers. Consequently, under light irradiation for 4 h, when the CuxS content is 16%, the maximum performance for conversion of CO2 to CH4 reaches at a rate of 3.34 μmol g−1 h−1 in the NH2-B-TiO2-CuxS composite, which is approximately 4 times greater than that of pure NH2-B-TiO2. It is hoped that this work could deliver an approach to construct an amine-enriched p–n junction for efficient CO2 photoreduction.

Graphical Abstract

1. Introduction

The excessive emission of CO2 resulting from the acceleration of industrialization and use of fossil fuel has caused global warming and serious environmental problems [1]. Photocatalytic CO2 reduction, denoted as “artificial photosynthesis”, is a promising technology for CO2 conversion [2,3,4]. It is critical to develop efficient photocatalysts through surface and interface engineering [5,6]. Semiconductor TiO2 has attracted extensive attention concerning CO2 photoreduction owing to its stability, low cost, and low toxicity. However, TiO2 is an n-type semiconductor with a wide band gap, and the disadvantages of limited light harvesting and poor electron–hole pair separation are not conducive to highly efficient photocatalytic CO2 reduction [7,8,9].
Construction of a p–n junction is one promising approach to facilitate the separation of photogenerated carriers and improve the utilization of solar energy [10,11,12,13]. Fan et al. reported that 3D CuS@ZnIn2S4 p–n heterojunctions with 2D/2D nanosheet subunits can promote the separation of photogenerated carriers and accelerate carrier transfer [14]. Yu et al. suggested that a CuO/TiO2 p–n heterojunction can improve the separation efficiency of photogenerated electron–hole pairs [15]. It is well known that CuS and Cu2S are p-type semiconductors with narrow bandgaps [16,17]. When coupling CuxS with TiO2, upon light irradiation, an internal electric field is established with the formation of a p–n heterojunction. Accordingly, the lower flat band potential of CuxS allows for the transfer of photoexcited electrons from CuxS to TiO2, while the holes diffuse from TiO2 to CuxS [18,19], which could suppress the charge recombination to achieve an efficient separation of electrons and holes during the photocatalytic process. In this regard, the formation of a TiO2/CuxS p–n junction has potential for improving photocatalytic CO2 reduction. However, most of the studies upon TiO2/CuS p–n junctions focus on the applications of photocatalytic pollution degradation and hydrogen (H2) energy generation from water [19,20,21,22]. There are few works relevant to photocatalytic CO2 reduction by designing TiO2/CuS composites. Recently, Lee et al. [23] reported a CuSx-TiO2 film could effectively promote photogenerated charge separation for CO2 photoreduction. It is still a challenge to rationally design CuSx-TiO2 p–n junctions for efficient CO2 photoreduction.
Due to the unique surface state and higher conduction band position of brookite TiO2 compared to anatase and rutile [24,25], great potential has emerged in the field of photocatalytic CO2 reduction. Liu et al. reported that defective brookite TiO2 had the highest yield for CO and CH4 production among the three TiO2 polymorphs [26]. Subsequently, Peng’s group studied exposed-crystal-face controlling [27], the construction of heterojunctions [28], and supported metal cocatalysts and dual cocatalysts [29,30] to improve the CO2 photoreduction activity of brookite TiO2. In fact, the activation and adsorption of CO2 are significant factors to enhance CO2 photoreduction [31,32,33]. Surface amine modification has attracted great attention in this issue, because the amine groups can not only promote the adsorption and activation of CO2, but also coordinate with other metal ions to bind closely. Jin et al. [32] reported that surface amine modification enhances the activity of metal@TiO2 photocatalysts. On the basis of the above backgrounds, in this work, amine-modified brookite TiO2 nanorods coupled with CuxS nanoparticles has been successfully fabricated. A significant p–n junction is formed between the NH2-B-TiO2-CuxS interface, which effectively improves the transfer and separation of charge carriers. The composition and morphology of NH2-B-TiO2 are characterized and the improved performance of photocatalytic CO2 reduction is also discussed.

2. Experimental

2.1. Reagents

All the analytical reagents were used without advance refinement. Tetrabutyl titanate (TBOT), thioacetamide (TAA) and copper (II) acetate monohydrate (Cu(CH3COO)2·H2O) were purchased from Aladdin in China. Ethanediamine (EDA), ethylene glycol (EG) and absolute ethyl alcohol were provided by Sinopharm Chemical Reagent Co., Ltd. (Shanghai, China). All the experiments were conducted with deionized water.

2.2. Materials Synthesis

Synthesis of amine-modified brookite TiO2 (NH2-B-TiO2): First, titanium glycolate precursor was synthesized based on our previous reports [34,35,36]; 5 mL tetrabutyl titanate (TBT) was placed into a round-bottomed flask containing 180 mL ethylene glycol (EG) and swirled with magnetic force for 1 h at 120 °C. The white powder material was washed five times with deionized water and once with anhydrous ethanol before being dried at 60 °C for 48 h. To make amine-modified brookite TiO2, 0.5 g of the as-prepared titanium glycolate precursor was disseminated in 35 mL of deionized water and 35 mL of ethylenediamine by ultrasonic treatment, and this mixture was uniformly transferred to a 100 mL Teflon-lined stainless-steel autoclave and then placed in an oven at 180 °C for 12 h. Following filtration and washing with deionized water 5 times and with anhydrous ethanol once, finally, the product was gathered after drying at 60 °C for 12 h.
Synthesis of brookite TiO2 (B-TiO2): Thus method is similar to the method used to prepare amine-modified brookite TiO2. Firstly, titanium glycolate precursor was synthesized and then 0.5 g of the as-prepared titanium glycolate precursor was dispersed in 64 mL of deionized water and 6 mL NaOH (1 mol/L) using ultrasonic treatment, which was evenly transferred to a 100 mL Teflon-lined stainless-steel autoclave and later heated at 180 °C for 12 h. Following filtration and washing with deionized water and anhydrous ethanol to pH = 7, the product was gathered and dried at 60 °C for 12 h.
Synthesis of CuxS particles: First, 100 mg Cu(CH3COO)2·H2O (0.5 mmol) was added to a round-bottomed flask containing 20 mL of anhydrous ethanol in an oil bath held at 80 °C under magnetic stirring, to which 42 mg of TAA was added, and kept at reflux for 4 h. The obtained product was centrifuged and washed numerous times with distilled water and anhydrous alcohol.
Synthesis of NH2-B-TiO2-CuxS: As-synthesized NH2-B-TiO2 (12.5, 25, 50 mg, respectively) and 10 mg Cu(CH3COO)2·H2O were added to a round-bottomed flask containing 20 mL of anhydrous ethanol in an oil bath held at 80 °C under magnetic stirring, then we added 42 mg of TAA and kept at reflux for 4 h. Then, the suspension was washed with distilled water and distilled alcohol several times via centrifugation. Finally, the obtained product was dried at 60 °C for 12 h. Different ratios of NH2-B-TiO2-CuxS composites were denoted as NH2-B-TiO2-CuxS-n, where n represented the molar ratio of CuxS, and the values of n were 8, 16, and 32, respectively.

2.3. Characterization of Photocatalysts

X-ray powder diffraction (XRD) measurements were carried out on an Ultima IV X-ray diffractometer with Cu Kα radiation in a range of 10–80° and the scan rate was 10°/min at 40 kV and 30 mA. Fourier-transform infrared (FT-IR) spectra were collected on a Nicolet iS10 IR spectrometer to analyze the chemical bonds and functional groups of the material. Scanning electron microscopy (SEM) and energy-dispersive X-ray spectroscopy (EDX) techniques on a JSM 2100 electron microscope operating at a 200 kV accelerating voltage were used to display the morphologies and elemental dispersion of the samples. X-ray photoelectron spectroscopy (XPS) spectra were measured using Thermo Scientific K-Alpha with an Al Kα X-ray sources (hν = 1486.6 eV, 12 kV 6 mA). All binding energies were calibrated through the C 1s peak at 284.8 eV. UV–vis diffuse reflectance spectrum (UV–vis DRS) was investigated on a Shimadzu UV-2550 spectrometer in a range of 200–800 nm. The photocurrent and electrochemical impedance measurements were performed on a CHI 760E electrochemical workstation, including a standard three-electrode system in 0.2 M Na2SO4 solution, where Pt wire, Hg/HgCl2, and the as-prepared product were used as counter electrode, reference electrode, and working electrode, respectively. Mott–Schottky (M-S) and photocurrent decay plots were also carried out on a CHI 760E electrochemical workstation in 0.2 M Na2SO4 solution. Among them, the preparation process of the working electrode involved weighing 10 mg of the sample in the sample tube and then adding 1 mL N, N dimethylformamide (DMF) and 20 μL Dupont Nafion membrane solution, which was then stirred for 30 min; after it was completely uniform, we used a pipette gun to transfer 30 μL of the mixed solution coated on the FTO conductive glass. Finally, it was dried in a vacuum oven.

2.4. Evaluation of Photocatalytic CO2 Reduction

The photocatalytic reduction of CO2 was evaluated under irradiation of 300 W xenon lamp and its wavelength was used to simulate sunlight in a gas-closed quartz reactor with a volume of 200 mL. Typically, 50 mg of the as-prepared catalyst was dispersed completely in 1 mL of deionized water in a glass Petri dish, which was then transferred to a quartz reactor with a bottom of 10 mL of deionized water. The reactor was bubbled with high-purity CO2 gas for half an hour and the air inside was exhausted prior to illumination. Then, the reaction system was sealed and we turned on the xenon lamp. Subsequently, 1 mL of gaseous product was extracted from the glass reactor by a sampling needle every 1 h, and an irradiation duration of 4 h was applied and analyzed using a gas chromatograph (GC-7900, CEAULIGHT Beijing, China) equipped with an FID detector while N2 gas served as the carrier gas. The reactor temperature was maintained at 25 °C and atmospheric pressure after starting the photocatalytic reaction.

3. Results and Characterization

The formation process of CuxS particles supported on amine-modified brookite nanorods is shown in Figure 1. Firstly, the titanium glycolate precursor is synthesized by a simple reflux method. Subsequently, ethylenediamine is introduced to prepare amine- modified brookite TiO2 nanorods via a hydrothermal method. Finally, CuxS nanoparticles are deposited on the as-synthesized brookite TiO2 nanorods by a refluxing method using copper acetate monohydrate and thioacetamide (TAA) as the precursors.
Figure 2a shows the X-ray diffraction (XRD) pattern of the as-prepared samples to analyze the composition of the sample. It can be seen that the prepared pure brookite TiO2 matches well with the standard one (JCPDF No. 15-875), while the obtained CuxS corresponds to a mixture of the CuS phase (JCPDF No.65-3588) and low-chalcocite Cu2S phase (JCPDF No. 65-3816). It can be found that the peaks of brookite TiO2 appear in all the as-prepared composites. However, the peaks of CuxS can only be found in the NH2-B-TiO2-CuxS 32% sample, which may be due to the strong diffraction peaks of brookite TiO2 and low contents of CuxS particles in this composite. The UV-Vis absorption (UV-DRS) spectra of the as-synthesized materials are displayed in Figure 2b. It became apparent that the pristine NH2-B-TiO2 has an absorption edge at around 390 nm. However, the NH2-B-TiO2-CuxS composites show red shift to the visible light region (400–800 nm), and the light absorption intensity gradually increases with the increase in CuxS loading. Further, the Fourier-transform infrared (FT-IR) is used to analyze the chemical bonds and functional groups of the sample. Figure 2c shows FT-IR spectra of the NH2-B-TiO2 and NH2-B-TiO2-CuxS-16% samples, in which the brookite TiO2 (B-TiO2) (XRD in Figure 2d) is also prepared in the presence of NaOH for comparison. Indeed, the B-TiO2 has no amine modification, while the NH2-B-TiO2 and NH2-B-TiO2-CuxS samples have two new peaks located at ~1620 and ~3400 cm−1, respectively, which may be attributed to the N–H bending vibration and N–H stretching vibration, respectively [37,38].
To further confirm the composition of the sample, X-ray photoelectron spectroscopy (XPS) analysis was also performed to study the composition and surface chemical status of samples. Figure 3a shows the full XPS survey spectra of the NH2-B-TiO2, CuxS, and NH2-B-TiO2-CuxS samples. Among them, the full XPS survey spectra of the NH2-B-TiO2-CuxS composite confirms the existence of N, Ti, O, Cu, and S elements. In Figure 3d, for N 1s in NH2-B-TiO2, the binding energy peak at 400 and 401.2 is attributed to the NH2 group and N-H bonds [37,39], respectively, which suggests amine modification was achieved. After loading CuxS, the N 1s peak shifted positively and it was proposed that the amines donate their lone pair of electrons on N atoms to Cu. For NH2-B-TiO2, the high-resolution XPS spectra of Ti 2p are shown in Figure 3b, and two tiny peaks observed at 458.6 and 464.3 eV are related to Ti 2p3/2 and Ti 2p1/2, respectively, which indicates the presence of Ti4+ [40,41]. Furthermore, Figure 3c exhibits two peaks located at 529.8 and 530.7 eV, which correspond to lattice oxygen and chemisorbed and dissociated oxygen, respectively [42,43,44]. For CuxS, as shown in Figure 3e, the peaks at 932.6 and 952.7 eV belong to Cu 2p1/2 and Cu 2p3/2 of Cu+ species, respectively [45,46], while the peak positions at 935.6 and 955.6 eV are consistent with Cu 2p3/2 and Cu 2p1/2 of Cu2+ [47]. These characteristic peaks with a spin–orbit separation of 20 eV indicate the presence of Cu2+ ions [16]. In addition, the other two satellite peaks of Cu+ and Cu2+ appear at 940.7 and 944.7 eV, respectively. Figure 3f displays the high-resolution spectrum at the S 2p region. The typical peak at 162.3 eV is from S 2p of S2− [48,49]; moreover, a small peak at 169.1 eV is ascribed to SO42−, which is due to S2− being oxidized partially [50,51]. However, in the NH2-B-TiO2-CuxS composite, all the binding energies of Ti, O, and N shift to higher regions, whereas Cu and S shift to lower binding energies compared with the pristine TiO2 and CuxS. It might be attributed to chemical interaction and electron transfer in the p–n junction formed at the interface of NH2-B-TiO2 and CuxS [52].
The morphology structures of the as-prepared materials are further determined by SEM. Figure 4a shows that the as-prepared NH2-B-TiO2 is a rod-like structure with a diameter of 600–800 nm and a length of 2.5–3.5 μm. It can be observed that the microrods assemble with many tiny nanoparticles distributed on the surface. Figure 4b is an SEM image of CuxS, in which the size and morphology are difficult to determine due to the phenomenon of particle aggregation. As shown in Figure 4c, CuxS particles are dispersed on the surface of NH2-B-TiO2 nanorods. In addition, energy-dispersive X-ray spectroscopy (EDX) mapping images of the NH2-B-TiO2-CuxS composites show the presence and even distribution of Ti, O, N, Cu, and S elements on the surface of the nanorod in Figure 4d–i, which further confirms that NH2-B-TiO2 and CuxS are hybridized uniformly.
In order to explore further CO2 photoconversion efficiency, the photocatalytic CO2 reduction performances of the as-obtained materials are evaluated in the presence of H2O using a gas chromatograph. As shown in Figure 5a, under the irradiation of a 300 W xenon lamp, only CH4 was detected in the photocatalytic process of all samples, which may be because the prepared materials only meet the reduction potential of CO2 reduction to CH4 (E0 = −0.24 eV). All the samples have the activity of photocatalytic reduction of CO2 into CH4, except for the bare CuxS. Among those samples, the brookite TiO2 modified with amines (NH2-B-TiO2) has superior capability to that of B-TiO2, indicating that amine modification has a positive effect on the reduction of CO2 to CH4. With loading of CuxS nanoparticles, the NH2-B-TiO2-CuxS composites have enhanced performances for photocatalytic CO2 reduction into CH4. In particular, the NH2-B-TiO2 shows a low CH4 production rate of about 0.73 μmol g−1 h−1, while the optimized NH2-B-TiO2-CuxS-16% sample has a yield rate of 3.34 μmol g−1 h−1, which is 4-fold more than that of the pure NH2-B-TiO2. Those results suggest that the CuxS could act as a cocatalyst in the amine-enriched B-TiO2-CuxS composite for improvements in photocatalytic CO2 reduction compared to pristine ones. Typically, to evaluate the stability of the as-synthesized photocatalyst, the photocatalytic CO2 reduction activity with five-run cycling of the NH2-B-TiO2-CuxS 16% sample is tested (Figure 5b). It can be found that the activity of CO2 photoconversion to CH4 is unstable, and the yield of CH4 production gradually decreases, which could be attributed to the deactivation of the composite resulting from the oxidation of CuxS.
Figure 6 shows the XPS spectra of Cu 2p of the NH2-B-TiO2-CuxS 16% sample after the photocatalytic reaction. It can be observed that the valence state of copper displays obvious changes. The binding energies of 932.7 and 952.7 eV are ascribed to Cu 2p3/2 and Cu 2p1/2, respectively, a typical peak location of Cu2+ in CuS [14,20]. A weak satellite peak around 944 eV further indicates the presence of Cu2+ [53]. These results indicate that Cu+ was completely oxidized to Cu2+ after the photocatalytic reaction in this photocatalysis system, which might weaken the cycling performance of the NH2-B-TiO2-CuxS composite.
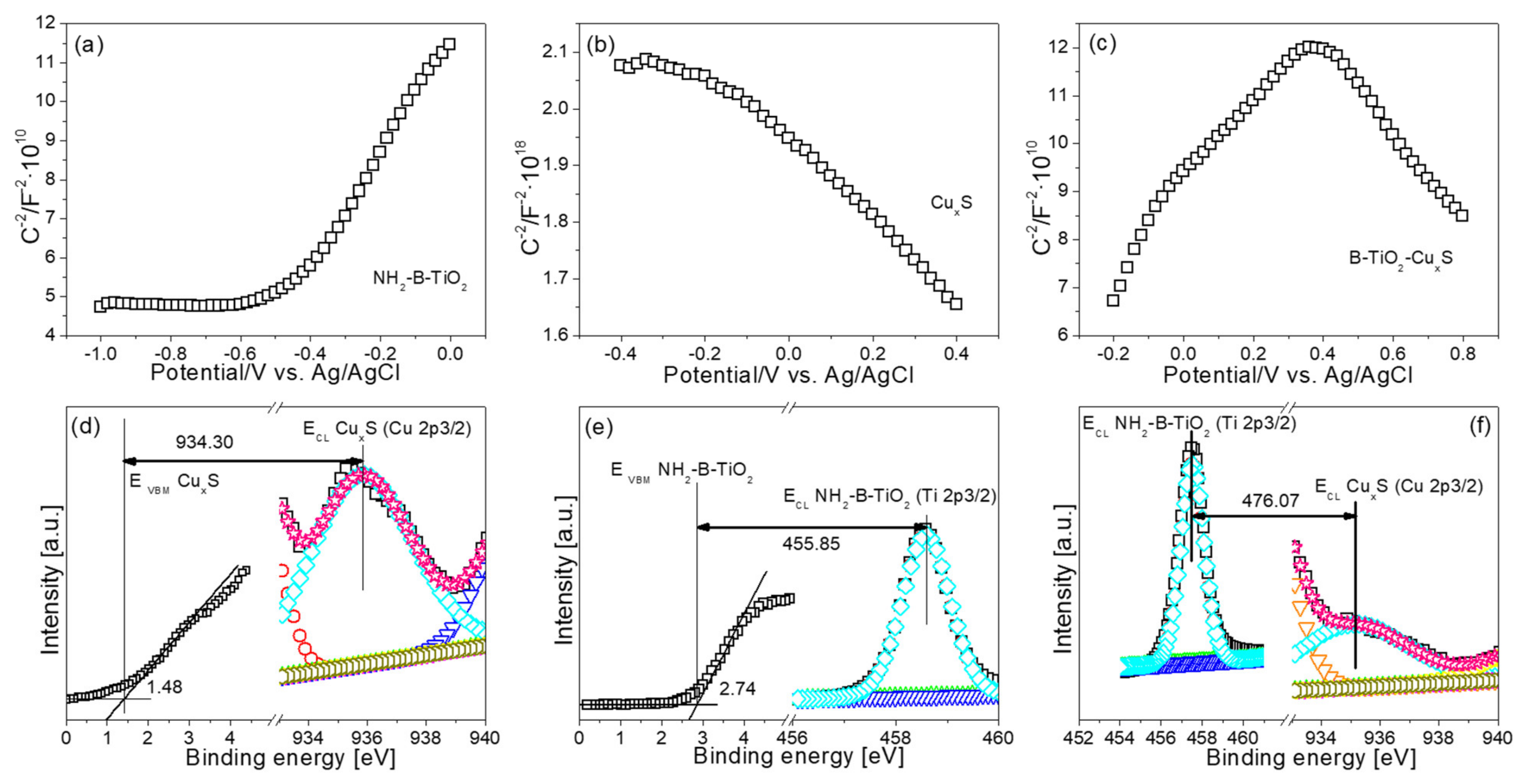
As a matter of fact, as shown in the Mott–Schottky curve in Figure 7a–c, the slope of NH2-B-TiO2 is positive, suggesting an n-type semiconductor [54]. At the same time, the slope of CuxS is negative, suggesting that CuxS is an p-type semiconductor. However, the NH2-B-TiO2-CuxS-16% composite exhibits an inverted “V- shape”, being a symbol of a typical p–n junction [55,56], which indicates that a p–n heterojunction could be constructed between the NH2-B-TiO2 and CuxS. In addition, the formation of the p–n heterojunction is further confirmed by valence band (VB)-XPS and core-level spectrum analyses. As shown in Figure 7d–f, the band alignment of NH2-B-TiO2 and CuxS between the NH2-B-TiO2-CuxS heterojunction interface can be calculated according to the following: Equations (1)–(3) [57].
Δ E VBO = ( E CL Cu x S E VBM Cu x S ) ( E CL TiO 2 E VBM TiO 2 ) + Δ E CL Int
E CL Int = ( E CL TiO 2 E CL Cu x S )   NH 2 - B - TiO 2 - CuxS 16 %
E CBO = E g CuxS E g TiO 2  
In the above equations, the Δ EVBO represents the valence band offset, which is the energy difference between the core energy level (ECL) and the valence band maximum (EVBM) in a pure material; meanwhile, Δ E CL Int illuminates the energy difference between the core levels. ∆ECBO represents the conduction band offset. Further, the band gap of the as-synthesized materials is calculated according to the Kubelka–Munk function in Figure 8a,b [58,59], and the band gap energies of pure NH2-B-TiO2 and CuxS are 3.14 and 2.04 eV, respectively. Based on the information reflected from the XPS and DRS analyses, Figure 8e reveals   Δ EVBO = 2.38 eV and ∆ECBO = 1.28 eV for the NH2-B-TiO2-CuxS nanocomposite. The VB-XPS spectra are verified, as shown in Figure 8c,d, as the valence band position for NH2-B-TiO2 and CuxS is 2.74 and 1.48 eV, respectively [60]. Therefore, the conduction band position of NH2-B-TiO2 and CuxS can be calculated as −0.4 and −0.56, respectively. In this regard, the formation of such a p–n junction and the resulting charge transfer are shown in Figure 8e. After contact, the Fermi levels of NH2-B-TiO2 and CuxS move down and up, respectively, until an equilibrium state is reached. When a built-in electric field between the NH2-B-TiO2 and CuxS interface is established, this allows for the electrons in CuxS to migrate to NH2-B-TiO2 while the holes in NH2-B-TiO2 are transferred to the CuxS. It is proposed that CuxS as a cocatalyst promotes the efficient separation of photogenerated charge carriers.
Generally, the separation efficiency of photogenerated electrons and holes has a significant impact on the photocatalytic performance [61,62,63]. Herein, photo/electrochemical measurements are carried out to study the charge transfer of the as-synthesized materials. In Figure 9a, the photocurrent density of the NH2-B-TiO2-CuxS-16% composite is higher than pure NH2-B-TiO2, which indicates that the loading of CuxS can effectively prevent recombination of the photogenerated electrons and holes. As shown in Figure 9b, the semicircle radius of the NH2-B-TiO2-CuxS-16% sample is smaller than that of pure NH2-B-TiO2, implying that the charge carriers have a rapid transfer rate on the composite.
Based on the above results and discussions, a possible CO2 photoreduction process is proposed in Figure 9c. Before the photoreduction reaction, the surface amine modification is helpful for the adsorption and activation of CO2 [31,37]. Under irradiation of a light source, n-type (NH2-B-TiO2) and p-type semiconductors (CuxS) generate photogenerated electrons in the conduction band (CB) and holes in the valence band (VB). The CB of NH2-B-TiO2 is more positive than that of CuxS, and the VB of CuxS is more negative than that of NH2-B-TiO2. After contact between NH2-B-TiO2 and the CuxS interface, the built-in electric field is established, which promotes the migration of photoexcited electrons from the CB of CuxS to NH2-B-TiO2 and the migration of holes from the VB of NH2-B-TiO2 to CuxS, and these facilitate the separation and transfer of photogenerated electrons and holes. Further, the rate of reduction of CO2 to CH4 by the photoinduced electrons in CB of NH2-B-TiO2 is improved.
As shown in Table 1, the CO2 photoreduction activity of the NH2-B-TiO2-CuxS composite is higher than that of other TiO2-based binary and ternary composites reported previously.

4. Conclusions

In summary, an amine-enriched p–n junction upon the NH2-B-TiO2-CuxS composite was successfully prepared. The modification of amine on the surface of the photocatalyst has a positive effect on the enhancement of CO2 activity. The photocatalytic CO2 reduction activity of amine-modified brookite TiO2 is higher than that of amine-free modified brookite TiO2. Further, coupling different contents of CuxS with NH2-B-TiO2, the NH2-B-TiO2-CuxS-16% composite exhibits the greatest CH4 yield rate of 3.34 μmol g−1 h−1 following 4 h of lighting, which is 4 times higher than that of pure NH2-B-TiO2. Combining the valence band XPS spectra with photo/electrochemical measurements, the formation of a p–n junction between the NH2-B-TiO2-CuxS interface was confirmed. With the formation of such a heterojunction, the recombination of photogenerated electrons and holes is inhibited, thereby greatly improving the photocatalytic CO2 reduction activity. It is hoped that this work could provide an approach to construct amine-enriched p–n junctions for efficient CO2 photoreduction.

Author Contributions

Methodology, J.X.; Formal analysis, X.Z. and Z.W.; Writing—original draft, Z.C.; Writing—review & editing, G.C. All authors have read and agreed to the published version of the manuscript.

Funding

This research was funded by the Graduate Innovative Fund of Wuhan Institute of Technology (NO. CX2021336).

Institutional Review Board Statement

Not applicable.

Informed Consent Statement

Not applicable.

Data Availability Statement

All relevant data are contained in the present manuscript.

Conflicts of Interest

The authors declare no conflict of interest.

References

  1. Ahmad, T.; Liu, S.; Sajid, M.; Li, K.; Ali, M.; Liu, L.; Chen, W. Electrochemical CO2 reduction to C2+ products using Cu-based electrocatalysts: A review. Nano Res. Energy 2022, 1, e9120021. [Google Scholar] [CrossRef]
  2. Lu, K.-Q.; Li, Y.-H.; Zhang, F.; Qi, M.-Y.; Chen, X.; Tang, Z.-R.; Yamada, Y.M.A.; Anpo, M.; Conte, M.; Xu, Y.-J. Rationally designed transition metal hydroxide nanosheet arrays on graphene for artificial CO2 reduction. Nat. Commun. 2020, 11, 5181. [Google Scholar] [CrossRef] [PubMed]
  3. Kong, T.; Jiang, Y.; Xiong, Y. Photocatalytic CO2 conversion: What can we learn from conventional COx hydrogenation? Chem. Soc. Rev. 2020, 49, 6579–6591. [Google Scholar] [CrossRef] [PubMed]
  4. Yin, S.; Zhao, X.; Jiang, E.; Yan, Y.; Zhou, P.; Huo, P. Boosting water decomposition by sulfur vacancies for efficient CO2 photoreduction. Energy Environ. Sci. 2022, 15, 1556–1562. [Google Scholar] [CrossRef]
  5. Liu, L.; Wang, S.; Huang, H.; Zhang, Y.; Ma, T. Surface sites engineering on semiconductors to boost photocatalytic CO2 reduction. Nano Energy 2020, 75, 104959. [Google Scholar] [CrossRef]
  6. Li, X.; Yu, J.; Jaroniec, M.; Chen, X. Cocatalysts for Selective Photoreduction of CO2 into Solar Fuels. Chem. Rev. 2019, 119, 3962–4179. [Google Scholar] [CrossRef]
  7. Yu, Y.; Dong, X.; Chen, P.; Geng, Q.; Wang, H.; Li, J.; Zhou, Y.; Dong, F. Synergistic Effect of Cu Single Atoms and Au–Cu Alloy Nanoparticles on TiO2 for Efficient CO2 Photoreduction. ACS Nano 2021, 15, 14453–14464. [Google Scholar] [CrossRef] [PubMed]
  8. Li, M.; Liu, Z.; Wu, S.; Zhang, J. Advances for CO2 Photocatalytic Reduction in Porous Ti-Based Photocatalysts. ACS EST Eng. 2022, 2, 942–956. [Google Scholar] [CrossRef]
  9. Qiu, P.; Lu, M.; Cheng, G.; Li, W.; Liu, L.; Xiong, J. Co-implantation of oxygen vacancy and well-dispersed Cu cocatalyst into TiO2 nanoparticles for promoting solar-to-hydrogen evolution. Int. J. Hydrog. Energy 2023, 48, 933–942. [Google Scholar] [CrossRef]
  10. Jiang, L.; Wang, K.; Wu, X.; Zhang, G. Highly Enhanced Full Solar Spectrum-Driven Photocatalytic CO2 Reduction Performance in Cu2–xS/g-C3N4 Composite: Efficient Charge Transfer and Mechanism Insight. Sol. RRL 2021, 5, 2000326. [Google Scholar] [CrossRef]
  11. Qiu, P.; Xiong, J.; Lu, M.; Liu, L.; Li, W.; Wen, Z.; Li, W.; Chen, R.; Cheng, G. Integrated p-n/Schottky junctions for efficient photocatalytic hydrogen evolution upon Cu@TiO2-Cu2O ternary hybrids with steering charge transfer. J. Colloid Interface Sci. 2022, 622, 924–937. [Google Scholar] [CrossRef] [PubMed]
  12. Yang, G.; Qiu, P.; Xiong, J.; Zhu, X.; Cheng, G. Facilely anchoring Cu2O nanoparticles on mesoporous TiO2 nanorods for enhanced photocatalytic CO2 reduction through efficient charge transfer. Chin. Chem. Lett. 2022, 33, 3709–3712. [Google Scholar] [CrossRef]
  13. Ávila-López, M.A.; Tan, J.Z.Y.; Luévano-Hipólito, E.; Torres-Martínez, L.M.; Maroto-Valer, M.M. Production of CH4 and CO on CuxO and NixOy coatings through CO2 photoreduction. J. Environ. Chem. Eng. 2022, 10, 108199. [Google Scholar] [CrossRef]
  14. Fan, H.-T.; Wu, Z.; Liu, K.-C.; Liu, W.-S. Fabrication of 3D CuS@ZnIn2S4 hierarchical nanocages with 2D/2D nanosheet subunits p-n heterojunctions for improved photocatalytic hydrogen evolution. Chem. Eng. J. 2022, 433, 134474. [Google Scholar] [CrossRef]
  15. Yu, D.; Xu, L.; Zhang, H.; Li, J.; Wang, W.; Yang, L.; Jiang, X.; Zhao, B. A new semiconductor-based SERS substrate with enhanced charge collection and improved carrier separation: CuO/TiO2 p-n heterojunction. Chin. Chem. Lett. 2022, 107771. [Google Scholar] [CrossRef]
  16. Neelgund, G.M.; Oki, A. Folic acid and CuS conjugated graphene oxide: An efficient photocatalyst for explicit degradation of toxic dyes. Appl. Surf. Sci. 2021, 566, 150648. [Google Scholar] [CrossRef]
  17. Rameshbabu, R.; Ravi, P.; Sathish, M. Cauliflower-like CuS/ZnS nanocomposites decorated g-C3N4 nanosheets as noble metal-free photocatalyst for superior photocatalytic water splitting. Chem. Eng. J. 2019, 360, 1277–1286. [Google Scholar] [CrossRef]
  18. Wu, Z.; Liu, X.; Yu, C.; Li, F.; Zhou, W.; Wei, L. Construct interesting CuS/TiO2 architectures for effective removal of Cr(VI) in simulated wastewater via the strong synergistic adsorption and photocatalytic process. Sci. Total Environ. 2021, 796, 148941. [Google Scholar] [CrossRef]
  19. Chandra, M.; Bhunia, K.; Pradhan, D. Controlled Synthesis of CuS/TiO2 Heterostructured Nanocomposites for Enhanced Photocatalytic Hydrogen Generation through Water Splitting. Inorg. Chem. 2018, 57, 4524–4533. [Google Scholar] [CrossRef] [PubMed]
  20. Lu, Y.Y.; Zhang, Y.Y.; Zhang, J.; Shi, Y.; Li, Z.; Feng, Z.C.; Li, C. In situ loading of CuS nanoflowers on rutile TiO2 surface and their improved photocatalytic performance. Appl. Surf. Sci. 2016, 370, 312–319. [Google Scholar] [CrossRef]
  21. Chen, Q.; Zhang, M.; Li, J.; Zhang, G.; Xin, Y.; Chai, C. Construction of immobilized 0D/1D heterostructure photocatalyst Au/CuS/CdS/TiO2 NBs with enhanced photocatalytic activity towards moxifloxacin degradation. Chem. Eng. J. 2020, 389, 124476. [Google Scholar] [CrossRef]
  22. He, H.Y. Facile synthesis of ultrafine CuS nanocrystalline/TiO2: Fe nanotubes hybrids and their photocatalytic and Fenton-like photocatalytic activities in the dye degradation. Microporous Mesoporous Mater. 2016, 227, 31–38. [Google Scholar] [CrossRef]
  23. Lee, H.; Kwak, B.S.; Park, N.-K.; Baek, J.-I.; Ryu, H.-J.; Kang, M. Assembly of a check-patterned CuSx–TiO2 film with an electron-rich pool and its application for the photoreduction of carbon dioxide to methane. Appl. Surf. Sci. 2017, 393, 385–396. [Google Scholar] [CrossRef]
  24. Lin, H.; Li, L.; Zhao, M.; Huang, X.; Chen, X.; Li, G.; Yu, R. Synthesis of High-Quality Brookite TiO2 Single-Crystalline Nanosheets with Specific Facets Exposed: Tuning Catalysts from Inert to Highly Reactive. J. Am. Chem. Soc. 2012, 134, 8328–8331. [Google Scholar] [CrossRef] [PubMed]
  25. Wang, Y.; Lkhamjav, S.; Qiu, B.; Dong, C.; Dong, C.; Zhou, Y.; Shen, B.; Xing, M.; Zhang, J. A facile strategy to prepare Fe3+ modified brookite TiO2 with high photocatalytic activity under ultraviolet light and visible light. Res. Chem. Intermed. 2017, 43, 2055–2066. [Google Scholar] [CrossRef]
  26. Liu, L.; Zhao, H.; Andino, J.M.; Li, Y. Photocatalytic CO2 Reduction with H2O on TiO2 Nanocrystals: Comparison of Anatase, Rutile, and Brookite Polymorphs and Exploration of Surface Chemistry. ACS Catal. 2012, 2, 1817–1828. [Google Scholar] [CrossRef]
  27. Li, K.; Peng, T.; Ying, Z.; Song, S.; Zhang, J. Ag-loading on brookite TiO2 quasi nanocubes with exposed {210} and {001} facets: Activity and selectivity of CO2 photoreduction to CO/CH4. Appl. Catal. B 2016, 180, 130–138. [Google Scholar] [CrossRef]
  28. Li, K.; Peng, B.; Jin, J.; Zan, L.; Peng, T. Carbon nitride nanodots decorated brookite TiO2 quasi nanocubes for enhanced activity and selectivity of visible-light-driven CO2 reduction. Appl. Catal. B 2017, 203, 910–916. [Google Scholar] [CrossRef]
  29. Jin, J.; Luo, J.; Zan, L.; Peng, T. One-Pot Synthesis of Cu-Nanocluster-Decorated Brookite TiO2 Quasi-Nanocubes for Enhanced Activity and Selectivity of CO2 Photoreduction to CH4. ChemPhysChem 2017, 18, 3230–3239. [Google Scholar] [CrossRef]
  30. Xiao, J.; Chen, S.; Jin, J.; Li, R.; Zhang, J.; Peng, T. Brookite TiO2 Nanoparticles Decorated with Ag/MnOx Dual Cocatalysts for Remarkably Boosted Photocatalytic Performance of the CO2 Reduction Reaction. Langmuir 2021, 37, 12487–12500. [Google Scholar] [CrossRef]
  31. Cho, K.M.; Kim, K.H.; Park, K.; Kim, C.; Kim, S.; Al-Saggaf, A.; Gereige, I.; Jung, H.-T. Amine-Functionalized Graphene/CdS Composite for Photocatalytic Reduction of CO2. ACS Catal. 2017, 7, 7064–7069. [Google Scholar] [CrossRef]
  32. Jin, L.; Shaaban, E.; Bamonte, S.; Cintron, D.; Shuster, S.; Zhang, L.; Li, G.; He, J. Surface Basicity of Metal@TiO2 to Enhance Photocatalytic Efficiency for CO2 Reduction. ACS Appl. Mater. Interfaces 2021, 13, 38595–38603. [Google Scholar] [CrossRef]
  33. Yang, G.; Xiong, J.; Lu, M.; Wang, W.; Li, W.; Wen, Z.; Li, S.; Li, W.; Chen, R.; Cheng, G. Co-embedding oxygen vacancy and copper particles into titanium-based oxides (TiO2, BaTiO3, and SrTiO3) nanoassembly for enhanced CO2 photoreduction through surface/interface synergy. J. Colloid Interface Sci. 2022, 624, 348–361. [Google Scholar] [CrossRef] [PubMed]
  34. Zhu, J.; Xiong, J.; Cheng, G.; Li, W.; Dou, S. Promoting solar-to-hydrogen evolution on Schottky interface with mesoporous TiO2-Cu hybrid nanostructures. J. Colloid Interface Sci. 2019, 545, 116–127. [Google Scholar] [CrossRef] [PubMed]
  35. Gan, Y.; Wei, Y.; Xiong, J.; Cheng, G. Impact of post-processing modes of precursor on adsorption and photocatalytic capability of mesoporous TiO2 nanocrystallite aggregates towards ciprofloxacin removal. Chem. Eng. J. 2018, 349, 1–16. [Google Scholar] [CrossRef]
  36. Wei, Y.; Cheng, G.; Xiong, J.; Zhu, J.; Gan, Y.; Zhang, M.; Li, Z.; Dou, S. Synergistic impact of cocatalysts and hole scavenger for promoted photocatalytic H2 evolution in mesoporous TiO2-NiSx hybrid. J. Energy Chem. 2019, 32, 45–56. [Google Scholar] [CrossRef]
  37. Zhu, Q.; Cao, Y.; Tao, Y.; Li, T.; Zhang, Y.; Shang, H.; Song, J.; Li, G. CO2 reduction to formic acid via NH2-C@Cu2O photocatalyst in situ derived from amino modified Cu-MOF. J. CO2 Util. 2021, 54, 101781. [Google Scholar] [CrossRef]
  38. Wang, S.; Zhao, X.; Muhammad Adeel Sharif, H.; Chen, Z.; Chen, Y.; Zhou, B.; Xiao, K.; Yang, B.; Duan, Q. Amine-CdS for exfoliating and distributing bulk MoO3 for photocatalytic hydrogen evolution and Cr(VI) reduction. Chem. Eng. J. 2021, 406, 126849. [Google Scholar] [CrossRef]
  39. Shao, Y.; Dou, Z.; Liang, X.; Zhang, X.; Ji, M.; Pang, M.; Wang, M.; Wang, X. ZnIn2S4 nanosheet growth on amine-functionalized SiO2 for the photocatalytic reduction of CO2. Catal. Sci. Technol. 2022, 12, 606–612. [Google Scholar] [CrossRef]
  40. Liu, J.; Li, Y.; Ke, J.; Wang, S.; Wang, L.; Xiao, H. Black NiO-TiO2 nanorods for solar photocatalysis: Recognition of electronic structure and reaction mechanism. Appl. Catal. B 2018, 224, 705–714. [Google Scholar] [CrossRef]
  41. Torres, J.A.; da Cruz, J.C.; Nogueira, A.E.; da Silva, G.T.S.T.; de Oliveira, J.A.; Ribeiro, C. Role of Cu0-TiO2 interaction in catalyst stability in CO2 photoreduction process. J. Environ. Chem. Eng. 2022, 10, 107291. [Google Scholar] [CrossRef]
  42. Fu, J.; Cao, S.; Yu, J. Dual Z-scheme charge transfer in TiO2–Ag–Cu2O composite for enhanced photocatalytic hydrogen generation. J. Mater. 2015, 1, 124–133. [Google Scholar] [CrossRef]
  43. Yuan, L.; Hung, S.-F.; Tang, Z.-R.; Chen, H.M.; Xiong, Y.; Xu, Y.-J. Dynamic Evolution of Atomically Dispersed Cu Species for CO2 Photoreduction to Solar Fuels. ACS Catal. 2019, 9, 4824–4833. [Google Scholar] [CrossRef]
  44. Zhang, F.; Li, Y.-H.; Qi, M.-Y.; Tang, Z.-R.; Xu, Y.-J. Boosting the activity and stability of Ag-Cu2O/ZnO nanorods for photocatalytic CO2 reduction. Appl. Catal. B 2020, 268, 118380. [Google Scholar] [CrossRef]
  45. Li, Y.; Zhang, W.; Shen, X.; Peng, P.; Xiong, L.; Yu, Y. Octahedral Cu2O-modified TiO2 nanotube arrays for efficient photocatalytic reduction of CO2. Chin. J. Catal. 2015, 36, 2229–2236. [Google Scholar] [CrossRef]
  46. Liang, T.-Y.; Chan, S.-J.; Patra, A.S.; Hsieh, P.-L.; Chen, Y.-A.; Ma, H.-H.; Huang, M.H. Inactive Cu2O Cubes Become Highly Photocatalytically Active with Ag2S Deposition. ACS Appl. Mater. Interfaces 2021, 13, 11515–11523. [Google Scholar] [CrossRef] [PubMed]
  47. Zhang, W.; Jiang, M.; Yang, S.; Hu, Y.; Mu, B.; Tie, Z.; Jin, Z. In-situ grown CuOx nanowire forest on copper foam: A 3D hierarchical and freestanding electrocatalyst with enhanced carbonaceous product selectivity in CO2 reduction. Nano Res. Energy 2022, 1, e9120033. [Google Scholar] [CrossRef]
  48. Zhang, F.; Zhuang, H.-Q.; Zhang, W.; Yin, J.; Cao, F.-H.; Pan, Y.-X. Noble-metal-free CuS/CdS photocatalyst for efficient visible-light-driven photocatalytic H2 production from water. Catal. Today 2019, 330, 203–208. [Google Scholar] [CrossRef]
  49. Wang, Q.; Yun, G.; Bai, Y.; An, N.; Chen, Y.; Wang, R.; Lei, Z.; Shangguan, W. CuS, NiS as co-catalyst for enhanced photocatalytic hydrogen evolution over TiO2. Int. J. Hydrogen Energy 2014, 39, 13421–13428. [Google Scholar] [CrossRef]
  50. Zhang, L.J.; Xie, T.F.; Wang, D.J.; Li, S.; Wang, L.L.; Chen, L.P.; Lu, Y.C. Noble-metal-free CuS/CdS composites for photocatalytic H2 evolution and its photogenerated charge transfer properties. Int. J. Hydrogen Energy 2013, 38, 11811–11817. [Google Scholar] [CrossRef]
  51. Jiang, Y.; Zhang, M.; Xin, Y.; Chai, C.; Chen, Q. Construction of immobilized CuS/TiO2 nanobelts heterojunction photocatalyst for photocatalytic degradation of enrofloxacin: Synthesis, characterization, influencing factors and mechanism insight. J. Chem. Technol. Biotechnol. 2019, 94, 2219–2228. [Google Scholar]
  52. Wang, L.; Dong, Y.; Zhang, J.; Tao, F.; Xu, J. Construction of NiO/g-C3N4 p-n heterojunctions for enhanced photocatalytic CO2 reduction. J. Solid State Chem. 2022, 308, 122878. [Google Scholar] [CrossRef]
  53. Li, R.; Ma, H.; Shu, J.; Lian, Z.; Chen, N.; Ou, S.; Jin, R.; Li, S.; Yang, H. Surface engineering of copper sulfide-titania-graphitic carbon nitride ternary nanohybrid as an efficient visible-light photocatalyst for pollutant photodegradation. J. Colloid Interface Sci. 2021, 604, 198–207. [Google Scholar] [CrossRef] [PubMed]
  54. Lu, Y.; Wu, D.; Qin, Y.; Xie, Y.; Ling, Y.; Ye, H.; Zhang, Y. Facile construction of BiOBr/CoAl-LDH heterojunctions with suppressed Z-axis growth for efficient photoreduction of CO2. Sep. Purif. Technol. 2022, 302, 122090. [Google Scholar] [CrossRef]
  55. Wang, L.; Wang, W.; Chen, Y.; Yao, L.; Zhao, X.; Shi, H.; Cao, M.; Liang, Y. Heterogeneous p–n Junction CdS/Cu2O Nanorod Arrays: Synthesis and Superior Visible-Light-Driven Photoelectrochemical Performance for Hydrogen Evolution. ACS Appl. Mater. Interfaces 2018, 10, 11652–11662. [Google Scholar] [CrossRef]
  56. Meng, F.; Li, J.; Cushing, S.K.; Zhi, M.; Wu, N. Solar Hydrogen Generation by Nanoscale p–n Junction of p-type Molybdenum Disulfide/n-type Nitrogen-Doped Reduced Graphene Oxide. J. Am. Chem. Soc. 2013, 135, 10286–10289. [Google Scholar] [CrossRef]
  57. Aguirre, M.E.; Zhou, R.; Eugene, A.J.; Guzman, M.I.; Grela, M.A. Cu2O/TiO2 heterostructures for CO2 reduction through a direct Z-scheme: Protecting Cu2O from photocorrosion. Appl. Catal. B 2017, 217, 485–493. [Google Scholar] [CrossRef]
  58. Yang, Q.; Qin, W.; Xie, Y.; Zong, K.; Guo, Y.; Song, Z.; Luo, G.; Raza, W.; Hussain, A.; Ling, Y.; et al. Constructing 2D/1D heterostructural BiOBr/CdS composites to promote CO2 photoreduction. Sep. Purif. Technol. 2022, 298, 121603. [Google Scholar] [CrossRef]
  59. Shafiq, I.; Hussain, M.; Rashid, R.; Shafique, S.; Akhter, P.; Yang, W.; Ahmed, A.; Nawaz, Z.; Park, Y.-K. Development of hierarchically porous LaVO4 for efficient visible-light-driven photocatalytic desulfurization of diesel. Chem. Eng. J. 2021, 420, 130529. [Google Scholar] [CrossRef]
  60. Cai, W.; Yu, X.; Cao, Y.; Hu, C.; Wang, Y.; Zhao, Y.; Bu, Y. Electron-coupled enhanced interfacial interaction of Ce-MOF/Bi2MoO6 heterostructure for boosted photoreduction CO2. J. Environ. Chem. Eng. 2022, 10, 107461. [Google Scholar] [CrossRef]
  61. Tang, Z.; Wang, C.; He, W.; Wei, Y.; Zhao, Z.; Liu, J. The Z-scheme g-C3N4/3DOM-WO3 photocatalysts with enhanced activity for CO2 photoreduction into CO. Chin. Chem. Lett. 2022, 33, 939–942. [Google Scholar] [CrossRef]
  62. Wu, X.; Wang, C.; Wei, Y.; Xiong, J.; Zhao, Y.; Zhao, Z.; Liu, J.; Li, J. Multifunctional photocatalysts of Pt-decorated 3DOM perovskite-type SrTiO3 with enhanced CO2 adsorption and photoelectron enrichment for selective CO2 reduction with H2O to CH4. J. Catal. 2019, 377, 309–321. [Google Scholar] [CrossRef]
  63. Xiong, J.; Zhang, M.; Lu, M.; Zhao, K.; Han, C.; Cheng, G.; Wen, Z. Achieving simultaneous Cu particles anchoring in meso-porous TiO2 nanofabrication for enhancing photo-catalytic CO2 reduction through rapid charge separation. Chin. Chem. Lett. 2022, 33, 1313–1316. [Google Scholar] [CrossRef]
  64. Xiong, Z.; Lei, Z.; Kuang, C.-C.; Chen, X.; Gong, B.; Zhao, Y.; Zhang, J.; Zheng, C.; Wu, J.C.S. Selective photocatalytic reduction of CO2 into CH4 over Pt-Cu2O TiO2 nanocrystals: The interaction between Pt and Cu2O cocatalysts. Appl. Catal. B 2017, 202, 695–703. [Google Scholar] [CrossRef]
  65. Tu, W.; Zhou, Y.; Li, H.; Li, P.; Zou, Z. Au@TiO2 yolk–shell hollow spheres for plasmon-induced photocatalytic reduction of CO2 to solar fuel via a local electromagnetic field. Nanoscale 2015, 7, 14232–14236. [Google Scholar] [CrossRef]
  66. Kuai, L.; Zhou, Y.; Tu, W.; Li, P.; Li, H.; Xu, Q.; Tang, L.; Wang, X.; Xiao, M.; Zou, Z. Rational construction of a CdS/reduced graphene oxide/TiO2 core–shell nanostructure as an all-solid-state Z-scheme system for CO2 photoreduction into solar fuels. RSC Adv. 2015, 5, 88409–88413. [Google Scholar] [CrossRef]
  67. Manzanares, M.; Fàbrega, C.; Oriol Ossó, J.; Vega, L.F.; Andreu, T.; Morante, J.R. Engineering the TiO2 outermost layers using magnesium for carbon dioxide photoreduction. Appl. Catal. B 2014, 150–151, 57–62. [Google Scholar] [CrossRef]
Figure 1. Illustration of the NH2-B-TiO2-CuxS composites process.
Figure 1. Illustration of the NH2-B-TiO2-CuxS composites process.
Materials 16 00960 g001
Figure 2. (a) XRD patterns of the NH2-B-TiO2-CuxS composites; (b) UV-DRS spectra of the NH2-B-TiO2, CuxS, and NH2-B-TiO2-CuxS composites; (c) FTIR spectra of B-TiO2, NH2-B-TiO2, and NH2-B-TiO2-CuxS-16%; (d) XRD pattern of brookite TiO2 (B-TiO2).
Figure 2. (a) XRD patterns of the NH2-B-TiO2-CuxS composites; (b) UV-DRS spectra of the NH2-B-TiO2, CuxS, and NH2-B-TiO2-CuxS composites; (c) FTIR spectra of B-TiO2, NH2-B-TiO2, and NH2-B-TiO2-CuxS-16%; (d) XRD pattern of brookite TiO2 (B-TiO2).
Materials 16 00960 g002
Figure 3. (a) XPS survey spectra of NH2-B-TiO2, CuxS, and NH2-B-TiO2-CuxS-16% samples; XPS spectra of (b) Ti 2p, (c) O 1s, (d) N 1s, (e) Cu 2p and (f) S 2p for different materials.
Figure 3. (a) XPS survey spectra of NH2-B-TiO2, CuxS, and NH2-B-TiO2-CuxS-16% samples; XPS spectra of (b) Ti 2p, (c) O 1s, (d) N 1s, (e) Cu 2p and (f) S 2p for different materials.
Materials 16 00960 g003
Figure 4. SEM images of (a) NH2-B-TiO2, (b) CuxS, and (c) NH2-B-TiO2-CuxS-32% samples; (di) EDX mapping images of the NH2-B-TiO2-CuxS-32%.
Figure 4. SEM images of (a) NH2-B-TiO2, (b) CuxS, and (c) NH2-B-TiO2-CuxS-32% samples; (di) EDX mapping images of the NH2-B-TiO2-CuxS-32%.
Materials 16 00960 g004
Figure 5. (a) Photocatalytic CO2 reduction activity of NH2-B-TiO2, CuxS and NH2-B-TiO2-CuxS composites. (b) Stability of CO2 photoconversion in NH2-B-TiO2-CuxS samples.
Figure 5. (a) Photocatalytic CO2 reduction activity of NH2-B-TiO2, CuxS and NH2-B-TiO2-CuxS composites. (b) Stability of CO2 photoconversion in NH2-B-TiO2-CuxS samples.
Materials 16 00960 g005
Figure 6. XPS spectra of Cu 2p after the photocatalytic reaction.
Figure 6. XPS spectra of Cu 2p after the photocatalytic reaction.
Materials 16 00960 g006
Figure 7. Mott-Schottky plots of (a) pure NH2-B-TiO2, (b) CuxS particles, (c) NH2-B-TiO2-16%; VB-XPS and core-level spectrum of (d) CuxS and (e) NH2-B-TiO2; (f) XPS core-level spectrum of NH2-B-TiO2-16%.
Figure 7. Mott-Schottky plots of (a) pure NH2-B-TiO2, (b) CuxS particles, (c) NH2-B-TiO2-16%; VB-XPS and core-level spectrum of (d) CuxS and (e) NH2-B-TiO2; (f) XPS core-level spectrum of NH2-B-TiO2-16%.
Materials 16 00960 g007
Figure 8. The plot of transformed Kubelka-Munk function of (a) NH2-B-TiO2 and (b) CuxS. The valance-band XPS spectrum of (c) NH2-B-TiO2 and (d) CuxS; (e) schematic illustration for formation of p-n junction on the NH2-B-TiO2-CuxS composite.
Figure 8. The plot of transformed Kubelka-Munk function of (a) NH2-B-TiO2 and (b) CuxS. The valance-band XPS spectrum of (c) NH2-B-TiO2 and (d) CuxS; (e) schematic illustration for formation of p-n junction on the NH2-B-TiO2-CuxS composite.
Materials 16 00960 g008
Figure 9. (a) Transient photocurrent responses and (b) Nyquist plots of NH2-B-TiO2 and NH2-B-TiO2-CuxS-16%; (c) possible photocatalytic CO2 reduction process for the NH2-B-TiO2-CuxS composite.
Figure 9. (a) Transient photocurrent responses and (b) Nyquist plots of NH2-B-TiO2 and NH2-B-TiO2-CuxS-16%; (c) possible photocatalytic CO2 reduction process for the NH2-B-TiO2-CuxS composite.
Materials 16 00960 g009
Table 1. A comparative study on photocatalytic CO2 reduction upon different photocatalysts.
Table 1. A comparative study on photocatalytic CO2 reduction upon different photocatalysts.
PhotocatalystLight SourceReaction ConditionCH4 Production Rate [μmol/g/h]References
NH2-B-TiO2-CuxS300 W Xe lampH2O vapor3.34This work
Pt-Cu2O/TiO2300 W Xe lampH2O vapor1.42[64]
TiO2/g-C3N4300 W Xe lampH2O vapor2.50[28]
Au@TiO2300 W Xe lampH2O vapor2.52[65]
CdS/rGO/TiO2300 W Xe lampH2O vapor0.063[66]
Mg-TiO2300 W Xe lampH2O vapor1.0[67]
Disclaimer/Publisher’s Note: The statements, opinions and data contained in all publications are solely those of the individual author(s) and contributor(s) and not of MDPI and/or the editor(s). MDPI and/or the editor(s) disclaim responsibility for any injury to people or property resulting from any ideas, methods, instructions or products referred to in the content.

Share and Cite

MDPI and ACS Style

Chen, Z.; Zhu, X.; Xiong, J.; Wen, Z.; Cheng, G. A p–n Junction by Coupling Amine-Enriched Brookite–TiO2 Nanorods with CuxS Nanoparticles for Improved Photocatalytic CO2 Reduction. Materials 2023, 16, 960. https://doi.org/10.3390/ma16030960

AMA Style

Chen Z, Zhu X, Xiong J, Wen Z, Cheng G. A p–n Junction by Coupling Amine-Enriched Brookite–TiO2 Nanorods with CuxS Nanoparticles for Improved Photocatalytic CO2 Reduction. Materials. 2023; 16(3):960. https://doi.org/10.3390/ma16030960

Chicago/Turabian Style

Chen, Zhangjing, Xueteng Zhu, Jinyan Xiong, Zhipan Wen, and Gang Cheng. 2023. "A p–n Junction by Coupling Amine-Enriched Brookite–TiO2 Nanorods with CuxS Nanoparticles for Improved Photocatalytic CO2 Reduction" Materials 16, no. 3: 960. https://doi.org/10.3390/ma16030960

APA Style

Chen, Z., Zhu, X., Xiong, J., Wen, Z., & Cheng, G. (2023). A p–n Junction by Coupling Amine-Enriched Brookite–TiO2 Nanorods with CuxS Nanoparticles for Improved Photocatalytic CO2 Reduction. Materials, 16(3), 960. https://doi.org/10.3390/ma16030960

Note that from the first issue of 2016, this journal uses article numbers instead of page numbers. See further details here.

Article Metrics

Back to TopTop